2. 灾害天气科学与技术全国重点实验室,北京 100081;
3. 中国人民解放军95825部队气象台,湖北孝感 432000
2. State Key Laboratory of Severe Weather Science and Technology, Beijing 100081;
3. Meteorological Observatory of Unit 95825 of the People's Liberation Army, Hubei Xiaogan 432000
“百米级、分钟级”天气预报是指空间分辨率达到百米尺度、时间更新频次或预报间隔达到分钟尺度的格点天气预报,提出这一客观预报概念主要是源于2022年北京冬奥会气象服务保障需求。因此,研发“百米级、分钟级”天气预报技术的初衷也是为了支撑北京冬奥会复杂山地环境下的精细化天气预报服务,主要包括多源数据快速融合降尺度预报技术、大涡模拟降尺度预报技术两大类(Chen et al, 2018;2025;陈明轩等,2024;宋林烨等,2025b; 金荣花等,2025)。
多源数据快速融合降尺度预报技术相当于数值预报的后处理技术,通过千米尺度数值预报的时空降尺度和多源数据的实时快速融合,将传统的“千米级、小时级”数值预报降尺度到“百米级、分钟级”预报。此项技术的优势是可以实现多源数据的有效应用和千米尺度数值预报的有效降尺度,在确保格点预报时空分辨率显著提高的同时预报准确率也得到明显改善,而且计算范围大、占用计算资源少,业务适用性强,应用场景广阔。国际上已有的研究和应用已经表明,多源观测与数值模式的集成及降尺度预报技术,可以明显提升天气预报的时空精度(Atencia et al, 2010; Haiden et al, 2011; Hwang et al, 2015; Kiktev et al, 2017; Kotsuki et al, 2019)。为满足北京冬奥会天气预报需求,在北京“睿图”模式体系下研发了“百米级、分钟级”多源数据快速融合预报系统——睿图-睿思(Rapid-Refresh Integrated Seamless Ensemble,RISE;以下简称睿思系统),其实现了覆盖整个京津冀及周边地区46万km2、500 m分辨率、10 min更新的0~24 h格点预报,以及覆盖京津冀西北部山区1万km2和整个北京地区及周边3.6万km2、100 m分辨率、10 min更新的0~24 h格点预报,成为国际上“百米级、分钟级”天气预报技术的典型代表(Chen et al, 2025; 宋林烨等,2025b)。
大涡模拟降尺度预报技术是在千米尺度数值预报作为背景场的基础上,通过数值模式大涡模拟设置进行降尺度预报,重点是实现大气边界层过程的“显式”描述并尽可能规避模式“灰区”等的负面影响,使得数值预报时空分辨率和预报准确率得到有效提升,实现数值模式预报从“千米级”到“百米级”的跨越(Liu et al, 2011; Haupt et al, 2019; 刘郁珏等,2023)。大涡模拟能够有效解析山区等复杂环境下的边界层大气小尺度湍流和热动力特征,具有良好的应用前景(Moeng et al, 2007; Hald et al, 2019; Liu et al, 2020; Pinto et al, 2021)。但大涡模拟占用的计算资源较大,目前有效的模拟范围也较小(一般在10 km×10 km范围左右)。为满足北京冬奥会天气预报需求,在北京“睿图”模式体系下发展了“百米级”大涡模拟降尺度预报系统,实现了覆盖冬奥会6个赛场各100 km2范围、67 m分辨率的0~240 h格点预报,成为国际上长时效实时大涡模拟成功应用的典型案例(Chen et al, 2025; 宋林烨等,2025b)。目前,我们正基于大涡模拟降尺度预报技术,发展一套龙卷可分辨尺度的短时临近集合数值预报系统。该系统集成了集合四维变分同化、涡旋追踪和嵌套大涡模拟降尺度技术,重点通过龙卷涡旋特征追踪和次百米级大涡模拟,以实现龙卷结构和关键特征的“显式”数值预报(即直接解析龙卷涡旋而非依赖参数化方法)。该系统的技术细节与验证结果将在另外的论文中详细阐述。
