干旱是一种危害较大的自然灾害, 特点是影响范围大、持续时间长。随着经济发展和人口增加, 水资源短缺现象日益严重, 这也导致了干旱地区的扩大和干旱化程度的加重。
为了加强对干旱规律监测诊断和预警的研究, 人们一直关心干旱定义的提出和干旱指标的确定。因为地理状况与气候特点的差异, 不同地区对干旱的定义不同, 干旱的指标也多种多样, 有学者对北方干旱区的干旱灾害的成因, 时空分布, 度量指标作过专门研究[1, 2]。也有人对南方发生干旱的天气气候特征和某些指标进行过分析[3, 4], 但如何选择适用于浙江省气候业务的干旱监测指标, 尚没有进行过系统研究。
浙江省年平均降水1400mm左右, 但降水时间分布不均, 主要集中在3 ~ 6月(春雨期和梅汛期)和9月(秋雨期)两个雨季, 其中3 ~ 6月降水量占全年总量47 %左右, 7 ~ 8月高温少雨(干季)。由于上述气候特征, 浙江省的干旱大体上分为两种:一是从梅汛期雨水偏少持续发展成春夏秋连旱, 二是出梅后持续高温少雨形成夏秋旱。
1 干旱指标干旱指标的确定应体现干旱影响程度与显著低于正常降水的持续期的关系及降水与蒸发不平衡造成的水分短缺的关系。目前国内外已有很多种干旱指标, 有的很复杂难以推广, 有的是针对某一行业的评价指标。
在浙江省实际气候业务中, 经常使用降水量距平法、Z指数法, 干燥度三种干旱指标。为确定和建立一套实用、合理的干旱监测评估指标体系, 对这三种干旱指标分析结果与1952年以来干旱实况记录进行比较, 以分析它们在反映浙江省干旱程度上的异同。
1.1 降水量距平百分率干旱指标降水量距平百分率是通过对一段时间的降水量与历史同期比较, 反映这段时间的降水偏离正常范围的异常程度。降水量距平百分率公式为:
|
式中r为某段时间降水量; r为该时段多年平均降水量。
浙江省的干旱灾害主要发生在夏秋季节, 个别年也有春季干旱发生, 但影响较大的主要是伏旱和夏秋连旱。表 1为根据浙江省夏秋降水与干旱灾情对比而定义的干旱等级标准。
|
|
表 1 浙江省降水量距平百分率干旱指标 |
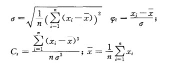
假设某段时间降水量服从P-Ⅲ型分布, 通过对降水量进行正态化处理后, 则可根据其概率密度函数, 通过转换函数, 得到Z指数表达式:
|
式中:Cs为偏态系数, φi为标准变量, 可由降水量序列资料得到:
|
根据浙江省的气候特点确定的Z指数干旱等级指标如表 2。
|
|
表 2 Z指数指标 |
在农业区划工作中, 判别干旱等级的一个重要指标是干燥度K:
|
式中T代表日平均气温, R1为同期降水量。
根据浙江省的气候特点确定的干燥度干旱等级指标如表 3。
|
|
表 3 干燥度干旱指标 |
以下对降水量距平百分率干旱指标、Z指数干旱指标、干燥度干旱等级指标分别简称为R指标、Z指标、K指标。
据民政部门调查, 浙江省自1952 ~ 2004年间有17年发生了较大范围的干旱。表 4选取5次最严重的干旱和5次较重干旱作为代表年, 根据浙江省1952 ~ 2004年逐日气象资料, 分别计算了这10年各气象台站在发生干旱时段的各类干旱指数。各指数值用对应的干旱分级指标分级, 然后统计每年出现各级干旱程度的台站数百分率P, 
|
|
表 4 三种干旱指数计算结果对比分析 |
结果显示, 三种指标都能反映出历年的干旱, 但是, 与实际干旱情况比较, 三种指标的结果不尽相同。
(1) 各指标都反映出1967年为最严重的干旱年, 达到大旱的台站百分率都达到98 %, 说明对极端干旱的反映是一致的。
(2) 5个严重干旱年, 各指标计算的平均大旱/干旱台站百分率分别为:R指标27 %/74 %, Z指标49 %/93 %, K指标77 %/95 %。Z指标与K反映结果较好; R指标偏轻, 例如1961年、1971年的R指标评价都明显低于实际情况。
(3) 5个较重干旱年, 各指标计算的平均大旱/干旱台站百分率分别为:R指标1 %/29 %, Z指标4 %/58 %, K指标40 %/ 80 %。Z指标与R反映结果较好; K指标反映偏重, 例如1992年的K指标评价干旱程度明显偏强。
分析表明:距平百分率指数对干旱的诊断往往程度较轻, 干燥度指数往往夸大了干旱程度, Z指数能较客观地反映发生干旱年的干旱状况。
