2. 北京市气象探测中心,北京 100089;
3. 北京城市气象研究院,北京 100089
2. Beijing Meteorological Observation Centre, Beijing 100089;
3. Institute of Urban Meteorology, CMA, Beijing 100089
强对流是北京地区夏季的主要致灾天气,包括暴雨、破坏性大风、冰雹和龙卷等,对人民生命安全和城市运行等产生严重影响(孙继松等,2006;俞小鼎,2012;郑永光等,2017)。强对流天气具有生命史短、局地性强等特点,常规观测资料已无法满足当前临近预报的需求。新的观测技术手段提供了越来越多的高频次探测资料,不仅提供了更高时间频次的观测信息,还可获取更加丰富的中尺度系统垂直结构信息,揭示强对流系统在发展阶段的重要特征。国外已通过多种加密立体观测试验数据分析和高分辨率数值模拟,在强对流天气成因和机理的认识方面取得了突破性进展,为中尺度数值预报模式的改进提供了重要的科学依据(Weckwerth et al,2004;2008;Weckwerth and Parsons, 2006;Wilson and Roberts, 2006;Xue and Martin, 2006a;2006b;Browning et al,2007;Wakimoto and Murphey, 2010;Wang and Xue, 2012)。国内学者也开展了针对高频次探测资料的研究,研究表明微波辐射计和风廓线雷达资料能够较好地反演对流天气发生前的环境场特征,特别是垂直层次上的温度、湿度变化以及垂直风场变化(古红萍等,2008;李妙英等,2013;曾瑾瑜等,2014;邹德龙等,2019)。魏东等(2011)研究发现,微波辐射计和风廓线雷达分钟级数据对强对流天气发生前环境场特征具有很好的指示作用。郑栋等(2010)指出,闪电作为对流活动的反应,与强对流天气关系密切,现已成为气象监测的重要数据源,广泛应用于强对流天气监测(郑永光等,2015)。Bringi and Chandrasekar(2010)提出,双偏振雷达作为天气雷达的新技术之一,除了能测量常规的反射率因子、径向速度和速度谱宽外,还能获取差分反射率、零时滞相关系数、差分传播相移、差分传播相移率等双偏振参量。双偏振雷达具有扫描速度快、空间分辨率高等优势,已被逐步引入业务应用。通过整合X波段双偏振雷达和S波段雷达,北京形成了多波段雷达组网,并取得了良好的业务应用效果(吴翀等,2021)。
近年来,北京已建设多种高频次探测设备(如多部X波段双偏振雷达、风廓线雷达、微波辐射计、云雷达等),并构建了稠密的地面自动站网,形成了覆盖北京的高时空分辨率气象探测网。目前,针对这些高频次观测资料和设备的研究大多集中于单一仪器在特定天气个例中的应用(郑石等,2011;姚静,2012;董保举等,2012;翟亮等,2012;何娜等,2014;汪学渊等,2016),或者是对仪器的定量检验与评估(邓闯等,2012;董丽萍等,2014;王辉等,2019;叶飞等,2020)。如何在强对流监测、预报预警中综合使用多源高时空分辨率探测资料,从而有效提高预报的准确率和预警提前量,已成为亟待解决的问题。
综合应用多源高频次探测资料,分析了2020年8月27日北京一次局地强对流天气的成因、发展及其在临近预报预警中的可用性。同时,选取2020年其他4次局地强对流天气过程,对多源高频次探测资料的可用性做进一步验证,为此类资料在局地突发强对流天气的临近预报预警业务中的综合应用提供参考。
1 资料和方法 1.1 资料资料来源于常规高空与地面观测、北京地面加密自动站、南郊观象台S波段多普勒雷达(以下简称S波段雷达)、房山X波段双偏振雷达(以下简称X波段雷达)、延庆风廓线雷达、延庆微波辐射计以及北京三维闪电定位系统等观测,仪器分布如图 1所示。表 1为本文所用设备的主要技术参数。
|
图 1 北京多源高频次探测设备分布和地形(填色) Fig. 1 Distribution of the multi-source high-frequency detection equipments and topography (colored) in Beijing Area |
|
|
表 1 北京多源高频次探测设备类型及主要技术参数 Table 1 Types and main technical parameters of high-frequency detection equipment in Beijing |
关于微波辐射计(田野等,2022)、风廓线雷达(邓闯等,2012)以及北京S波段雷达和X波段雷达产品(吴翀等,2021)已有相关应用研究,而本次过程主要影响系统位于东部,气团的性质一致,因此选用位于平原地区的观象台探空资料进行数据质量控制。延庆微波辐射计和延庆地面自动站组成的虚拟探空和观象台探空形态相似,李建强等(2017)、孙艳桥等(2019)对相同型号的微波辐射计也进行过质量控制,表明在晴空背景下数据相关性最好,云天次之,降水较晴空和云天稍差。在两段探空时间间隔内(09:00—14:00、15:00—17:00;北京时,下同),由于高空没有有效的观测值进行比对,因此使用地面自动站和微波辐射计地面站温湿压传感器观测数据进行检验,微波辐射计和自动站观测的露点温度、水汽压和比湿,误差均较小。使用14:00南郊探空与延庆风廓线资料对比,垂直方向上的风速绝对偏差在0~1.6 m·s-1,因此认为风廓线资料质量也有保证。
此外,根据雷达资料计算,在1.5°和2.3°仰角时房山X波段雷达的数据实际灵敏度与理论灵敏度较为接近,数据质量可信;根据Earth Networks公司提供的理论模拟评估结果,北京三维闪电定位系统对北京及周边地区云闪的探测效率约为80%;对京津冀地区的地闪探测效率>95%;对北京及周边地区地闪的定位精度 < 200 m。
