2. 山东省气象台,济南 250031;
3. 山东省气象工程技术中心,济南 250031;
4. 青岛市气象局,青岛 266003
2. Shandong Meteorological Observatory, Jinan 250031;
3. Shandong Technology Center of Meteorological Engineering, Jinan 250031;
4. Qingdao Meteorological Bureau, Qingdao 266003
极端强对流天气是指直径5 cm或以上冰雹、32 m·s-1或以上对流性直线阵风以及80 mm·h-1或180 mm·h-1以上短时强降水(俞小鼎等,2020)。冰雹成灾的程度与冰雹大小密切相关,冰雹越大,成灾的可能性越大(许焕斌,2012)。通常将落到地面上直径超过2 cm的冰雹称为大冰雹或强冰雹(俞小鼎等,2020)。2021年7月9日济南市章丘区发现直径6.8 cm的大冰雹,该冰雹样本有幸被保存下来,供科学研究。近年来,随着加密自动气象观测站资料的广泛应用,极端雷暴大风和极端短时强降水的纪录不断被刷新。2012年北京“7·21”大暴雨过程最大降水量达460.0 mm,最大小时降水量为100.3 mm (谌芸等,2012)。2017年5月7日广州出现小时降水量超过180 mm、3 h降水量超过330 mm的极端强降水事件(田付友等,2018)。2021年“7·20”郑州特大暴雨过程,郑州站日降水量达552.5 mm,最大小时降水量高达201.9 mm,皆打破建站以来历史纪录,造成严重的人员伤亡和经济损失(史文茹等,2021;冉令坤等,2021;汪小康等,2022)。雷暴大风亦是如此,2009年“6·3”致灾雷暴大风过程观测到30 m·s-1(11级)的大风(王秀明等,2012a)。2019年3月21日广西省临桂站监测到60.3 m·s-1(17级)的大风(李彩玲等,2021;蔡康龙等,2021)。强对流天气具有突发性、局地性、灾害性等特点,预报难度大,而预报极端强对流更是难上加难。
山东省地处中纬度地区,极端强对流事件时有发生。2016年6月13—14日,受东北冷涡影响,山东连续2天出现大范围强对流天气,淄博、潍坊等地出现鸡蛋大的冰雹,淄博龙泉站极大风风速为36.1 m·s-1(12级)(朱义青等,2020;张琴等,2017;张婷婷等,2017)。2018年6月13日,同样受东北冷涡影响,山东出现大范围强对流天气,最大冰雹直径为4 cm,青岛奥帆基地的极大风风速高达39.1 m·s-1(13级)(简称“6·13”强对流)。2016年6月30日,在高空槽与副热带高压相互作用的大环流背景条件下,山东多地出现冰雹及10级以上雷暴大风(高晓梅等,2018),寿光极大风风速为33 m·s-1(12级),并出现直径达4 cm的大冰雹(公衍铎等,2019)(简称“6·30”强对流)。
本文关注的强对流天气发生在2020年5月17日,受东北冷涡影响,山东出现一次大范围强对流天气(简称“5·17”强对流),冰雹范围之广、对流强度之强、产生灾害之重,为近年来之最。当日天气形势与“6·13”强对流相似,但“5·17”强对流的冰雹范围大于“6·13”。统计表明,同一冷涡背景下,华北地区的东北部易出现多单体风暴引发的以短时强降水为主的强对流天气,黄淮地区易出现飑线系统引发的短时强降水、冰雹和雷暴大风天气(蔡雪薇等,2019), “5·17”和“6·13”强对流山东均出现了飑线引发的冰雹、雷暴大风和局地短时强降水,与上述统计特征一致,均属于盛杰等(2020)定义的极端雷暴大风类线状对流系统。从气候特征的分布上,山东的强对流天气是6月强度最强、次数最多、影响范围最大(阎丽凤和杨成芳,2014),前文提到的“6·13”与“6·30”强对流都发生在6月。那么,是什么原因导致5月出现了如此强的对流?本文试图从环境条件异常的角度,分析产生此次极端强对流的原因,加强对春季极端强对流形成机理的认识,提高对极端强对流的预报能力。
1 资料和方法 1.1 资料空间分辨率为0.25°×0.25°、时间分辨率为1 h的ERA5再分析资料(ECMWF第五代全球大气再分析资料)。山东省加密自动气象观测站逐小时资料和多普勒天气雷达拼图产品。
1.2 方法 1.2.1 气候平均值由于ERA5再分析资料只有气象要素每年的月平均格点场,因此利用式(1)计算了1981—2010年5月、6月气象要素格点的30年气候平均值。
| $ \bar{x}_{(i, j)}=\frac{1}{30} \sum\limits_{k=1}^{30} x_{(i, j, k)} $ | (1) |
式中:
| $ \begin{array}{c} x_{\sigma(i, j)}=\frac{x_{(i, j)}-\bar{x}_{(i, j)}}{\sigma} \\ =\frac{x_{(i, j)}-\bar{x}_{(i, j)}}{\sqrt{\frac{1}{30} \sum\limits_{k=1}^{30}\left(x_{(i, j)}-\bar{x}_{(i, j)}\right)^2}} \end{array} $ | (2) |
式中:xσ(i, j)代表气象要素x的格点标准化距平,σ代表该要素该格点的标准差,x(i, j)代表该要素某一时刻的格点值,
挑选关注区域内500 hPa位势高度最低值作为冷涡中心位置及中心强度,以冷涡中心周围10°×10°网格范围作为冷涡区域,计算该区域内所有格点位势高度和标准化距平的平均值。分别用冷涡中心位势高度最低值和冷涡区域内所有格点位势高度的平均值,分析冷涡强度的变化趋势,确定哪个量更能代表冷涡的强度。
位势高度标准化距平负值的绝对值越大,说明冷涡相对于气候平均值异常偏强的程度越高。在冷涡区域内挑选位势高度标准化距平负值绝对值最大的格点值(简称最大标准化距平),计算冷涡区域内所有格点标准化距平的平均值(简称平均标准化距平)。分别利用最大标准化距平和平均标准化距平分析冷涡异常程度的变化趋势,确定哪个量更能代表冷涡相对于气候平均值的异常程度。
与位势高度相同,挑选冷涡中心附近500 hPa温度的冷中心位置及温度值,计算其周围10°×10°网格范围的温度平均、标准化距平平均(简称平均标准化距平),以及标准化距平负值绝对值最大格点值(简称最大标准化距平)。用温度冷中心值和区域平均值分析冷空气强度的变化趋势,确定哪个量更能代表冷涡携带冷空气的强度,用温度的平均标准化距平和最大标准化距平分析冷空气异常程度的变化趋势,确定哪个量更能代表冷涡携带冷空气的异常程度。