本文仅以睿思系统为例,介绍基于多源数据快速融合的“百米级、分钟级”天气预报技术的发展现状及挑战,重点介绍在“后冬奥”时代,通过关键技术改进和人工智能(AI)等新方法的应用,如何在冬奥会“百米级、分钟级”天气预报技术框架内实现强对流天气的精细化短时临近预报。而关于睿思系统的基本架构及主要模块本文仅作简要介绍,其详细信息及其在冬奥会期间的应用情况,可参见陈明轩等(2024)、Chen et al(2025)、宋林烨等(2025b)等相关文献。全文所用时间为北京时。
1 技术集成和系统架构由“百米级、分钟级”融合预报技术集成发展的睿思系统,其软件架构及实时运行流程如图 1所示,主要包括输入层、代码层、输出层和应用层。输入层是整个系统的多源数据基础,包括自动气象观测站(AWS)和天气雷达观测、数值模式预报和临近预报数据。静态数据包括地形高度、地表类型和站表信息,其中地形高度采用美国航天飞机雷达地形测量任务获取的30 m分辨率地形高程数据(SRTM 30 m; Farr et al, 2007)。系统在8 min截断的墙钟时间内,可实时接收京津冀地区超过3000个AWS观测,其中北京市近年来新建AWS快速增加,从冬奥会期间近500个站到目前可接收近800个站。自2024年底开始,睿思系统将原来基于固定Z-R关系算法的京津冀雷达组网定量降水估测(quantitative precipitation estimation, QPE)产品(陈明轩等,2010)输入,升级为包含了京津冀9部S波段、1部C波段雷达和北京地区11部X波段雷达组网的双偏振参量瓦片分区QPE产品,该产品具有更高的精度(马建立等,2019;李佳慧等,2025)。采用睿思系统高时空分辨率降水融合分析方案(宋林烨等,2025b),对AWS降水观测与睿思融合分析场的对比结果表明,使用升级后的雷达QPE产品,使得二者在降水强度量级和空间分布格局上呈现更好的一致性(图 2),尤其在北京以外西北部(京津冀西北部)AWS稀疏分布区域(图 2a),睿思基于固定Z-R关系QPE的融合分析场存在明显的系统性降水高估现象(图 2b紫色虚线框),而双偏振参量瓦片分区QPE的融合分析场则抑制了虚假降水信号的持续残留(图 2c紫色虚线框);并且改进后的融合分析场(图 2c)有效抑制了北京西部区域的降水高估偏差(紫色实线框标示区域),其降水量级与AWS观测相吻合,提升了睿思系统降水融合分析的准确性。输入的数值预报背景场采用的是CMA-BJ模式(睿图-短期数值预报系统)3 km分辨率数据(何静等,2019;陈敏等,2023;王在文等,2023),另外CMA-MESO中尺度模式或ECMWF全球模式预报数据也可作为背景场输入(宋林烨等,2025a)。临近预报数据由睿图临近数值预报系统提供,该系统在一个云尺度模式框架下通过多普勒雷达和地面自动站资料快速更新四维变分同化,生成逐10 min更新的三维大气分析和0~2 h临近预报数据(Sun and Crook, 1997;陈明轩等,2011; 2016a;2016b;刘莲等,2016;刘瑞婷等,2021)。另外,在睿思系统中,通过数值预报背景场降尺度和地形高差订正,以及地面AWS观测和上述临近预报等数据的距离权重融合,可以实现温度、湿度、风场的高分辨率三维分析(宋林烨等,2025a; 2025b;Chen et al, 2025)。
|
图 1 睿思系统软件架构及实时运行流程示意图(调整自Chen et al,2025) Fig. 1 Schematic diagram of the software architecture and real-time run of RISE system (adapted from Chen et al, 2025) |
|