1.2 风暴识别方法和闪电跃增计算方法使用TITAN(thunderstorm identification tracking analysis and nowcasting)风暴识别方法对强对流单体进行识别。TITAN是一种基于对象的雷暴单体识别、追踪、分析和预报方法(Dixon and Wiener, 1993),其主要优势在于对雷暴单体的三维识别与追踪。该方法的基本原理是将雷达极坐标系数据转换为笛卡尔坐标系数据(1 km×1 km)后,分别从东西和南北方向寻找雷达体扫中组合反射率因子≥35 dBz的格点。当标识区域内包含最大反射率因子≥45 dBz的格点时,则标记为强对流单体,否则不予标记(Dixon and Wiener, 1993;Tian et al,2019;曹伟华等,2019;田野等,2021)。
目前,国际上普遍采用的闪电跃增算法主要有Gatlin算法(Gatlin,2008)和σ算法(Schultz et al,2017)。根据田野等(2021)的研究结果,在北京地区采用2σ闪电跃增算法(即当前闪电频数变化率超过前期平均闪电频数变化率的两倍标准差)能提供最佳灾害性天气预警效果。因此,本文也采用2σ算法对强雷暴天气进行分析。在该算法中,闪电次数为统计落在TITAN算法识别后的强对流单体网格内的总闪(云闪+地闪)次数。
2 天气实况与背景 2.1 天气实况2020年8月27日15:00—21:00,北京地区出现了分散性雷阵雨,西部、南部的降水较为明显,延庆、门头沟局部地区出现暴雨(图 2a)。房山、大兴和延庆局地出现冰雹(17:19延庆张山营,最大直径为2 cm)和6级以上短时大风,最大风力达10级(18:34房山城关,25.2 m·s-1,图 2b)。15:00—21:00,北京全市平均降水量为1.9 mm,最大累计降水量出现在延庆玉渡山,达到76.5 mm;最大小时降水量也出现在该站(17:00—18:00降水量为74.5 mm)。
|
图 2 2020年8月27日15:00—21:00北京地区(a)累计降水量,(b)地面极大风(风羽)和风力(填色) Fig. 2 (a) Accumulated precipitation, (b) surface extreme wind (barb) and wind force (colored) in Beijing from 15:00 BT to 21:00 BT 27 August 2020 |
根据雷达回波演变(图 3),16:00前后,在北京西部山区延庆和门头沟一带开始触发对流,对流随着引导气流向西南方向移动,并逐渐增强;17:15前后,丰台南部出现新生雷暴,大兴东南部的雷暴进一步发展加强,房山东部雷暴也持续增强并向西南方向移动,19:15前后减弱消散。
|
图 3 2020年8月27日16:00—19:30逐30 min的雷达回波演变 Fig. 3 Evolution of radar echoes every 30 min from 16:00 BT to 19:30 BT 27 August 2020 |
27日08:00,华北地区在“两低一高”的天气环流背景下,蒙古国中部有一个低涡,辽宁南部黄海区域有2020年8号台风“巴威”,北京处于台风外围东北气流带中。500、700、850 hPa和地面均受外围偏东风的影响(图略)。午后,低层风向由东北风转为偏东风,北京西部沿山一带受地形影响,动力抬升条件明显增强。此外,北京南部形成了切变系统,同样存在有利的动力抬升条件。白天低层湿度较差,但随着台风低压系统的临近,湿度条件有所好转,14:00近地面比湿达到15 g·kg-1,表明空气中的绝对水汽含量较高,有利于强降水的发生。从27日白天探空数据变化来看,中午前后随着温度升高,对流有效位能(CAPE)显著增加,从955 J·kg-1升至2007 J·kg-1,对流抑制能量(CIN)降到0 J·kg-1,表明能量条件较好。0~6 km的垂直风切变(SHR6)一直小于10 m·s-1,表明对流的组织性不强,出现大范围对流天气可能性较低。探空数据反演得到的0℃层高度为4012 m,0℃湿球温度高度(WBZ)为3345 m,-20℃层高度为7458 m,这些条件有利于冰雹的形成。下沉对流有效位能(DCAPE)较小,表明发生大范围8级以上雷暴大风的可能性较低。尽管暖云厚度为1911 m,但由于抬升凝结高度和0℃层高度之间的相对湿度较小,云体含水量不高,因此不利于大面积短时强降水的发生(表 2)。
|
|
表 2 2020年8月27日北京探空物理量 Table 2 Sounding physical quantities in Beijing on 27 August 2020 |
延庆微波辐射计反演的大气温度、相对湿度、水汽密度显示(图 4),27日10:00—16:00,低层(主要在1000 m以下)持续增温(图 4a),表明27日上午西北部地区大气层结逐渐变得更加不稳定。12:00,1000 m高度的气温约为20℃,5000 m高度的气温约为-11℃,温差达31℃。14:00—16:30,随着地面热力状况的改善,地面温度增加到了约30℃,1000 m以下的温度垂直递减率达1.0℃·(100 m)-1,接近干绝热递减率,表明此时层结很不稳定,极易发生对流。对流层中低层气温垂直递减率大,不仅有助于产生较高的CAPE,促进对流的发生,还使得风暴中下沉气流与环境的温差加大,有利于雷暴大风、冰雹等强对流天气的形成。
|
图 4 2020年8月27日延庆微波辐射计的(a)温度,(b)水汽密度,(c)相对湿度的时间-高度变化;(d)K指数、SI指数、降水量随时间的变化 Fig. 4 Time series of (a) temperature, (b) water vapor density, (c) relative humidity, and (d) K-index, SI-index and precipitation calculated by the microwave radiometer at Yanqing on 27 August 2020 |