2 极端强对流天气实况 2.1 天气实况2020年5月17日下午到夜间,除了鲁西南的部分地区外,山东出现大范围的强对流天气,鲁南和半岛的部分地区出现暴雨(图 1a),最大累计降水量出现在乳山市育黎站(88.2 mm),最大小时雨强出现在荣城市城西站(56.9 mm·h-1),上述2个站均隶属于威海市。除鲁西北的部分地区外,全省大部地区出现8级以上雷暴大风(图 1b),最大风速(36.6 m·s-1,12级)于22:29出现在日照市岚山岗站,次大值34.6 m·s-1(12级)于21:25出现在临沂市临沂站。全省共有5个测站出现12级雷暴大风,35个站出现10级以上雷暴大风。全省16个地级市中有14个观测到冰雹(图 1c),对比图 1a和1c可以发现,几乎有对流降水的地区均出现了冰雹,降雹范围之广非常罕见。青岛市即墨区和城阳区分别观测到直径达4.5 cm(图 1d)和4.0 cm的大冰雹,多地发现鸡蛋大小的冰雹(图 1e)。本次过程达到极端强对流天气标准(俞小鼎等,2020)。全省受灾人口为64.4万人,直接经济损失达23.62亿元,仅青岛市的直接经济损失就超过11亿元。
|
图 1 2020年5月17日16时至18日08时山东省(a)累计降水量,(b)极大风风速,(c)冰雹落区,和(d)青岛市即墨区、(e)烟台市莱阳市大冰雹 Fig. 1 (a) Accumulated precipitation, (b) extreme wind speed, (c) hailstorm area, and (d, e) large hailstorm in (d) Jimo District, Qingdao and (e) Laiyang County, Yantai in Shandong Province from 16:00 BT 17 to 08:00 BT 18 May 2020 |
17日17时(图略)在鲁西北有一条东北—西南向的云带,其中在德州境内有分散的30~40 dBz的降水回波,将此云带称为回波带A。之后回波带A内部及其前侧(东南方向)不断有新单体快速发展并东移,同时在山东中南部到鲁东南一带有分散的新单体发展,称其为回波带B。20时(图 2a),回波带A的后部(西北侧)逐渐减弱,前部强度增强,多个单体的最大反射率因子高达65 dBz。回波带B主要位于青岛、日照一带,为多个超级单体组成的多单体风暴。位于莱芜、临沂和济宁交界处的多单体风暴C为东北—西南方向并呈现后向传播特征,中心最大强度为65 dBz。回波带A向东移的同时向东南方向发展,其南界与回波带B距离逐渐缩短。
|
图 2 2020年5月17日(a)20时, (b)21时, (c)22时雷达组合反射率因子拼图 Fig. 2 Radar reflectivity mosaic at (a) 20:00 BT, (b) 21:00 BT, (c) 22:00 BT 17 May 2020 |
21时(图 2b),风暴C已发展为一条东北—西南向的飑线,其北界与回波带A的前沿连接,其西南方向在鲁西南到河南省境内仍不断有新单体发展,称其为新单体D。回波带B仍位于青岛、日照一带,部分单体之间发生合并,仍以强度高达60~65 dBz的超级单体为主。回波带A前沿单体较强,后部减弱较快。三部分回波之间距离缩短,逐渐靠近。22时(图 2c)回波带A的后部继续减弱,其前沿的单体、回波带B和风暴C三部分已完全合并,形成一条长度超过500 km的长飑线。飑线内仍然包含强度超过60 dBz的超级单体,飑线的尾部仍有新单体发展,称其为新单体D。
由此可见,多个内嵌超级单体的多单体风暴发展、合并、加强,逐渐组织化为一条东北—西南向、长度超过500 km的强飑线,造成山东省出现大范围冰雹、雷暴大风和局地短时强降水等极端强对流天气。
3 环境条件 3.1 探空特征从图 2可知,“5·17”强对流较强的区域主要分布在山东的中东部地区,因此采用青岛站探空资料分析对流发生的环境条件。
由于青岛站位于黄海之滨,白天受海风影响气温较低,近地面有逆温层。17日初始对流单体是在16时之后出现的,因此用潍坊16时气温26.3℃、露点温度17.7℃订正青岛08时探空(图 3)。订正后对流有效位能(CAPE)为1918 J·kg-1,对流抑制能量(CIN)为0 J·kg-1,露点温度廓线呈现上干下湿的形态,抬升凝结高度只有114.9 m,在适当的抬升条件下非常有利于出现强对流天气。0~6 km风矢量差(表示0~6 km垂直风切变)为25.3 m·s-1,0~3 km风矢量差为16.6 m·s-1,达到强垂直风切变标准(俞小鼎等,2020),有利于对流风暴的组织化发展。0℃层高度为3.6 km,-20℃层高度为6.6 km,有利于出现冰雹。下沉对流有效位能(DCAPE)为963.3 J·kg-1,订正后850 hPa以下温度直减率接近干绝热递减率,有利于出现雷暴大风。K指数为30.2℃,925 hPa和850 hPa比湿分别为19.5 g·kg-1、16.0 g·kg-1,水汽充沛,有利于出现短时强降水天气。
|
图 3 2020年5月17日08时青岛站订正后T-lnp图 Fig. 3 Revised T-lnp of Qingdao Station at 08:00 BT 17 May 2020 |
综上所述,山东省境内无论是水汽、大气层结,还是垂直风切变、各特性层的高度等环境条件,不仅有利于当天出现强对流天气,而且有利于对流风暴的组织化发展,具备产生冰雹、雷暴大风和短时强降水的潜势。
3.2 天气尺度系统强迫强5月能产生如此强的极端强对流事件,可能与天气系统的动力、热力条件的异常有关。本节采用标准化距平来表示天气系统相对于气候平均值的异常程度,分析天气尺度系统强迫与极端强对流事件的关系。