图 2 2024年7月24日19:00的1 h累计降水量 注:紫色虚线框所示为系统性降水高估区域,紫色实线框所示为北京西部降水高估区域。 (a)自动站观测降水量,(b)以固定Z-R关系QPE为背景场的睿思系统融合分析场,(c)以双偏振参量瓦片分区QPE为背景场的睿思系统融合分析场 Fig. 2 1 h accumulated precipitation at 19:00 BT 24 July 2024 (a) observed precipitation from AWSs, (b) RISE system fusion analysis using the fixed Z-R relationship-based QPE as the background field, and (c) RISE system fusion analysis using tile-based partitioning QPE as the background field |
代码层包含数据预处理、融合计算(核心代码层)、后处理。稠密地面AWS观测网及其质量对高分辨率格点融合分析和预报有重要影响(Song et al, 2023),因此在睿思系统设计中,考虑了对实时获取的AWS观测进行到报统计,以监控地面观测数据的及时性和稳定性。后处理除了用于检验、绘图外,还可用于集成近期发展的一系列AI后处理预报订正模型(Song et al, 2020;杨璐等,2021;张延彪等,2022;曹伟华等,2022;徐景峰等,2023;Xie et al, 2025)。核心代码层采用模块化设计,目前由阵风、平均风、温湿、降水和降水相态等模块组成(图 1),各模块采用不同的融合策略及预报订正算法(程丛兰等,2013;2019;Song et al, 2019;2023;吴剑坤等,2019;宋林烨等,2019;杨璐等,2019;2022;2023;陈康凯等,2020;Yang et al, 2021;2024;徐景峰等,2025)。针对冬奥精细化天气预报及睿思系统的详细技术路线可参考Chen et al(2025)和宋林烨等(2025b),此处不再赘述。
通过“分钟级”快速更新无缝隙融合计算,最终在输出层生成NetCDF格式的各气象要素0~24 h格点分析和预报数据产品。此外,输出层还可以通过二次处理生成定制数据和图片产品,满足不同用户需求。睿思系统每10 min启动一次,产品最晚滞后墙钟时间19 min(图 1)。北京冬奥会期间,应用层主要通过冬奥业务平台和手机APP提供给预报员、决策部门等使用,另外还将数据产品实时推送到SMART2022-FDP平台进行第三方检验(陈明轩等,2024)。“后冬奥”时代,应用层除了日常气象业务和国家重大活动服务保障外,还进一步扩展到民航、水文、电力等交叉行业。
在北京冬奥会结束之前,实时运行的睿思系统包括两套:覆盖京津冀地区的睿思500 m分辨率系统和覆盖冬奥山地赛区的睿思100 m分辨率系统;“后冬奥”时代,进一步通过系统算法升级和增加并行计算功能等,形成了新的覆盖北京地区的睿思100 m分辨率系统,并于2023年汛期实时业务上线,参数配置详见表 1。近几年,睿思系统先后在杭州亚运会、哈尔滨亚冬会等国家重大活动气象保障及多个地区的气象、电力等行业中推广应用。为了克服计算环境差异带来的问题,已经实现了睿思系统的容器镜像安装方式,这也是目前国际上天气预报业务系统布署的一大趋势,有助于系统的快速部署和便捷运维(Cheng et al, 2022; Knepper et al, 2023; Martin et al, 2024)。
|
|
表 1 实时运行的两套睿思系统参数配置 Table 1 Parameter configuration of the two real-time running RISE systems |
此外需指出,睿思系统的“百米级、分钟级”融合预报技术路线不仅适用于冬季,也适用于各个季节的精细化天气预报以及新能源气象服务,但仍需开展进一步的研究和改进。下文将重点介绍在“后冬奥”时代,如何通过发展、集成关键技术以及应用AI等新方法,实现在“百米级、分钟级”技术框架内的强对流天气精细化短时临近预报等功能。