水汽密度随高度增加而减小,低层的变化尤为显著。降水前近地层水汽密度接近20 g·m-3,1000 m下降到10 g·m-3左右。27日14:00开始,近地面至4000 m高度水汽密度缓慢增大,湿层逐渐增厚(图 4b),为强对流系统提供了丰富的水汽供应,同时为风暴的发生发展提供了能量来源。在降水发生前,整层水汽积分总量逐渐缓慢增加,至降水发生前,增大至40 mm以上;然而,强降水发生之后,由于降水落地,导致整层水汽积分总量减少,降至约30 mm。相对湿度的垂直分布呈现上下层大、中层小的特征,14:00与观象台相对湿度的垂直分布特征相似(图 4c)。08:00—16:00,3500~5000 m高度相对湿度为80%~85%。结合云雷达观测(图略),可以看出中高层有云逐渐移入,相对湿度开始出现波动的时刻较降水发生提前了90 min。
利用微波辐射计反演计算得到的K指数和SI指数能够有效指示对流天气大气层结不稳定条件(Chan,2009;李聪等,2017)。由图 4d可见,27日06:00开始,K指数在波动中持续增大,SI指数逐渐减小,表明大气层结不稳定度逐渐增大;16:00前后,K指数达到峰值,SI指数降至最小,表明此时大气层结最不稳定。在强对流发生前30~90 min,K指数和SI指数经历了多次波动,多个波峰波谷交替出现,预示着延庆地区出现了强对流天气。19:30前后,K指数迅速减小,SI指数增大,此后西北部雷暴明显减弱。
根据上述分析,微波辐射计观测的物理量及计算出的K指数和SI指数变化,能够提前30~90 min指示强对流天气的发生。
3.2 风廓线雷达分析由延庆垂直风廓线雷达时序演变可见(图 5),27日上午,受台风“巴威”外围气流的影响,延庆近地层为东南风,1100~1350 m为偏东风,1950~4350 m为偏北风,4350 m以上维持偏东风,直到15:00降水开始前风向转为偏北风。风向随高度变化呈逆转,表明垂直方向上有冷平流。结合午后地面的明显增暖情况,这种风场变化有利于层结热力不稳定性的增强。
|
图 5 2020年8月27日延庆垂直风廓线(风羽)时间-高度变化 注: 填色为垂直风切变,红色等值线为垂直速度,单位: m·s-1。 Fig. 5 Time series of the vertical wind profile (barb) at Yanqing on 27 August 2020 |
27日16:00之前,地面维持2 m·s-1的偏东风或东南风,3000~4000 m高度处有10~12 m·s-1的偏北风,地面至3000 m附近高度间的风矢量差为12~13 m·s-1,形成中等强度的垂直风切变。延庆西侧有山脉阻挡,偏东风在山前受地形影响产生强迫抬升。上升运动将暖湿气流不断向上输送,有利于对流的触发、加强和维持,延庆地面自动站于17:20出现降水,张山营站在17:05出现降水。观测数据表明,0~3000 m的垂直风切变有增大的趋势,较降水发生提前5~20 min。风廓线中的湍流变化反映了环境风场中风速的脉动,可能是因为对流性降水云过境时,风廓线波束空间内降水粒子及环境大气运动分布存在明显的非均匀性造成的(邓闯等,2012)。20:00降水结束后,随着低层风向由偏东风转为西北风,3000~4000 m高度的风向也由东北风转为偏北风,垂直风切变逐渐减弱,影响延庆的雷暴减弱并最终消散。
3.3 S波段、X波段雷达与三维闪电系统分析 3.3.1 延庆强对流天气27日16:00前后,在延庆西北沿山地区有雷暴新生,组合反射率因子最强为40 dBz,4 km以下为离开雷达的径向速度,4 km以上则为朝向雷达的速度(图略),同时,垂直方向上风切变增大,表明雷暴正在加强发展。根据延庆垂直风廓线的分布,16:00前后,0~4 km的垂直风切变有所增加,测站上空的大气风场呈现较强的局地不稳定,为雷暴的增强和发展提供了有利的环境条件。16:48,组合反射率因子超过了60 dBz(图 6a)。剖面图显示回波顶高已超过12 km(图 6b),在速度图中低层出现强辐合(图 6c)。反射率因子达到60 dBz的强雷暴位于3~9 km,覆盖了0℃层和-20℃层,低层存在辐合,10 km以上存在辐散,斜升气流明显(图 6d)。结合微波辐射计的观测结果分析,低层暖湿气流的爬升促使系统快速发展并加强,在这一阶段,雷暴一直处于生命史的成熟阶段;17:18,强雷暴质心强度明显减弱至约55 dBz(图 6e),质心高度下降到6 km以下(图 6f),径向速度图(图 6g,6h)显示强雷暴与下沉气流有关,表明整个雷暴开始塌陷。根据雷达资料,从16:48观测到强雷暴,至17:19延庆张山营观测到大冰雹,从观测到强回波质心下降到冰雹落地存在约30 min的提前量。
|
图 6 2020年8月27日(a~d)16:48,(e~h)17:18北京S波段雷达(a, e)组合反射率因子,(b, f)分别沿图 6a, 6e中延庆强回波中心(黑色实线)的反射率因子剖面,(c, g)2.4°仰角径向速度,(d, h)分别沿图 6c, 6g中延庆强回波中心(黑色实线)的径向速度剖面 Fig. 6 (a, e) Composite reflectivity factor, (b, f) reflectivity factor cross-section along the strong echo center (black solid line) in Yanqing in Fig. 6a and Fig. 6e, (c, g) radial velocity at 2.4° elevation, (d, h) radial velocity cross-section along the strong echo center (black solid line) in Yanqing in Fig. 6c and Fig. 6g of S-band radar in Beijing at (a-d) 16:48 BT and (e-h) 17:18 BT 27 August 2020 |
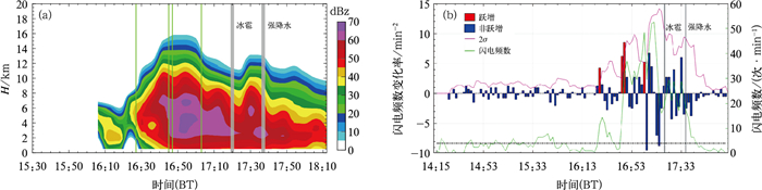