3.2.1 高空冷涡异常5月17日鲁西北的初始对流单体于16时以后开始,因此利用16时天气形势作为对流发生前的环境条件。从16时500 hPa高度场(图 4a)可以看出,中国大陆受西高东低的环流控制,东北冷涡中心位于内蒙古东部,长轴为东北—西南方向,冷涡后部有明显横槽。从新疆北部向东北方向伸到贝加尔湖东侧的高压脊有暖温度脊配合(图 4b),且高度场和温度场的异常程度分别为4倍(以下简称4σ)、5倍标准差(5σ),说明该暖高压脊异常偏强。此种形势是造成山东大范围冰雹的500 hPa经典环流配置(曹钢锋等,1988)。冷涡中心位势高度为548 dagpm,西南部异常程度高达-11σ,该冷涡系统深厚,850 hPa冷涡中心异常程度达-9σ(图略)。一般情况下标准化距平绝对值达到2.5σ(张萍萍等,2018)或3σ(孙军等,2012)即可视为异常。夏阳等(2016)根据经验正交函数第一模态时间系数的标准差,选取绝对值大于1σ的年作为西南地区春季降水的典型异常年;而低层水汽输送强度大,850 hPa水汽通量达到6σ造成了北京“7·21”特大暴雨(孙军等,2012)。山东“5·17”强对流的冷涡中心标准化距平达到-11σ,异常程度非常罕见。冷涡中心与-24℃的冷中心相配合(图 4b),冷中心的异常程度高达-8σ,并且位势高度最大标准化距平与温度最大标准化距平的位置重合,均位于冷涡的西南方向。同时,冷涡后部的西北风风速高达28~32 m·s-1,远远超过一般中空急流的强度。在横槽转竖过程中,强劲的西北风携带强冷空气入侵山东,动力、热力强迫造成山东大范围强对流天气。2020年6月25日冷涡后部西北气流为20~24 m·s-1,弓形回波造成华北地区出现大范围的雷暴大风,天津西青站最强阵风风速达41.4 m·s-1(13级)(许长义等,2023),说明对流层中层强盛的西北气流在极端强对流天气过程中的作用非常重要。
|
图 4 (a, b)2020年5月17日16时, (c, d)2018年6月13日12时(a,c)500 hPa位势高度(等值线,单位:dagpm)、标准化距平(填色)和水平风(风羽),(b,d)500 hPa温度(等值线,单位:℃)、标准化距平(填色)及水平风(风羽) Fig. 4 (a, c) Geopotential height (isoline, unit: dagpm) and (b, d) temperature (isoline, unit: ℃) at 500 hPa, respectively superimposed with its standardized anomaly (colored) and horizontal wind (barb) at (a, b) 16:00 BT 17 May 2020 and (c, d) 12:00 BT 13 June 2018 |
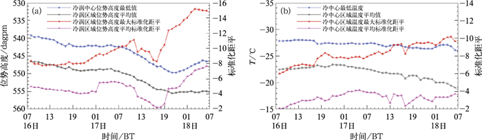
从冷涡中心位势高度的时间变化(图 5a)可以发现,冷涡中心位势高度最低值(图 5a蓝线,简称中心值)与冷涡区域位势高度平均值(图 5a黑线,简称区域平均值)的变化趋势相同,二者均能代表冷涡的强度。16日08时冷涡强度最强,中心值为539.2 dagpm。随着冷涡逐渐向东南方向移动,强度逐渐减弱,17日21时最弱,中心值为549.7 dagpm,之后逐渐加强,18日05时达到最强,中心值为546.3 dagpm。
|
图 5 2020年5月16日08时至18日07时(a)500 hPa冷涡, (b)冷涡附近冷中心强度及异常程度时序图 Fig. 5 Time series of intensity and anomaly degree of (a) cold vortex at 500 hPa and (b) cold temperature center near the cold vortex from 08:00 BT 16 to 07:00 BT 18 May 2020 |
冷涡区域位势高度最大标准化距平(图 5a红线)与平均标准化距平(图 5a粉线)的变化趋势相似,二者均能代表冷涡的异常程度。最大标准化距平从16日09时至17日11时处于增强趋势,17日11时达到最强,最大标准化距平达到-11.09,11—16时略有下降,16时之后再次增强,18日03时达到最强,最大标准化距平高达-15.14。
从冷涡中心冷空气强度的时间变化可见,冷中心最低温度(图 5b蓝线,简称冷中心值)与冷中心区域温度平均值(图 5b黑线,简称区域平均值)的变化趋势相似,但冷中心值变化趋势较为平缓,说明冷中心强度变化较小,而冷中心区域因与暖空气交绥,区域平均值上升幅度大于冷中心值,因此冷中心值更能代表冷空气的强度。冷中心值从16日08时开始逐渐下降,16日13时达到最强,冷中心值为-28.04℃。之后略有上升,并在-27.0℃附近波动。冷中心区域的最大标准化距平(图 5b红线)和平均标准化距平(图 5b粉线)的变化趋势相似,但与温度相同,平均标准化距平的变化幅度大于最大标准化距平,故最大标准化距平更能代表冷空气的异常程度。最大标准化距平从16日08时开始逐渐增大,16日20时为-8.36,达到第一个高峰。之后略有减弱,17日06时开始再次增强,16时为-9.37,达到第二个高峰。17时短暂下降,18时以后呈现波动上升趋势,18日05时达到-10.15,为本阶段最强。
山东发生强对流的时间为17日16时至18日03时,对比冷涡的强度和异常程度的变化趋势可见,这段时间冷涡的强度呈现先减弱再增强的趋势,而冷涡的异常程度则处于一直增强的趋势。对比同时段冷空气的变化可知,冷中心强度变化较小,但随着冷中心逐渐南移,冷空气的异常程度呈现波动增强的趋势。尤其是山东发生强对流的时间段,冷空气的异常程度呈现上升趋势。因为冷空气是移动的,其中心位置逐渐向南移动,冷空气的强度虽然出现减弱的趋势,但由于纬度逐渐降低,相同的冷空气对于低纬度地区来说,其异常程度大于高纬地区,冷空气的异常程度仍然是增强的。17日冷涡的位置正好处于容易造成山东强对流的关键区(曹钢锋等,1988),其异常程度处于增强阶段,因此造成了山东省大范围的极端强对流天气。
近10年来,冰雹范围和雷暴大风的强度能与“5·17”强对流相当的是“6·13”强对流。两次强对流过程有很多相似之处,均是东北冷涡背景下造成山东大范围冰雹、12级雷暴大风和局部暴雨的强对流天气过程,二者的差异是出现的月份不同。因“6·13”强对流主要发生时段为13日下午到前半夜,青岛、日照一带出现局地暴雨,青岛站17:08出现34.8 m·s-1(12级)的雷暴大风。因此利用13日12时天气形势作为“6·13”强对流发生前的环境条件,与“5·17”强对流过程进行对比。