2 新技术发展和集成 2.1 格点降水融合分析偏差订正技术雷达定量降水估测(QPE)是睿思系统降水融合预报的重要数据源之一。然而,由于雷达探测本身特性及地物杂波、虚假回波、QPE计算等多种因素影响,虽然在生成QPE之前已经开展了一系列雷达数据质量控制处理和算法优化,但数据依然会存在一定误差(Schröter et al, 2011; Zhang et al, 2020; Ryzhkov et al, 2022)。因此,在将雷达QPE与其他数据源进行融合之前,需对其进行二次误差订正,其中一种常见的做法是Q-matching方法(Song et al, 2021)。该方法是通过比较雷达QPE和地面AWS观测降水的概率分布函数,将一种数据源视为正确的,从而对另一种数据源进行校正(Rabiei and Haberlandt, 2015)。主要包括以下两个步骤:首先,对AWS观测的1 h降水量及其对应的QPE数据进行概率分布拟合,以建立两者的统计关系。其次,利用AWS数据的累积分布函数(CDF)的逆函数,从AWS数据的CDF中估计QPE数据(即需要校正的数据源)的分位数。在假设AWS能够提供准确降水信息的前提下,由AWS数据确定的降水分布与从QPE数据获得的降水分布应当是基本一致的。基于此假设,Q-matching方法的QPE数据校正方法可以表示为:
| $ Q_2^*(i, j, t)=F_{\mathrm{AWS}, t}^{-1}\left\{F_{\mathrm{rad}, t}[Q(i, j, t)]\right\} $ | (1) |
式中:Q2*(i, j, t)是原始Q(i, j, t)在网格单元(i, j)和时间t处的校正值,Frad, t是时间t的雷达数据Q(i, j, t)估计的CDF,而FAWS, t-1是时间t的AWS降水逆CDF,它将通过Frad, t估计的分位数转换回校正后的QPE值Q2*(i, j, t)。FAWS, t、Frad, t和FAWS, t-1的估计值分别为
Song et al(2021)的研究表明,Q-matching方法能显著提升中国南方地区雷达QPE的准确性,使其与AWS降水观测更加吻合(图 3),在雷达QPE融合应用中极具潜力。也可以看出,该方法可显著降低雷达QPE误差,并优于气候学尺度误差约束的定量气候校准方法(Scaling方法;宋林烨等,2019)。采用Q-matching方法校正后,QPE均方根误差更小,相关系数更高,更接近AWS观测降雨值(图 3)。
|
图 3 2020年8月20日15:00(a)AWS观测和(b~d)不同订正方法的1 h累计降水量(调整自Song et al,2021) Fig. 3 Comparison of a precipitation case from (a) AWS observations and (b-d) 1 h accumulated precipitation using different corrected methods at 15:00 BT 20 August 2020 (adapted from Song et al, 2021) |
在京津冀区域雷达QPE中,采用Q-matching方法同样具有很好的订正效果。如图 4给出的2021年夏季个例,该方法对雷达QPE的高估具有显著抑制作用(图 4a~4c),在采用Q-matching方法订正之前,雷达QPE具有明显正偏差,而订正后的QPE系统性偏差接近于零,与观测基本一致(图 4e,4f)。
|
图 4 Q-matching方法在京津冀地区雷达QPE中的试验表现 (a)订正前的QPE分布,(b)Q-matching方法订正后的QPE分布,(c)AWS观测降水量分布,(d)降水频率分布,(e)订正前后QPE与AWS观测偏差,(f)订正前后QPE与AWS观测散点图 Fig. 4 Performance of Q-matching correction in radar QPE over the Beijing-Tianjin-Hebei Region (a) QPE distribution before Q-matching correction, (b) QPE distribution after Q-matching correction, (c) precipitation distribution from AWS, (d) precipitation frequency distribution, (e) Bias and (f) ratio comparison of AWS with no-corrected QPE and post-corrected QPE |