虽然雷达资料能够有效捕捉强对流系统的结构和变化特征,但在雷达处于低仰角或天气过顶时,往往存在探测盲区,结合闪电定位资料可以有效弥补此类观测盲区。而研究表明,闪电跃增现象对雷暴和强对流天气的预报预警有较好的指示作用(田野等,2021)。使用S波段雷达资料结合闪电定位系统资料对延庆地区的强雷暴进行追踪,并记录闪电定位系统中闪电总数的跃增情况,以进一步验证雷电和雷暴发展的对应关系。从对延庆地区强雷暴的追踪结果(图 7a)来看,27日16:00影响延庆地区的雷暴开始出现且强度不断增强;从16:42之后,50 dBz回波高度发展到近10 km,最强中心超过65 dBz,位于3.5~7.5 km,随后强中心随时间明显下降。16:42观测到雷暴质心下降,至17:19延庆张山营镇出现冰雹,有37 min的时间提前量,再至17:36延庆张山营村观测到30 mm·h-1强降水,有54 min的时间提前量。期间,闪电频数分别在16:27、16:45、16:47和17:03发生了4次跃增(图 7b),从第一次观测到闪电跃增到冰雹发生的时间提前量为52 min,较短时强降水提前69 min,这表明闪电跃增观测对冰雹和强降水的临近预报有一定的指示意义。
|
图 7 2020年8月27日延庆追踪的强雷暴(a)沿雷暴中心的反射率因子(填色)和(b)单体内闪电跃增随时间的变化 注: 灰色实线分别代表冰雹、强降水发生时刻, 图a中绿色实线代表闪电跃增时刻, 图b中黑色点划线表示闪电频数阈值。 Fig. 7 Time series of (a) reflectivity factor (colored) along the thunderstorm center, (b) lightning jumps within the thunderstorm cell of tracked severe thunderstorm in Yanqing on 27 August 2020 |
Seliga and Bringi(1976)研究表明,雷暴单体的云微物理过程一直未受到足够关注,主要原因在于缺乏有效的观测手段。随着探测技术的不断进步,强对流风暴的云微物理过程的分析研究得到了大量观测资料的支持。X波段雷达产品中含有相关系数(CC)、差分反射率因子(ZDR)、差分传播相移率(KDP)等观测资料,可为雷暴结构和相态粒子判别提供重要依据。
18:30(图 8),房山雷达观测到的最强组合反射率因子超过50 dBz,沿强雷暴中心进行剖面分析发现,回波悬垂结构较明显,最强雷暴中心分别位于4~6 km和2 km左右。4 km高度以下区域,CC大多在0.85~0.94,ZDR为4~5 dB,KDP最大约为7 °·km-1,说明此处有冰雹下落。随着冰雹下落,融化过程产生的外包水膜现象使得ZDR上升。结合CC的变化,可以发现冰雹所在区域CC明显下降,表明冰雹已融化,存在混合相态的水凝物。此外,冰雹的融化吸收了大量热量,导致风暴中下沉气流的温度降低、冷池增强,有利于雷暴大风的形成。同时,冰雹的拖曳效应加剧了风暴下沉辐散气流的强度。通过分析径向速度剖面,可见强雷暴对应的下沉气流较强,18:34,风暴在房山城关站产生了25.2 m·s-1(10级)的雷暴大风。与单偏振雷达相比,双偏振雷达提供了更加丰富和精确的云微物理观测产品,为粒子相态的识别提供了更可靠的依据。综上所述,从强雷暴中心下沉到地面至出现雷暴大风和冰雹有24 min的提前量。
|
图 8 2020年8月27日18:30北京房山X波段雷达(a)组合反射率因子,(b~f)沿图a中黑线的(b)反射率因子,(c)ZDR,(d)KDP,(e)CC,(f)径向速度剖面 Fig. 8 (a) Composite reflectivity factor, (b-f) cross-section of (b) reflectivity factor, (c) ZDR, (d) KDP, (e) CC, (f) radial velocity along the black line in Fig. 8a of X-band radar in Fangshan at 18:30 BT 27 August 2020 |
在对影响房山地区的强雷暴单体的追踪结果中(图 9a),17:00—18:00雷暴有增强趋势,>60 dBz的反射率因子高度不断上升;18:12左右,最大反射率因子超过65 dBz,雷暴高度约为6 km,之后强雷暴中心明显下降;18:34,自动站监测到10级雷暴大风,从强雷暴中心的下降时刻至雷暴大风发生,有22 min提前量。对应的闪电跃增观测显示(图 9b),分别在17:24、17:28和17:52发生了3次跃增,最早的跃增时刻相较于17:44大兴芦城出现冰雹(冰雹1,直径为0.8 cm),提前了20 min;较17:58房山良乡出现冰雹(冰雹2,直径为0.8 cm),提前了34 min;18:20出现的闪电跃增与18:34房山城关发生的10级雷暴大风相比,提前了14 min。
|
图 9 2020年8月27日房山追踪的强雷暴(a)沿雷暴中心的反射率因子(填色)和(b)单体内闪电跃增随时间的变化 注: 灰色实线分别代表冰雹、雷暴大风发生时刻, 图a中绿色实线代表闪电跃增时刻, 图b黑色点划线表示闪电频数阈值。 Fig. 9 Time series of (a) reflectivity factor (colored) along the thunderstorm center, (b) lightning jumps within the thunderstorm cell of tracked severe thunderstorm in Fangshan on 27 August 2020 |
在雷暴初生阶段(16:00前后),环境场0℃层高度在3.5 km附近,-20℃高度为6.5 km;低层水汽密度明显增长(图 4b),温度垂直递减率达1.0℃·(100 m)-1,K指数上升,SI指数下降(图 4d),能量持续累积;1 km以下风向由偏东风转为东南风(暖湿平流),中层(3~4 km)维持偏北风,0~3 km垂直风切变增大(图 5),低层辐合增强,并与地形共同作用触发了对流初生。延庆山区触发的孤立对流单体雷暴回波和微物理特征显示,新生单体中心强度约为40 dBz,回波顶高约为5 km(接近-10℃层高度),表明上升气流尚未充分发展,冰相粒子较少。此阶段,低层暖湿输送(由微波辐射计观测)、垂直风切变增强(由风廓线雷达观测)与地形抬升共同作用促使孤立单体生成,但冰相粒子不足(雷达回波顶高偏低),尚未达到强对流阈值。