12时500 hPa高度场(图 4c)可以看到冷涡中心位于京津冀一带,冷涡中心位势高度为564 dagpm,其西南侧异常程度为-6σ,与其相伴的冷空气异常程度为-5σ(图 4d)。冷涡中心位置比“5·17”强对流略偏南,后部有横槽,西北风最大风速为20 m·s-1。冷涡后部暖高压脊的长轴为南北向,不同于“5·17”强对流(图 4a)暖脊的长轴向东北方向伸展的趋势,脊的异常程度为4σ。与高压脊相伴的暖温度脊也是南北走向(图 4d),40°N以南的脊区内正、负距平交错,正距平区没有向东北方向伸展。而“5·17”强对流由于暖高压脊向东北伸展,东北冷涡的西部、北部、东部均被正距平区所包围,冷涡被切断为一团孤立的冷气团,有利于该气团长时间维持。并且暖脊自南向北在20°~60°N均为正距平区,说明该暖脊异常程度大于“6·13”,且有继续发展的趋势。事实上该冷涡造成山东5月16—18日连续三天出现强对流天气。
综上所述,“5·17”强对流过程,500 hPa冷涡后部暖高压脊异常程度为4σ,并向东北方向伸展,形成阻塞形势。冷涡中心高度场和温度场的异常程度分别高达-11σ、-8σ,且二者最强处均位于冷涡西南侧。冷涡后部西北风速高达28~32 m·s-1,携带强冷空气入侵山东。“6·13”强对流过程,虽然冷涡(-6σ)也异常偏强,但异常程度弱于“5·17”强对流。两次过程冷涡中心位势高度相差16 dagpm,异常程度相差5σ,冷涡后部西北风风速相差8~12 m·s-1,冷中心最低气温异常程度相差3σ。通过二者的对比分析发现,造成“5·17”强对流的冷涡异常程度为“6·13”强对流的1.5~2.0倍。
3.2.2 低层暖温度脊异常从图 6a可见,2020年5月17日16时850 hPa暖温度脊从河南省中部向东北方向伸到山东省中部,其18℃的顶端位于鲁中地区,异常程度高达6σ。冷涡后部冷空气势力较强,京津一带的冷温度中心为8℃,异常程度为-6σ。冷暖中心之间的锋区梯度在河北省中南部达到最大,为3.7 ℃·(100 km-1)。冷涡后部横槽南下转竖过程中,将冷涡西北象限强冷空气带到东南象限暖温度脊异常区,异常偏强的冷暖空气在山东交绥,造成大范围强对流天气过程。
|
图 6 (a) 2020年5月17日16时,(b)2018年6月13日12时850 hPa气温 (等值线, 单位:℃)、标准化距平(填色)及水平风(风羽) Fig. 6 The 850 hPa temperature (isoline, unit: ℃) standardized anomaly (colored) and horizontal wind (barb) at (a) 16:00 BT 17 May 2020 and (b) 12:00 BT 13 June 2018 |
2018年6月13日12时850 hPa暖中心(24℃)位于山西省南部到河南省西部(图 6b),山东境内暖温度脊的异常程度为4σ,略弱于“5·17”强对流。冷涡后部的冷中心气温为10~12℃,位于河北省北部,异常程度高达-5σ,与“5·17”强对流相当。冷暖中心之间的锋区梯度在鲁西北到河北省中南部达到最大,为3.0℃·(100 km)-1,比“5·17”强对流弱。
通过上述分析可知,“6·13”强对流天气过程850 hPa的暖温度脊及冷涡后部的冷空气异常程度分别为4σ和-5σ,“5·17”强对流天气过程分别为6σ和-6σ,略强于“6·13”强对流。
3.2.3 地面气旋异常2020年5月17日16时(图 7a),我国中东部地区受低压带控制,地面气旋中心位于鲁西南到河南省中北部一带,中心最低气压(995.0 hPa)位于河南、河北交界处,中心最大异常程度高达-8σ。冷高压位于蒙古国中部,中心最高气压为1015.0 hPa,最大异常程度为4σ。锋区最大梯度为3.5 hPa· (100 km)-1,位于山西省境内。从2 m气温的分布可见(图 7b),气旋南侧在河南省是一个36℃的高温中心,其异常程度高达10σ。暖温度脊从暖中心向北伸到河北省南部,正好与其北侧冷高压的前锋相遇,在此处形成强度高达12.5℃·(100 km)-1的锋区梯度。蒙古国中部冷高压中心为8℃的低温中心,中心最大异常程度为-6σ。
|
图 7 (a,b)2020年5月17日16时,(c,d)2018年6月13日12时的(a,c)海平面气压(等值线,单位:hPa)、标准化距平(填色)和10 m风(风羽),(b,d)2 m气温(等值线,单位:℃)、标准化距平(填色)和10 m风(风羽) Fig. 7 (a, c) Sea-level pressure (isoline, unit: hPa) and (b, d) 2 m temperature (isoline, unit: ℃) respectively superimposed with standardized anomaly (colored) and 10 m wind (barb) at (a, b) 16:00 BT 17 May 2020 and (c, d) 12:00 BT 13 June 2018 |
2018年6月13日12时海平面气压场的分布(图 7c)与图 7a相似,我国中东部地区也受低压带控制,气旋中心位于冀鲁豫三省交界处,中心最低气压为997.5 hPa,最大异常程度为-6σ。蒙古国中部高压中心气压为1005.0 hPa,最大异常程度为2σ。二者之间的锋区也是位于山西到河北,但最大梯度只有1.7 hPa·(100 km)-1,强度明显比“5·17”强对流弱。从2 m气温的分布可以看出(图 7d),34℃的高温中心有两个,一个位于鲁西南到河南省东北部,另一个则位于潍坊到青岛西部,异常程度均高达11σ。冷温度中心(16℃)位于河北省东北部,最大标准化距平位于河北省东部与天津交界处,为-4σ,锋区最大梯度为8℃·(100 km)-1,比“5·17”强对流弱。
可见,“5·17”强对流地面气旋及锋后冷高压的异常程度均大于“6·13”强对流(高2σ),尤其是锋区梯度是“6·13”强对流的2倍。2 m气温暖中心的强度“6·13”强对流略高于“5·17”强对流,但锋后冷空气,无论是范围还是强度,均是“5·17”强对流更胜一筹。
综上所述,造成山东大范围极端强对流的天气系统,从高层、低层到地面,从动力到热力,均呈现出极端异常的特征。总体来说(表 1),造成“5·17”强对流的天气系统异常程度为±4σ~±11σ,造成“6·13”强对流的天气系统异常程度为±2σ~±11σ,说明天气系统异常偏强是造成山东大范围极端强对流天气的重要原因,异常程度达到2σ以上可能产生极端强对流天气。相对而言,“5·17”强对流的天气系统比“6·13”强对流更强,可能在5月要造成极端强对流天气需要的动力和热力条件比6月更高,这需要更多的案例进行验证。
|
|