目前,基于机器学习的温度、湿度、风气象要素的预报方法不断涌现(Rasp and Lerch, 2018; 张延彪等,2022;韩念霏等,2022;徐景峰等,2023;Yang X et al, 2023;Liu et al, 2024;2025;Zhang et al, 2024)。但是对于降水预报,由于小时到分钟时间尺度的降水空间分布极不均匀,并且时间连续性低,样本量晴天多于雨天,小雨多于暴雨,因此基于机器学习的“百米级、分钟级”降水短时临近预报难度较大,前人研究大多集中在日、月、季时间尺度和千米级以上空间尺度(Wang et al, 2021; Jin et al, 2022; 谢舜等,2022;邓居昌等,2022;Yu et al, 2023)。我们在睿思系统“百米级、分钟级”框架下开展了降水机器学习短时临近预报技术研发和测试应用。
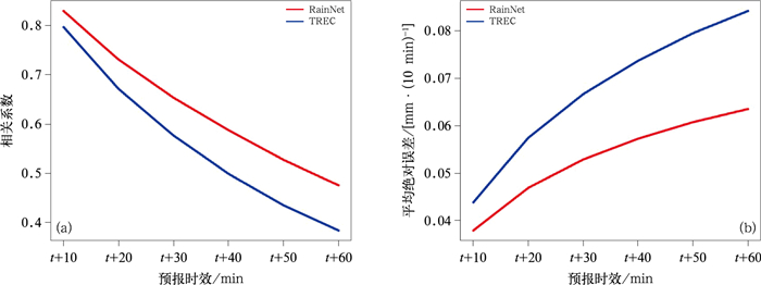
在高时空分辨率格点降水预报方面,Song et al(2020)采用1 km分辨率逐小时格点降水、对流潜势和雷达探测等数据,构建了基于机器学习算法的降水临近预报模型,提升了降水临近外推预报效果,也优于统计平流订正预报模型,改善了局地强降水的漏报。曹伟华等(2022)采用睿思系统逐10 min降水分析场,应用深度学习网络模型RainNet(图 5)开展了京津冀高时空分辨率降水滚动式临近预报研究。从2020年6—9月的1 h降水临近预报结果与基于传统交叉相关算法(TREC)的外推预报结果相比可见,RainNet对降水的临近预报性能整体明显优于TREC(图 6)。
|
图 5 深度学习网络模型RainNet结构图(曹伟华等,2022) 注:左侧和右侧实心黑框分别为输入层和输出层,空心黑框为卷积输出层。 Fig. 5 Illustration of the RainNet deep learning architecture (cited from Cao et al, 2022) |
|
图 6 2020年6—9月1 h累计降水量 (a)相关系数和(b)平均绝对误差随预报时效的变化 Fig. 6 Variations of (a) correlation coefficient and (b) mean absolute errors with forecast lead time for 1 h accumulated precipitation from June to September 2020 |
降水的4~6 h短时预报一直是业务难点。测试发现,直接应用XGBoost等机器学习算法无法得到较理想的预报性能,但通过不同降水量等级归类和分段式的机器学习订正思路,可以有效提升站点降水的4~6 h预报准确率。采用睿思系统高分辨率降水数据及地面风速、温度、露点温度、相对湿度等,Xie et al(2025)通过将降水样本分成无雨、小雨、中雨、大雨、暴雨等级别,并通过先分类—再回归的两段式方法,以多个分类预报子模型和回归预报子模型构建了SCR-XGBoost机器学习模型。结果表明,SCR-XGBoost模型不仅可以提高睿思系统外推和数值模式融合的4~6 h站点降水预报准确率,而且也优于常见的频率匹配订正法及最优TS评分订正法的结果(表 2)。
|
|
表 2 2023年7—9月独立验证数据集的4~6 h降水预报平均TS评分 Table 2 The average TS scores of 4-6 h precipitation forecast from the independent validation dataset from July to September 2023 |