4.2 雷暴发展阶段雷暴进入成熟阶段(16:25—17:42),K指数达到峰值,SI指数降至最低,能量积累至最大。低层的东南风一直维持,与雷暴中的下沉西北风形成强烈的低层辐合,上升运动增强,促进雷暴的进一步发展。回波强度由40 dBz增至70 dBz(图 6b),顶高升至14 km(穿透-20℃高度层),回波强度垂直梯度陡增(>8 dBz·km-1),悬垂结构与弱回波区明显,强回波(>60 dBz)覆盖3~9 km(0℃高度层到-20℃高度层),符合冰雹生长区。该时段内,闪电频数发生了4次2σ跃增,首次跃增(16:27)超前冰雹落地(17:19)52 min,反映了强闪电活动。
能量积累(由微波辐射计观测)配合较强垂直风切变(由风廓线雷达观测)与悬垂回波(S波段雷达) 促使强雷暴维持,闪电跃增为冰雹预警提供关键信号。
4.3 雷暴消亡阶段在雷暴消亡阶段(17:42之后),整层湿度降低导致对流无法维持,温度层结趋于稳定,同时垂直风切变减小,使得垂直运动进一步减弱,回波顶高逐渐降低,反射率因子垂直梯度减小,因此雷暴结构变得松散。此时,反射率因子的水平梯度也开始减小,上升气流减弱,造成云中冰相粒子无法维持,开始出现层状云降水,预示着雷暴即将消亡。
在这一阶段,雷暴冷池扩散(由风廓线雷达观测)抑制了上升运动,层结稳定化(由微波辐射计观测)与冰相粒子耗尽(S波段雷达)共同导致对流衰亡,从而闪电活动终止。多源高频次探测资料配合应用于整个雷暴的生命史过程,能对雷暴发展趋势预报提供了较好的参考作用(图 10)。
|
图 10 2020年8月27日15:30—18:10沿延庆追踪的强雷暴中心的反射率因子(填色)、-20℃和0℃高度层、延庆风廓线雷达观测的风场(风羽)以及K指数和SI指数随时间的变化 Fig. 10 Time series of reflectivity factor (colored), -20℃ and 0℃ altitude layers along the center of tracked severe thunderstorm, wind (barb) detected by wind profile radar, the K-index and SI-index in Yanqing from 15:30 BT to 18:10 BT 27 August 2020 |
本文选取2020年汛期其他4次局地强对流个例进一步验证上述结论。从高频次探测资料分析可见,微波辐射计在强对流发生前30~120 min,气温、相对湿度、水汽密度出现波动变化,K指数、SI指数等能量表征指标也会在强对流天气发生前出现极值,为强对流天气发生前的环境变化分析提供了有效指示,与Lin et al(2023)的研究结论一致。风廓线雷达数据显示,强对流天气发生前,垂直风切变存在脉动现象,且垂直风切变会突然增大,该现象较强对流天气发生有55~120 min的时间提前量;S波段和X波段雷达可有效判断雷暴所处的阶段,其雷暴质心的下降较强对流天气发生有12~24 min的时间提前量;闪电跃增现象较强对流天气有5~60 min的时间提前量(表 3)。
|
|
表 3 2020年北京4次局地强对流个例中多源高频次探测资料的应用效果 Table 3 Summary of application of multi-source high-frequency observations in four local severe convection cases in Beijing in 2020 |
北京具备多源高频次探测资料,在局地强对流天气的监测中,这些资料的联合使用对判断对流的发生和发展具有较好的指示作用。通过对2020年8月27日北京一次局地强对流过程进行分析研究,结果表明:
(1) 融合微波辐射计、风廓线雷达、S和X波段雷达及三维闪电定位系统的高时空分辨率数据,可有效捕捉强对流天气的演变特征。微波辐射计反演的温度、湿度及稳定度参数(K指数、SI指数)在强对流发生前30~120 min出现显著变化,为环境能量积累提供了关键信号;风廓线雷达监测的风转变、垂直风切变增强与低层暖平流可提前55~120 min指示动力抬升条件(表 4)。
|
|
表 4 多源高频次探测资料在北京强对流天气过程中的临近预报预警提前量 Table 4 The forecast and warning lead time of multi-source high-frequency detection data |
(2) S和X波段雷达通过回波中反射率因子中质心高度的变化、速度场中高层辐散、低层辐合等特征,结合微波辐射计各层高度分布可以判断雷暴中上升速度加大,雷暴将发展加强。双偏振参数(ZDR、KDP)分析的雷暴微物理相态,对冰雹、雷暴大风的预警提前量可达12~37 min;闪电跃增(2σ算法)与强对流天气(冰雹、大风、短时强降水)的对应关系显著,预警提前量介于5~69 min,其中首次闪电跃增对冰雹的指示性最优。
(3) 各种观测资料的综合应用可以综合判断雷暴生命史阶段的特征。地形抬升与低层暖湿平流触发孤立单体,微波辐射计能量参数累积(K指数上升、SI指数下降)及风廓线垂直风切变脉动为初生阶段提供了早期预警信号。悬垂回波、强垂直梯度(>8 dB·km-1)及闪电跃增反映强闪电活动,结合冰相粒子生长区(0℃层高度和-20℃层高度)的回波特征,可提前52 min预警冰雹,其是判断雷暴发展阶段重要的参考。冷池扩散、层结稳定化(微波辐射计湿度下降)及冰相粒子耗尽(雷达回波松散)共同导致对流减弱,闪电活动终止指示雷暴消亡阶段。
(4) 2020年北京其他4次强对流个例分析表明,多源高频次探测资料的协同应用具有较好的普适性。微波辐射计和风廓线雷达的环境参数变化、雷达质心下降特征及闪电跃增信号在不同天气背景下均表现出稳定的预警能力。