表 1 “5·17”与“6·13”强对流天气系统异常程度 Table 1 The anomalies of weather systems during the 17 May 2020 and 13 June 2018 severe convections |
产生对流天气的三要素是一定的水汽、不稳定的大气层结和抬升触发条件(朱乾根等,2007;俞小鼎等,2006)。大的CAPE和较大的垂直风切变是产生大冰雹的有利条件,对流风暴是否能发展成为组织化程度高的强风暴(超级单体或飑线),与0~6 km深层垂直风切变密切相关(俞小鼎等,2006)。即使初始为弱垂直风切变环境,飑线发展过程中与环境之间的正反馈作用也会导致垂直风切变增大(雷蕾等,2021)。本研究采用0~6 km风矢量差(以下简称风矢量差)。18时(图 8a)对流刚刚开始发生时,山东全省的风矢量差均大于20 m·s-1,达到强垂直风切变等级。在鲁西北回波带A(图 2a)所在地区,风矢量差高达30~34 m·s-1,34 m·s-1的强切变区域呈准东西向分布在鲁中地区。随着冷涡旋转南压,强垂直风切变区域逐渐东移南压并增强。20时(图 8b),风矢量差大于34 m·s-1的强垂直风切变区呈东北—西南向从莱州湾经过鲁中向西南伸到山东西部。对比图 2a可以发现,回波带A的主体主要分布在风矢量差34 m·s-1的带状区域及其前沿,其前侧回波带B主要分布在风矢量差大值中心前沿26~30 m· s-1的区域内。21时(图 8c)风矢量差34 m·s-1以上的风切变区域与图 8b相似,仍呈东北—西南向位于莱州湾到鲁西南,但范围有所增大,强度略有增强。对比图 2b可见,回波带A主体位于风矢量差为34 m·s-1的区域,回波带B、风暴C和新单体D均位于风矢量差大值中心前沿26~30 m·s-1的区域内,飑线的走向与风切变的矢量方向相同。
|
图 8 2020年5月17日(a)18时, (b)20时, (c)21时0~6 km风矢量差(填色和风羽) Fig. 8 The 0-6 km wind vector difference (colored and barb) at (a) 18:00 BT, (b) 20:00 BT, (c) 21:00 BT 17 May 2020 |
由此可见,在内嵌超级单体的多单体风暴逐渐组织化为飑线的过程中,回波带主体主要位于0~6 km风矢量差高达34 m·s-1的大值中心附近,新单体发生、发展、合并的区域为风矢量差大值中心前沿26~30 m·s-1的区域,初始回波带与新生的单体合并,逐渐组织化为一条尺度大、强度强的飑线,飑线的走向与0~6 km垂直风切变矢量方向相同。
3.3.2 CAPE重建从2.2节的分析可知,18时以后对流单体开始在山东中东部到山东半岛一带发展,直到20时仍然处于发展旺盛阶段(图 2a)。对流发展过程中,CAPE是被消耗掉的,那么是什么机制能让强对流长时间维持发展?
ERA5再分析资料提供逐小时最大CAPE,本节利用该资料分析CAPE的重建机制,用当前时次与上一时次的CAPE差表示当前时次CAPE的1 h变化量,以下简称ΔCAPE。18时(图 9a)在鲁中到半岛地区ΔCAPE均为负值,并且分别在淄博到潍坊、青岛到烟台出现-500 J·kg-1的大值中心。但从19时(图 9b)ΔCAPE的分布发现,18时的负值区域此时变为正值,且分别在泰安东部和青岛南部出现大于500 J·kg-1的大值中心。说明在此次强对流过程中,CAPE在被消耗后,又重新建立,造成强对流长时间持续。那么,是什么机制导致鲁中到半岛一带的CAPE重建?
|
图 9 2020年5月17日(a, c)18时, (b, d)19时, (e,f)20时(a,b,e)ΔCAPE(填色和等值线,单位:J·kg-1),(f)CAPE(填色和等值线,单位:J·kg-1),(c,d)850 hPa假相当位温平流(填色)和水平风(风羽) 注:紫色圆点为青岛市即墨站。 Fig. 9 (a, b, e) ΔCAPE (colored and isoline, unit: J·kg-1), (f) CAPE (colored and isoline, unit: J·kg-1), (c, d) pseudo-equivalent potential temperature advection (colored) and horizontal wind (barb) at 850 hPa at (a, c) 18:00 BT, (b, d) 19:00 BT, (e, f) 20:00 BT 17 May 2020 |
CAPE是气块在给定的环境中绝热上升时的正浮力所产生能量的垂直积分,在T-lnp图上,CAPE正比于气块上升曲线与环境温度曲线从自由对流高度至平衡高度所围成区域的正面积(刘健文等,2011)。统计表明(王秀明等,2012b),抬升气块的温度、露点温度每升高1℃,CAPE值平均分别增加194 J·kg-1、459 J·kg-1。因此低层环境越暖湿,气块所具有的CAPE越大,分析CAPE重建机制要从低层温度和湿度平流入手。从对流风暴与天气系统的配置关系可知(图略),对流风暴主要与850 hPa的天气系统对应较好。假相当位温θse是一个能综合表达温度与湿度的物理量,因此本节主要从850 hPa的假相当位温平流(以下简称暖湿平流)来分析CAPE的重建机制。
12时(图略)山东境内有两个正暖湿平流区,一个在淄博到潍坊西部,中心最大值为10×10-4 K·s-1; 另一个在鲁南,中心最大值为14×10-4 K·s-1。之后正暖湿平流区逐渐向北偏东方向移动,强度逐渐增强,范围增大。18时(图 9c),山东省大部地区均处于正暖湿平流区控制,有三个大值中心:原位于淄博、潍坊一带的正暖湿平流区移到潍坊北部,中心最大值为10×10-4 K·s-1,原位于鲁南的正暖湿平流区移到泰安、临沂北部一带,中心最大值为16×10-4 K·s-1,在青岛西南部沿海一带形成一个新的正暖湿平流区,中心最大值高达22×10-4 K·s-1。对比图 9b和9c发现,ΔCAPE的三个大值中心与正暖湿平流区的三个大值中心位置吻合,说明低层暖湿平流对于CAPE的重建起到非常重要的作用。
19时(图 9d),青岛西南部的正暖湿平流区移到青岛东南部,中心强度虽略有减弱,但中心最大值仍然达到18×10-4 K·s-1。另外两处正暖湿平流区的中心位置变化不大,但中心强度均明显减弱。因此20时(图 9e)青岛东南部的ΔCAPE仍然为600 J·kg-1的增量,而在鲁中和鲁南地区ΔCAPE为负值。但从20时的CAPE分布可见(图 9f),鲁中到鲁南地区虽然ΔCAPE为负值,但仍具有100~1800 J·kg-1的不稳定能量,能维持对流风暴的发展。从鲁东南到半岛南部一带的CAPE高达1000~1800 J·kg-1,与21—22时形成飑线的位置(图 2b, 2c)吻合。