雷暴大风是主要的致灾强对流天气类型之一,而且形成机理复杂、预报难度极大(崔新艳等,2025)。针对京津冀地区雷暴大风精细化预报需求,Yang et al(2024)首先基于京津冀长时间序列AWS观测和睿思系统高分辨率再分析资料,利用描述统计和推断统计方法对不同海拔高度、不同季节、不同风速和风向区间的阵风气候态分布特征和时空演变规律进行分析,获取阵风在各要素不同区间的集中趋势、离散程度和相关程度,并利用概率统计方法计算阵风、阵风系数与各要素之间的概率统计关系(Yang et al, 2024),建立了阵风系数与稳定风速、风向、地形高度各要素之间的关系模型。然后,将构建的京津冀多维度阵风系数模型与阵风观测数据(AWS极大风观测)的融合订正(杨璐等,2023)、格点偏差订正(杨璐等,2022)等模式后处理订正技术进行集成耦合,建立了基于多源数据动力-统计协同融合的阵风预报流程(图 7),在睿思系统中实现了阵风(雷暴大风)的“百米级、分钟级”客观预报。
|
图 7 基于多源数据融合的动力-统计协同阵风预报框架 Fig. 7 Dynamical-statistical collaborative gust forecasting framework based on multi-source-data fusion |
如前所述,基于机器学习和深度学习的短时临近预报方法不断涌现(Rasp and Lerch, 2018; 张延彪等,2022;韩念霏等,2022;徐景峰等,2023;Yang X et al, 2023;Zhang et al, 2024;代刊等,2025)。但是,基于深度学习的“百米级、分钟级”雷暴大风短时临近预报研究并不多见。为更精准捕捉雷暴大风的小尺度突发特性,Liu et al(2024)综合运用京津冀地区2021—2023年4—9月的多源多尺度数据(包括雷达、闪电、地面AWS风场、睿思分析和预报场、数值模式热动力场等),构建了“百米级”雷暴大风深度学习短时临近预报模型TG-TransUnet。首先,通过对气象要素场进行时空图像序列重构,并引入Dice Loss和Focal Loss两种适用于二分类问题的损失函数;在上采样部分,采用亚像素卷积与“协调注意”模块组合,以增强深度神经网络的感知能力和特征表示能力;然后,提出多尺度特征深度学习融合模块,将雷暴大风的预报问题转化为深度学习中的“图像到图像”转换问题,形成了雷暴大风短时临近预报模型TG-TransUnet,其技术框架如图 8所示。该模型能够提供京津冀区域雷暴大风的0~12 h格点分类预报(有无落区预报),更新频率为每小时1次,空间分辨率为500 m。针对深度学习模型可解释性较差的问题,Liu et al(2025)基于积分梯度法(Integrated Gradient)、DeepLIFT(Deep Learning Importance FeaTures)、SHAP(Shapley Additive exPlanations)三种不同的解释学习方法,对TG-TransUnet模型进行物理可解释性分析,以更全面掌握每个输入特征(指标)在不同预报时效对雷暴大风模型性能的贡献,逐步移除冗余或无关的特征并简化模型,降低计算复杂性,防止过拟合,为雷暴大风预报模型TG-TransUnet的优化和改进提供了强有力支持。目前,TG-TransUnet模型已经被集成进睿思系统,实现了实时应用。
|
图 8 雷暴大风短时临近预报模型技术框架 Fig. 8 Technical framework of thunderstorm gale nowcasting model in the RISE system |
对流初生(convective initiation, CI)的机理极其复杂,因此CI预报也是天气预报的国际难题之一(崔新艳等,2021)。研究表明,使用卫星资料开展CI临近预报具有明显优势(Roberts and Rutledge, 2003; Siewert et al, 2010)。我们借鉴Walker and Mecikalski(2011)和Walker et al(2012)针对美国GOES-R卫星开发的多光谱通道CI临近预报方法,通过对FY-4数据进行积云识别、追踪以及CI诊断,在睿思系统中实现了基于静止卫星资料的京津冀地区CI临近预报(图 9)。