本文定量分析了多源高频次探测资料在一次强对流天气中的临近预报和预警提前量,结果为业务应用提供了一定的指示意义。然而,由于微波辐射计和风廓线雷达的探测原理存在一定的限制,在降水或者强对流天气发生时,这些仪器的观测数据可能会受到较大污染,导致数据质量受到影响而无法直接使用。因此,在实际应用中,应重点分析降水或强对流天气发生前观测要素的时序变化,避免使用降水发生阶段的数据。此外,针对局地突发的强对流天气的临近预报与预警,虽然多源高频次探测资料提供了重要的预警信息,但在定量化分析和应用方面仍然存在较大挑战。随着观测资料的不断积累,未来需要持续开展大量个例预报指标的定量化研究,进一步提升业务应用的精确度和可靠性。
致谢:感谢北京城市研究院李思腾所做的雷达资料质量分析工作。
Bring i V N, Chandrasekar V, 2010. 偏振多普勒天气雷达原理和应用[M]. 李忱, 张越, 译. 北京: 气象出版社. Bringi V N, Chandrasekar V, 2010. Polarimetric Doppler Weather Radar: Principles and Applications[M]. Li C, Zhang Y, trans. Beijing: China Meteorological Press(in Chinese).
|
曹伟华, 陈明轩, 高峰, 等, 2019. 雷暴区域追踪矢量与雷暴单体追踪矢量融合临近预报研究[J]. 气象学报, 77(6): 1015-1027. Cao W H, Chen M X, Gao F, et al, 2019. A vector blending study based on object-based tracking vectors and cross correlation tracking vectors[J]. Acta Meteor Sin, 77(6): 1015-1027 (in Chinese).
|
邓闯, 阮征, 魏鸣, 等, 2012. 风廓线雷达测风精度评估[J]. 应用气象学报, 23(5): 523-533. Deng C, Ruan Z, Wei M, et al, 2012. The evaluation of wind measurement accuracy by wind profile radar[J]. J Appl Meteor Sci, 23(5): 523-533 (in Chinese).
|
董保举, 付志嘉, 李明, 等, 2012. 风廓线雷达资料在暴雨天气过程特征分析中的应用[J]. 气象科技, 40(1): 74-78, 86. Dong B J, Fu Z J, Li M, et al, 2012. Feature analysis of a rain storm with wind profile radar data[J]. Meteor Sci Technol, 40(1): 74-78, 86 (in Chinese).
|
董丽萍, 吴蕾, 王令, 等, 2014. 风廓线雷达组网资料初步对比分析[J]. 气象, 40(9): 1145-1151. Dong L P, Wu L, Wang L, et al, 2014. Preliminary comparison research of the wind profile radar network data[J]. Meteor Mon, 40(9): 1145-1151 (in Chinese). DOI:10.7519/j.issn.1000-0526.2014.09.012
|
古红萍, 马舒庆, 王迎春, 等, 2008. 边界层风廓线雷达资料在北京夏季强降水天气分析中的应用[J]. 气象科技, 36(3): 300-304. Gu H P, Ma S Q, Wang Y C, et al, 2008. Application of airda-3000 boundary wind profile radar in analyzing summer heavy rainfall in Beijing[J]. Meteor Sci Technol, 36(3): 300-304 (in Chinese).
|
何娜, 孙继松, 王国荣, 等, 2014. 北京地区预报失误的两次降雪过程分析[J]. 气象科技, 42(3): 488-495. He N, Sun J S, Wang G R, et al, 2014. Analysis of unsuccessful forecasting for two snowfall processes in Beijing[J]. Meteor Sci Technol, 42(3): 488-495 (in Chinese).
|
李聪, 姜有山, 姜迪, 等, 2017. 一次冰雹天气过程的多源资料观测分析[J]. 气象, 43(9): 1084-1094. Li C, Jiang Y S, Jiang D, et al, 2017. Observation and analysis of a hailstorm event based on multi-source data[J]. Meteor Mon, 43(9): 1084-1094 (in Chinese). DOI:10.7519/j.issn.1000-0526.2017.09.006
|
李建强, 李新生, 董文晓, 等, 2017. RPG-HATPRO微波辐射计反演的温度和湿度数据适用性分析[J]. 气象与环境学报, 33(6): 89-95. Li J Q, Li X S, Dong W X, et al, 2017. Applicability analysis of air temperature and humidity data retrieved from a RPG-HATPRO microwave radiometer[J]. J Meteor Environ, 33(6): 89-95 (in Chinese).