从青岛市即墨站(观测到4.5 cm大冰雹,图 1d)上空各层暖湿平流、CAPE、ΔCAPE的演变趋势(图 10)可以发现,CAPE在17日09—15时一直处于上升趋势,15时到达第一个高峰。此阶段925 hPa暖湿平流维持在0 K·s-1附近波动,1000 hPa和850 hPa的暖湿平流均呈上升趋势,但850 hPa上升幅度更大,说明此阶段CAPE增长受到850 hPa以下暖湿平流的作用明显,850 hPa起主要作用。15—18时CAPE呈下降趋势,18时达到第一个波谷。此阶段850 hPa暖湿平流仍然呈现上升趋势,但上升幅度减小,925 hPa和1000 hPa的暖湿平流均呈下降趋势,故此阶段CAPE下降主要是由于低层暖湿平流减弱造成的,这可能与气温的日变化有关。18—21时CAPE再次快速上升,上升幅度很大,由18时的0 J·kg-1到21时升到最高峰1400 J·kg-1,即墨区的大冰雹主要出现在20时前后。此阶段1000 hPa的暖湿平流在0 K·s-1附近波动,850 hPa和925 hPa的暖湿平流呈明显的上升趋势,说明此阶段CAPE的重建主要是850 hPa和925 hPa的暖湿平流增强造成的。随着强对流的消耗,21时之后CAPE呈现下降趋势。21时之后虽然各层暖湿平流的强度逐渐减弱,但在18日01时之前各层的暖湿平流仍然是正值,说明仍然有能量向即墨区输送。该站上空虽然CAPE值在下降,但从ΔCAPE的变化趋势可以发现,CAPE下降的幅度在减小,该站上空一直具有一定的CAPE,保证对流风暴的维持。
|
图 10 2020年5月17日09时至18日06时即墨站低层假相当位温(θse)平流、CAPE、ΔCAPE时序图 Fig. 10 Time series of low-level pseudo-equivalent potential temperature (θse) advection, CAPE and ΔCAPE at Jimo Station from 09:00 BT 17 to 06:00 BT 18 May 2020 |
可见,低层暖湿平流源源不断地向山东输送暖湿空气,是CAPE重建的重要机制。暖湿平流的输送强度是波动性的,整个过程中850 hPa一直源源不断地有暖湿平流向山东输送,对山东强对流区域的CAPE重建起主要作用。在对流发生前,1000 hPa的暖湿平流起到一定的正作用;在对流发生过程中,850 hPa和925 hPa的暖湿平流对CAPE的重建起主要作用。
4 结论与讨论2020年5月17日,500 hPa冷涡后部异常偏强的暖高压脊向东北方向伸展形成阻塞形势,冷空气在华北地区切断,有利于冷涡在华北长时间维持。冷涡中心位于最有利于山东出现强对流的关键区,其西南象限异常偏强(图 11a)。涡后强盛的西北气流,一方面携带强冷空气南下叠加在低层异常偏强的暖湿空气之上形成强烈不稳定的大气层结; 另一方面造成山东上空0~6 km风矢量差超过34 m·s-1,有利于对流风暴组织化发展。地面气旋异常偏强,山东中部的地面辐合线触发产生新的对流单体。850 hPa以下暖湿平流源源不断地向山东输送暖湿空气,导致山东对流区域CAPE被消耗后重新建立,一方面促使对流风暴后向传播尺度增大、生命史延长,另一方面在强垂直风切变、水汽输送等有利条件下组织化为一条长度超过500 km的强飑线(图 11b)。
|
图 11 山东“5·17”极端强对流天气(a)概念模型图和(b)局部模型图(图a中虚线区域) Fig. 11 (a) Conceptual model of "5·17" extremely severe convective weather in Shandong Province, (b) local area model (dashed line area in Fig. 11a) |
通过对比“5·17”和“6·13”两次极端强对流天气过程,发现造成山东大范围极端强对流的环境条件有以下几个方面特点:
(1) 动力、热力强迫为极端强对流天气提供了有利的环境条件。500 hPa冷涡及其上游高压脊的异常程度分别高达-6σ以下和4σ以上,冷涡后部有横槽。冷涡中心异常冷且位置有利于对流层中层异常强的冷空气南下影响前期异常增暖的山东地区,锋区梯度大。地面受气旋控制,辐合抬升触发产生对流。
(2) 冷涡的西南象限异常偏强,极端强对流天气位于东南象限。
(3) 强的深层垂直风切变有利于对流风暴组织化发展,飑线的走向与0~6 km垂直风切变矢量方向相同。回波带主体位于垂直风切变大值中心附近,新单体发生、发展、合并的区域位于风矢量差大值中心前沿26~30 m·s-1的区域。
(4) CAPE重建是导致极端强对流天气持续时间长、影响范围广的重要因素。低层暖湿平流源源不断地向山东输送暖湿空气,是CAPE重建的机制。850 hPa暖湿平流在CAPE重建过程中起最主要的作用,在对流发生前和发生过程中,1000 hPa和925 hPa的暖湿平流也起到一定的正作用。暖湿平流的输送强度是波动性的,但持续的输送是保证山东强对流得以维持和发展的能量来源。
通过对造成山东“5·17”和“6·13”两次极端强对流的天气系统异常、垂直风切变、不稳定等环境条件进行计算,发现天气系统的异常程度更能代表动力和热力强迫的强度。对于冷涡区域,位势高度最低值与平均值均能代表冷涡的强度,最大标准化距平与平均标准化距平均能代表冷涡的异常程度。对于冷中心区域,温度的最低值和最大标准化距平分别代表冷空气的强度和异常程度,区域平均值和平均标准化距平的代表性较差。当冷涡南下过程中强度减弱,但异常程度增加时,仍能造成其东南象限产生极端强对流天气。本文只有两个个例的分析,表 1所列出的天气系统异常程度尚不能作为产生极端强对流天气的预报指标,“5·17”强对流的天气系统异常程度高于“6·13”强对流,也不能说明5月产生极端强对流的天气系统异常程度大于6月。后续将对更多的案例进行统计,以期获得能造成极端强对流的天气系统异常程度的预报指标。
致谢:感谢中央气象台牛若芸和周宁芳两位首席及山东省人民政府人工影响天气办公室王俊正研级高工的指导和帮助!感谢天津市气象台尉英华首席提供的大冰雹照片!