具体技术路线如下:(1)积云识别。CI临近预报关注的是未来可能发展为积雨云或雷暴的非成熟积云,可以通过积云掩膜算法来获得(Mecikalski and Bedka, 2006; Walker et al, 2012)。业务上,为节省时间,可直接使用云类型产品(Min et al, 2017)作为CI临近预报算法的辅助资料使用。(2)积云追踪。在得到非成熟积云后,通过TREC等算法开展积云追踪,从而可以得到亮温和通道亮温差随时间的变化率。(3)CI临近预报诊断。完成积云追踪之后,对研究区域的每一个像素计算其CI临近预报的全部指标,当一定比例的指标满足阈值时,就将这个像素标记为CI。
|
图 9 基于卫星观测的CI临近预报框架图 Fig. 9 Framework diagram of CI nowcasting based on satellite observations |
由于不同对流环境中CI相关的积云发展具有明显地域特征差异,因此针对京津冀地区,需要构建适应本地的CI临近预报指标并确定其阈值。目前比较成熟的方法有主成分分析法(Mecikalski et al, 2010)和箱线图统计分析法(Zhuge and Zou, 2018)。这里采取箱线图统计分析方法,选取2018—2019年京津冀地区暖季89个CI过程,就16个候选CI临近预报指标开展统计分析,最终得到有表征意义的12条CI判据(表 3)。这里,CI真值是基于京津冀雷达三维拼图数据,通过雷暴识别、追踪、分析和临近预报算法(TITAN)(Dixon and Wiener, 1993; 李五生等,2014;Wang et al, 2014)来获取CI的实际位置和出现时间(图 9)。
|
|
表 3 京津冀地区CI临近预报指标及其阈值 Table 3 Nowcasting indicators and thresholds for CI in the Beijing-Tianjin-Hebei Region |
选取2022年汛期(6月1日至9月15日)北京地区CI预报结果进行客观检验评估,主要采用命中率(POD)、空报率(FAR)、临界成功指数(CSI,即TS评分)、提前时间(LT)等检验指标来评估(表 4)。2022年汛期共有63 d对流日,预报命中60次(POD为0.952),空报20次(FAR为0.25),漏报3次,CSI为0.723,最短LT为8 min,最长LT为85 min,平均LT为48 min。从不同月份来看,8月和9月的POD最高(100%),但FAR也最高(0.333);CSI则为6月最高(0.833),说明该方法对2022年6月的CI预报效果最好。
|
|
表 4 2022年北京汛期CI预报评估结果 Table 4 Evaluation of CI forecasts during the 2022 flood season in Beijing |
数值预报背景场是决定睿思系统实况分析和预报性能的重要因子之一,通过应用多源数值预报背景场融合技术,是改进睿思系统预报误差的一个有效途径。Kann et al(2015)分别以4.8 km和2.5 km分辨率的中尺度数值预报背景场进行观测资料融合对比研究,结果表明1 km分辨率温度和风场格点融合分析性能依赖于背景场。利用多家数值模式和国家气象中心逐3 h网格降水预报指导产品,潘留杰等(2021)提出了多模式和网格降水预报融合的降水预报释用方法。宋林烨等(2025a)针对复杂山地百米级温度与风场融合预报,对比分析了ECMWF-IFS全球模式和CMA-BJ区域模式作为睿思背景场的性能差异。结果表明,对于睿思系统100 m分辨率温度分析和预报,以ECMWF-IFS模式为背景场的结果整体优于以CMA-BJ模式为背景场的结果,但以CMA-BJ模式为背景场的睿思100 m分辨率风场产品在精细结构刻画和局地极端大风预报方面表现更优。此外,我国自主研发的CMA-MESO模式(薛纪善和陈德辉,2008;沈学顺等,2020; 2025)目前也已经可以作为睿思系统的数值预报背景场,并开展了雷暴大风的融合预报试验,将另文表述。