|
李妙英, 胡明宝, 陈楠, 等, 2013. 风廓线雷达资料在一次强降水天气过程中的分析应用[J]. 成都信息工程学院学报, 28(1): 24-28. Li M Y, Hu M B, Chen N, et al, 2013. An analysis of application in a heavy rain by using wind profiler data[J]. J Chengdu Univ Inform Technol, 28(1): 24-28 (in Chinese).
|
孙继松, 石增云, 王令, 2006. 地形对夏季冰雹事件时空分布的影响研究[J]. 气候与环境研究, 11(1): 76-84. Sun J S, Shi Z Y, Wang L, 2006. A study on topography impacting on distribution of hail events[J]. Climatic Environ Res, 11(1): 76-84 (in Chinese).
|
孙艳桥, 汤达章, 桑建人, 等, 2019. RPG_HATPRO_G4型地基微波辐射计温度数据质量控制方法与效果分析[J]. 干旱区地理, 42(6): 1282-1290. Sun Y J, Tang D Z, Sang J R, et al, 2019. Quality control method and efficiency analysis on temperature data by RPG-HATPRO-G4 type ground-based microwave radiometer[J]. Arid Land Geogr, 42(6): 1282-1290 (in Chinese).
|
田野, 刘旭林, 于永涛, 等, 2022. 北京城区大气边界层高度的反演研究[J]. 气象科技, 50(1): 9-20. Tian Y, Liu X L, Yu Y T, et al, 2022. Inversion of atmospheric boundary layer height in Beijing Urban Area[J]. Meteor Sci Technol, 50(1): 9-20 (in Chinese).
|
田野, 姚雯, 尹佳莉, 等, 2021. 不同闪电跃增算法在北京地区应用效果对比[J]. 应用气象学报, 32(2): 217-232. Tian Y, Yao W, Yin J L, et al, 2021. Comparison of the performance of different lightning jump algorithms in Beijing[J]. J Appl Meteor Sci, 32(2): 217-232 (in Chinese).
|
王辉, 李林, 郑国锋, 等, 2019. X波段天气雷达电磁辐射对环境影响的评估[J]. 气象, 45(5): 723-729. Wang H, Li L, Zheng G F, et al, 2019. Assessment of impacts of X-band weather radar electromagnetic radiation on environment[J]. Meteor Mon, 45(5): 723-729 (in Chinese). DOI:10.7519/j.issn.1000-0526.2019.05.014
|
汪学渊, 阮征, 李效东, 等, 2016. 雨滴谱仪与风廓线雷达反射率对比试验[J]. 气象, 42(1): 107-114. Wang X Y, Ruan Z, Li X D, et al, 2016. Comparison of the reflectivities of wind profile radar and raindrop disdrometer[J]. Meteor Mon, 42(1): 107-114 (in Chinese). DOI:10.7519/j.issn.1000-0526.2016.01.013
|
魏东, 孙继松, 雷蕾, 等, 2011. 用微波辐射计和风廓线资料构建探空资料的定量应用可靠性分析[J]. 气候与环境研究, 16(6): 697-706. Wei D, Sun J S, Lei L, et al, 2011. Reliability analysis of quantitative applications of sounding constructed from data detected by microwave radiometer and wind profiler[J]. Climatic Environ Res, 16(6): 697-706 (in Chinese).
|
吴翀, 刘黎平, 仰美霖, 等, 2021. X波段双偏振雷达相态识别与拼图的关键技术[J]. 应用气象学报, 32(2): 200-216. Wu C, Liu L P, Yang M L, et al, 2021. Key technologies of hydrometeor classification and mosaic algorithm for X-band polarimetric radar[J]. J Appl Meteor Sci, 32(2): 200-216 (in Chinese).
|
姚静, 2012. 风廓线雷达资料在一次短时强降水中的应用[J]. 安徽农业科学, 40(29): 14407-14410. Yao J, 2012. Use of wind profiling radar data in heavy precipitation forecast of Xi'an[J]. J Anhui Agric Sci, 40(29): 14407-14410 (in Chinese).
|
叶飞, 梁海河, 文浩, 等, 2020. 新一代天气雷达均一性评估[J]. 气象科技, 48(3): 322-330. Ye F, Liang H H, Wen H, et al, 2020. Evaluation of homogeneity of new generation weather radar[J]. Meteor Sci Technol, 48(3): 322-330 (in Chinese).
|
俞小鼎, 2012. 2012年7月21日北京特大暴雨成因分析[J]. 气象, 38(11): 1313-1329. Yu X D, 2012. Investigation of Beijing extreme flooding event on 21 July 2012[J]. Meteor Mon, 38(11): 1313-1329 (in Chinese). DOI:10.7519/j.issn.1000-0526.2012.11.001
|
曾瑾瑜, 夏丽花, 陈文键, 2014. 福建省风廓线雷达资料在一次强对流天气过程中的应用[J]. 气象与环境科学, 37(3): 40-48. Zeng J Y, Xia L H, Chen W J, 2014. Wind profiler radar data application of a strong convective weather process in Fujian[J]. Meteor Environ Sci, 37(3): 40-48 (in Chinese).
|
翟亮, 王令, 刘文军, 2012. 两次降雪天气过程预报中边界层风廓线雷达资料的应用[J]. 气象科技, 40(5): 783-788. Zhai L, Wang L, Liu W J, 2012. Application of boundary layer wind-profiler radar data to forecasting of two snowy weather events[J]. Meteor Sci Technol, 40(5): 783-788 (in Chinese).
|
郑栋, 张义军, 孟青, 等, 2010. 北京地区雷暴过程闪电与地面降水的相关关系[J]. 应用气象学报, 21(3): 287-297. Zheng D, Zhang Y J, Meng Q, et al, 2010. Relationship between lightning activities and surface precipitation in thunderstorm weather in Beijing[J]. J Appl Meteor Sci, 21(3): 287-297 (in Chinese).