蔡康龙, 俞小鼎, 李彩玲, 等, 2021. 2019年广西临桂微下击暴流和广东湛江龙卷现场灾情调查对比分析[J]. 气象, 47(2): 230-241. Cai K L, Yu X D, Li C L, et al, 2021. Comparative analysis of damage survey of microburst in Lingui of Guangxi and tornado in Zhanjiang of Guangdong in 2019[J]. Meteor Mon, 47(2): 230-241 (in Chinese).
|
蔡雪薇, 谌芸, 沈新勇, 等, 2019. 冷涡背景下不同类型强对流天气的成因对比分析[J]. 气象, 45(5): 621-631. Cai X W, Chen Y, Shen X Y, et al, 2019. Cause analysis of different types of severe convective weather under cold vortex background[J]. Meteor Mon, 45(5): 621-631 (in Chinese).
|
曹钢锋, 张善君, 朱官忠, 等, 1988. 山东天气分析与预报[M]. 北京: 气象出版社: 161-162. Cao G F, Zhang S J, Zhu G Z, et al, 1988. Weather Analysis and Forecast in Shandong Province[M].
Beijing: China Meteorological Press: 161-162 (in Chinese).
|
谌芸, 孙军, 徐珺, 等, 2012. 北京721特大暴雨极端性分析及思考(一)观测分析及思考[J]. 气象, 38(10): 1255-1266. Chen Y, Sun J, Xu J, et al, 2012. Analysis and thinking on the extremes of the 21 July 2012 torrential rain in Beijing Part Ⅰ: observation and thinking[J]. Meteor Mon, 38(10): 1255-1266 (in Chinese).
|
高晓梅, 王世杰, 王文波, 等, 2018. 2016年山东一次阵风锋触发的强对流天气分析[J]. 海洋气象学报, 38(2): 67-75. Gao X M, Wang S J, Wang W B, et al, 2018. Analysis of the severe convective weather caused by a gust front in Shandong in 2016[J]. J Mar Meteor, 38(2): 67-75 (in Chinese).
|
公衍铎, 郑永光, 罗琪, 2019. 冷涡底部一次弓状强飑线的演变和机理[J]. 气象, 45(4): 483-495. Gong Y D, Zheng Y G, Luo Q, 2019. Evolution and development mechanisms of an arc-shaped strong squall line occurring along the south side of a cold vortex[J]. Meteor Mon, 45(4): 483-495 (in Chinese).
|
雷蕾, 孙继松, 陈明轩, 等, 2021. 北京地区一次飑线的组织化过程及热动力结构特征[J]. 大气科学, 45(2): 287-299. Lei L, Sun J S, Chen M X, et al, 2021. Organization process and thermal dynamic structure of a squall line in Beijing[J]. Chin J Atmos Sci, 45(2): 287-299 (in Chinese).
|
李彩玲, 蔡康龙, 黄先香, 等, 2021. 桂林一次强下击暴流成因分析[J]. 气象, 47(2): 242-252. Li C L, Cai K L, Huang X X, et al, 2021. Cause analysis of a severe downburst in Guilin[J]. Meteor Mon, 47(2): 242-252 (in Chinese).
|
刘健文, 郭虎, 李耀东, 等, 2011. 天气分析预报物理量计算基础[M]. 北京: 气象出版社: 91-93. Liu J W, Guo H, Li Y D, et al, 2011. Physical Quantity Calculation Basis for Weather Analysis and Forecast[M].
Beijing: China Meteorological Press: 91-93 (in Chinese).
|
冉令坤, 李舒文, 周玉淑, 等, 2021. 2021年河南"7·20"极端暴雨动、热力和水汽特征观测分析[J]. 大气科学, 45(6): 1366-1383. Ran L K, Li S W, Zhou Y S, et al, 2021. Observational analysis of the dynamic, thermal, and water vapor characteristics of the "7·20" extreme rainstorm event in Henan Province, 2021[J]. Chin J Atmos Sci, 45(6): 1366-1383 (in Chinese).
|
盛杰, 郑永光, 沈新勇, 2020. 华北两类产生极端强天气的线状对流系统分布特征与环境条件[J]. 气象学报, 78(6): 877-898. Sheng J, Zheng Y G, Shen X Y, 2020. Climatology and environmental conditions of two types of quasi-linear convective systems with extremely intense weather in North China[J]. Acta Meteor Sin, 78(6): 877-898 (in Chinese).
|
史文茹, 李昕, 曾明剑, 等, 2021. "7·20"郑州特大暴雨的多模式对比及高分辨率区域模式预报分析[J]. 大气科学学报, 44(5): 688-702. Shi W R, Li X, Zeng M J, et al, 2021. Multi-model comparison and high-resolution regional model forecast analysis for the "7·20" Zhengzhou severe heavy rain[J]. Trans Atmos Sci, 44(5): 688-702 (in Chinese).
|
孙军, 谌芸, 杨舒楠, 等, 2012. 北京721特大暴雨极端性分析及思考(二)极端性降水成因初探及思考[J]. 气象, 38(10): 1267-1277. Sun J, Chen Y, Yang S N, et al, 2012. Analysis and thinking on the extremes of the 21 July 2012 torrential rain in Beijing Part Ⅱ: preliminary causation analysis and thinking[J]. Meteor Mon, 38(10): 1267-1277 (in Chinese).