上述结果与干旱指数的计算方法有关。R指标把旱涝程度与降水量看成一次线性关系, 这种线性方程建立在降水量为正态分布的假设前提下, 与实际情况有较大差异。K指数由于是一个气温与降水的比值, 浙江省发生干旱的主要时段是夏秋季, 天气形势受副高控制, 发生干旱时高温少雨, 而降水具有较强的集中性, 起伏较大, 因为指标里没有考虑前期降水, 气温又很高, 所以干燥度指数把干旱程度定义为与降水量呈倒数相关就夸大了实际干旱程度。在计算Z指数时, 假设某段时间降水量服从P-Ⅲ型分布, 这种假定更为接近实际情况, 通过偏态系数Cs的引入, Z值不只与降水量有关, 还与降水分布特征有关, 因而比R指数和K指数更客观一些。
3 用Z指数干旱指标分析浙江省历年干旱根据上述分析, Z指数能够较好地适用于浙江省的干旱评价。但Z指数是一个单站序列分析工具, 为了能从区域角度开展干旱评价, 定义了基于Z指数基础上的干旱强度指数S和面积指数A。
选取湖州、嘉兴、绍兴、杭州、定海、金华、嵊州、宁波、衢州、丽水、龙泉、温州、椒江作为浙江省代表站, 分别求出历年夏季与秋季代表站最小的Z指数值。S =min(Zi), Zi为夏季与秋季代表站的Z指数值, S代表了当年夏季与秋季的干旱严重程度。
求出历年夏季与秋季达到Z指数轻旱标准以上的台站占当年气象台站总数的百分比。A=n/N, n为达到轻旱标准以上的台站数, N为总台站数。A代表了当年夏季与秋季发生干旱的范围。
根据公式计算了浙江省1952 ~ 2004年53年的每年7 ~ 8月与9 ~ 10月的单站干旱指数, 代表各站每年夏季与秋季的干旱指数, 然后得出了两种指数序列。
图 1是历年夏季与秋季干旱强度指数S变化曲线, 从图上看出, 浙江省出现严重的夏旱或秋旱年为1953、1954、1955、1961、1967、1971、1978、1990、1991、1994、2003年, 1967年为干旱最严重的一年(夏秋都发生重旱)。这个结果与实际基本相符。干旱的发展趋势表现为, 20世纪70、80年代是相对少发期, 50、60年代和90年代以来是干旱多发期, 而且90年代以来干旱发生的频率增大。对夏季与秋季变化曲线比较发现, 夏季发生干旱的频率高于秋季。两条曲线变化位相基本相同, 发生秋旱的年, 往往也有夏旱发生, 并会出现较重的夏秋连旱现象。
|
图 1 浙江省1952~ 2004年夏季与秋季干旱强度指数(最小Z指数)变化曲线 |
图 2是夏季与秋季干旱面积指数A的历年变化, 可以看出20世纪50、60年代干旱面积较大, 而且夏旱面积大于秋旱面积; 70、80年代是一个相对平稳期, 大部分干旱年面积指数小于50 %, 夏旱面积与秋旱面积基本持平; 90年代以后夏旱面积基本没有变化, 而秋旱面积增加, 明显大于夏旱, 而且频繁出现大范围秋旱。平均而言, 1967年是50年代以来最严重的夏秋连旱, 2003年是仅次于1967年的严重夏秋连旱年, 全省干旱发生面积夏秋都较大。通过指数分析认为, 浙江省的干旱具有阶段性, 目前浙江省正处于干旱的多发时期, 其中秋旱更为明显。
|
图 2 浙江省1952 ~ 2004年夏季与秋季干旱面积指数(台站百分率)变化曲线 |
(1) 距平百分率指标、Z指数指标、干燥度指标三种干旱指标既有联系, 又存在差异, 在监测诊断干旱轻重程度上, Z指数指标能较客观地反映出干旱程度, 距平百分率指标监测干旱程度较轻, 干燥度指标又夸大干旱严重程度。
(2) 基于Z指数建立的浙江省干旱强度指数和面积指数, 较好地反映了浙江省干旱的特征, 可以作为气候监测和评价的业务指标之一。
(3) 浙江省干旱灾害主要集中在夏秋季节, 夏秋连旱几率较高, 2003年是仅次于1967年的严重夏秋连旱年。
(4) 浙江省干旱灾害具有阶段性, 20世纪90年代以来发生干旱的频率和强度加大, 目前正处于这个高发期内, 其中秋旱多发更明显。
| [1] |
夏洪星. 华北东部地区干旱分布特征[J]. 气象, 1996, 22(11): 37-40. DOI:10.7519/j.issn.1000-0526.1996.11.009 |
| [2] |
李小泉, 顾秋瑾, 牛若云. 用天气资料实时监测和评估北方的旱情变化[J]. 气象, 1998, 24(1): 13-19. DOI:10.7519/j.issn.1000-0526.1998.01.003 |
| [3] |
周益辉, 曾光平. 南方夏秋干旱期间的天气气候特征[J]. 应用气象学报, 2003, 14(5): 118-125. |
| [4] |
黄道友. 应用Z指数方法判断南方季节性干旱的结果分析[J]. 中国农业气象, 2003, 2(4): 12-15. |
| [5] |
宫德吉. 干旱监测预警指数研究[J]. 气象, 1998, 24(8): 14-17. DOI:10.7519/j.issn.1000-0526.1998.08.003 |
2006, Vol. 32