|
郑石, 黄兴友, 李艳芳, 2011. 一次短时暴雨WP-3000边界层风廓线雷达回波分析[J]. 气象与环境学报, 27(3): 6-11. Zheng S, Huang X Y, Li Y F, 2011. Analysis of echo characteristics of WP-3000 boundary wind profile radar from a short period heavy rain[J]. J Meteor Environ, 27(3): 6-11 (in Chinese).
|
郑永光, 陶祖钰, 俞小鼎, 2017. 强对流天气预报的一些基本问题[J]. 气象, 43(6): 641-652. Zheng Y G, Tao Z Y, Yu X D, 2017. Some essential issues of severe convective weather forecasting[J]. Meteor Mon, 43(6): 641-652 (in Chinese). DOI:10.7519/j.issn.1000-0526.2017.06.001
|
郑永光, 周康辉, 盛杰, 等, 2015. 强对流天气监测预报预警技术进展[J]. 应用气象学报, 26(6): 641-657. Zheng Y G, Zhou K H, Sheng J, et al, 2015. Advances in techniques of monitoring, forecasting and warning of severe convective weather[J]. J Appl Meteor Sci, 26(6): 641-657 (in Chinese).
|
邹德龙, 梁晓京, 岑易峰, 等, 2019. 基于风廓线雷达资料的一次强降水天气过程分析[J]. 气象应用与研究, 40(3): 26-30. Zou D L, Liang X J, Cen Y F, et al, 2019. Analysis of a heavy rainfall weather process based on wind profiler radar data[J]. J Meteor Res Appl, 40(3): 26-30 (in Chinese).
|
Browning K A, Blyth A M, Clark P A, et al, 2007. The convective storm initiation project[J]. Bull Amer Meteor Soc, 88(12): 1939-1956. DOI:10.1175/BAMS-88-12-1939
|
Chan P W, 2009. Performance and application of a multi-wavelength, ground-based microwave radiometer in intense convective weather[J]. Meteor Z, 18(3): 253-265. DOI:10.1127/0941-2948/2009/0375
|
Dixon M, Wiener G, 1993. TITAN: thunderstorm identification, tracking, analysis, and nowcasting-a radar-based methodology[J]. J Atmos Ocean Technol, 10(6): 785-797. DOI:10.1175/1520-0426(1993)010<0785:TTITAA>2.0.CO;2
|
Gatlin P N, 2008. Severe weather precursors in the lightning activity of Tennessee Valley thunderstorms[D]. Tuscaloosa: University of Alabama.
|
Lin X M, Chen H, Zhang N, et al, 2023. Tracking the convection potential based on a foundation remote sensing air sounding profile system[J]. Atmosphere, 14(7): 1117. DOI:10.3390/atmos14071117
|
Schultz C J, Carey L D, Schultz E V, et al, 2017. Kinematic and microphysical significance of lightning jumps versus non-jump increases in total flash rate[J]. Wea Forecasting, 32(1): 275-288. DOI:10.1175/WAF-D-15-0175.1
|
Seliga T A, Bringi V N, 1976. Potential use of radar differential reflectivity measurements at orthogonal polarizations for measuring precipitation[J]. J Appl MeteorClimatol, 15(1): 69-76. DOI:10.1175/1520-0450(1976)015<0069:PUORDR>2.0.CO;2
|
Tian Y, Qie X S, Sun Y, et al, 2019. Total lightning signatures of thunderstorms and lightning jumps in hailfall nowcasting in the Beijing Area[J]. Atmos Res, 230: 104646. DOI:10.1016/j.atmosres.2019.104646
|
Wakimoto R M, Murphey H V, 2010. Analysis of convergence boundaries observed during IHOP_2002[J]. Mon Wea Rev, 138(7): 2737-2760. DOI:10.1175/2010MWR3266.1
|
Wang Q W, Xue M, 2012. Convective initiation on 19 June 2002 during IHOP: high-resolution simulations and analysis of the meso-scale structures and convection initiation[J]. J Geophys Res Atmos, 117(D12): D12107.
|
Weckwerth T M, Murphey H V, Flamant C, et al, 2008. An observational study of convection initiation on 12 June 2002 during IHOP_2002[J]. Mon Wea Rev, 136(7): 2283-2304. DOI:10.1175/2007MWR2128.1
|
Weckwerth T M, Parsons D B, 2006. A review of convection initiation and motivation for IHOP_2002[J]. Mon Wea Rev, 134(1): 5-22. DOI:10.1175/MWR3067.1
|
Weckwerth T M, Parsons D B, Koch S E, et al, 2004. An overview of the international H2O project (IHOP_2002) and some preliminary highlights[J]. Bull Am Meteor Soc, 85(2): 253-278. DOI:10.1175/BAMS-85-2-253
|
Wilson J W, Roberts R D, 2006. Summary of convective storm initiation and evolution during IHOP: observational and modeling perspective[J]. Mon Wea Rev, 134(1): 23-47. DOI:10.1175/MWR3069.1
|
Xue M, Martin W J, 2006a. A high-resolution modeling study of the 24 May 2002 dryline case during IHOP.Part Ⅰ: numerical simulation and general evolution of the dryline and convection[J]. Mon Wea Rev, 134(1): 149-171. DOI:10.1175/MWR3071.1
|
Xue M, Martin W J, 2006b. A high-resolution modeling study of the 24 May 2002 dryline case during IHOP.Part Ⅱ: horizontal convective rolls and convective initiation[J]. Mon Wea Rev, 134(1): 172-191. DOI:10.1175/MWR3072.1
|
2025, Vol. 51 