|
田付友, 郑永光, 张小玲, 等, 2018. 2017年5月7日广州极端强降水对流系统结构、触发和维持机制[J]. 气象, 44(4): 469-484. Tian F Y, Zheng Y G, Zhang X L, et al, 2018. Structure, triggering and maintenance mechanism of convective systems during the Guangzhou extreme rainfall on 7 May 2017[J]. Meteor Mon, 44(4): 469-484 (in Chinese).
|
汪小康, 崔春光, 王婧羽, 等, 2022. "21·7"河南特大暴雨水汽和急流特征诊断分析[J]. 气象, 48(5): 533-544. Wang X K, Cui C G, Wang J Y, et al, 2022. Diagnostic analysis on water vapor and jet characteristics of the July 2021 severe torrential rain in Henan Province[J]. Meteor Mon, 48(5): 533-544 (in Chinese).
|
王秀明, 俞小鼎, 周小刚, 等, 2012a. "6·3"区域致灾雷暴大风形成及维持原因分析[J]. 高原气象, 31(2): 504-514. Wang X M, Yu X D, Zhou X G, et al, 2012a. Study on the formation and evolution of "6·3" damage wind[J]. Plateau Meteor, 31(2): 504-514 (in Chinese).
|
王秀明, 俞小鼎, 朱禾, 2012b. NCEP再分析资料在强对流环境分析中的应用[J]. 应用气象学报, 23(2): 139-146. Wang X M, Yu X D, Zhu H, 2012b. The applicability of NCEP reanalysis data to severe convection environment analysis[J]. J Appl Meteor Sci, 23(2): 139-146 (in Chinese).
|
夏阳, 万雪丽, 严小冬, 等, 2016. 中国西南地区春季降水的时空变化及其异常的环流特征[J]. 气象学报, 74(4): 510-524. Xia Y, Wan X L, Yan X D, et al, 2016. Variations of spring precipitation over southwest China and characteristic circulations for precipitation anomalies[J]. Acta Meteor Sin, 74(4): 510-524 (in Chinese).
|
肖安, 许爱华, 2018. 三小时负变压异常指数及对强对流天气的预报意义[J]. 气象学报, 76(1): 78-91. Xiao A, Xu A H, 2018. Three hours negative pressure anomaly index and its significance in severe convective weather forecast[J]. Acta Meteor Sin, 76(1): 78-91 (in Chinese).
|
许长义, 章丽娜, 肖现, 等, 2023. 冷涡背景下华北平原一次弓形回波致灾大风过程分析[J]. 气象学报, 81(1): 40-57. Xu C Y, Zhang L N, Xiao X, et al, 2023. Case analysis of damaging high winds generated by bow echoes in the presence of a cold vortex over the North China Plain[J]. Acta Meteor Sin, 81(1): 40-57 (in Chinese).
|
许焕斌, 2012. 强对流云物理及其应用[M]. 北京: 气象出版社: 95-103. Xu H B, 2012. The Physics of Severe Convective Storms and its Application[M].
Beijing: China Meteorological Press: 95-103 (in Chinese).
|
阎丽凤, 杨成芳, 2014. 山东省灾害性天气预报技术手册[M]. 北京: 气象出版社: 111-114. Yan L F, Yang C F, 2014. Disastrous Weather Forecast Technical Manual in Shandong Province[M].
Beijing: China Meteorological Press: 111-114 (in Chinese).
|
俞小鼎, 王秀明, 李万莉, 等, 2020. 雷暴与强对流临近预报[M]. 北京: 气象出版社: 224, 58. Yu X D, Wang X M, Li W L, et al, 2020. Thunderstorm and Severe Convection Nowcasting[M].
Beijing: China Meteorological Press: 224, 58 (in Chinese).
|
俞小鼎, 姚秀萍, 熊廷南, 等, 2006. 多普勒天气雷达原理与业务应用[M]. 北京: 气象出版社: 91-92, 102-122, 145. Yu X D, Yao X P, Xiong T N, et al, 2006. Doppler Weather Radar Principle and Application[M].
Beijing: China Meteorological Press: 91-92, 102-122, 145 (in Chinese).
|
张萍萍, 孙军, 车钦, 等, 2018. 2016年湖北梅汛期一次极端强降雨的气象因子异常特征分析[J]. 气象, 44(11): 1424-1433. Zhang P P, Sun J, Che Q, et al, 2018. Analysis on abnormal characteristics of meteorological factors during an extremely heavy rainfall in 2016[J]. Meteor Mon, 44(11): 1424-1433 (in Chinese).
|
张琴, 孟伟, 朱敏, 等, 2017. 2016年6月13—14日山东强对流天气过程的中尺度特征及成因分析[J]. 海洋气象学报, 37(4): 101-112. Zhang Q, Meng W, Zhu M, et al, 2017. Characteristics and cause analysis of the strong convection weather processes in Shandong during 13-14 June 2016[J]. J Mar Meteor, 37(4): 101-112 (in Chinese).
|
张霞, 杨慧, 王新敏, 等, 2021. "21·7"河南极端强降水特征及环流异常性分析[J]. 大气科学学报, 44(5): 672-687. Zhang X, Yang H, Wang X M, et al, 2021. Analysis on characteristic and abnormality of atmospheric circulations of the July 2021 extreme precipitation in Henan[J]. Trans Atmos Sci, 44(5): 672-687 (in Chinese).
|
张婷婷, 王培涛, 王凤娇, 2017. 一次长寿命超级单体风暴雷达回波特征分析[J]. 海洋气象学报, 37(1): 98-103. Zhang T T, Wang P T, Wang F J, 2017. Analysis of radar echo characteristics of a long-life super monomer storm[J]. J Mar Meteor, 37(1): 98-103 (in Chinese).
|
朱乾根, 林锦瑞, 寿绍文, 等, 2007. 天气学原理和方法: 第4版[M]. 北京: 气象出版社: 426. Zhu Q G, Lin J R, Shou S W, et al, 2007. Principles and Methods of Synoptic Meteorology[M]. 4th ed. Beijing: China Meteorological Press: 426(in Chinese).
|
朱义青, 管叶莉, 王玉亮, 2020. 山东中西部一次超级单体分裂过程的雷达回波结构和环境条件分析[J]. 气候与环境研究, 25(3): 320-332. Zhu Y Q, Guan Y L, Wang Y L, 2020. Analysis of environmental conditions and the structure of radar echo for a supercell splitting process in the midwestern Shandong Province[J]. Climatic Environ Res, 25(3): 320-332 (in Chinese).
|
2023, Vol. 49 