为改善睿思系统单一数值模式背景场的局限性,并引入预报不确定性,综合考虑CMA-BJ、CMA-MESO和ECMWF-IFS三个模式的预报性能,进一步研发了睿思系统的多模式背景场融合方法。该方法分为两个主要步骤:首先,对各个不同来源、不同时空分辨率的数值预报原始数据进行复杂地形降尺度预处理,插值到睿思系统空间网格上(陈康凯等,2020;宋林烨等,2025a),获取睿思系统背景场所需的每个模式全部变量;然后,将多模式背景场数据通过线性非等权重函数进行融合,形成一组新的多模式融合背景场。睿思系统t时刻起报的第h小时多模式融合背景场输入变量值NWPvrise的融合算法如下:
| $ \begin{array}{c} \operatorname{NWPv}_{\text {rise }}(t+h)=\sum\limits_{i=1}^n\left[f_i \cdot \operatorname{NWPv}_i\left(t_i+h_i\right)\right] \\ i=1, \cdots, n \end{array} $ | (2) |
式中:NWPvi(ti+hi)表示第i个模式ti时刻起报的第hi小时预报变量值,且对任意一个模式都需满足ti < t和t+h=ti+hi,fi表示第i个模式的权重系数,且满足
通过开展以CMA-BJ模式为背景场的睿思实时业务系统与以多模式融合为背景场的睿思系统的实时并行对比试验,可以分析多源数值预报集成方法对“百米级、分钟级”产品预报误差的可能影响。结果表明,当CMA-BJ、ECMWF-IFS和CMA-MESO权重系数分别设置为0.4、0.4和0.2时,睿思系统地面常规要素0~24 h预报均方根误差均比采用单一CMA-BJ模式的实时业务产品有所降低,其中2 m温度、相对湿度、10 m平均风和阵风的误差平均分别降低了11.3%、16.1%、2.4%和2.7%(图 10)。温度和相对湿度7~24 h均方根误差减小幅度大于0~6 h;而风场的提升幅度较小,且前6 h的误差减小幅度相对最大。需要指出,当继续增大ECMWF-IFS全球模式背景场的权重系数,较大范围的京津冀区域平均风和阵风0~24 h预报均方根误差平均可降低约7%,但较粗分辨率的全球模式会导致局地小尺度极端大风的精细化预报能力受限。总之,基于多源模式融合背景场的睿思系统通过集成不同模式的优势,既可以保持“百米级、分钟级”预报产品的精细化程度,又可以进一步有效降低24 h内的融合预报误差。
|
图 10 睿思系统采用多源模式融合背景场及单一模式(CMA-BJ)背景场的(a)温度,(b)相对湿度,(c)10 m平均风,(d)阵风预报检验 注:实时并行测试时段为2023年7月16日至10月6日,右纵坐标对应的灰色柱状为多源模式相对于单一模式实时产品的误差减小率,虚线表示0~24 h平均的误差减小率。 Fig. 10 Comparative tests of (a) temperature, (b) relative humidity, (c) average wind at 10 m, and (d) gust from the RISE system based on multi-source and single (real-time service, CMA-BJ) model backgrounds from 16 July to 6 October 2023 |
睿思系统在2022年北京冬奥会气象服务保障中发挥了重要作用,实时应用检验评估结果可参考陈明轩等(2024)、宋林烨等(2025b)和Chen et al(2025)。在后冬奥时代,睿思系统通过前述核心技术改进和功能拓展,成功应用于2023年杭州亚运会、2025年哈尔滨亚冬会等国家重大活动保障,相关检验评估结果将在另文中给出。这里主要描述目前睿思系统针对京津冀汛期降水和雷暴大风业务预报的检验结果。
3.1 京津冀汛期降水预报检验开展2021—2024年京津冀地区汛期(6月1日至9月15日)睿思系统降水预报产品的整体检验。基于AWS降水强度分级,给出睿思系统在0~24 h预报时效内的逐小时累计降水预报检验结果(图 11)。整体而言,所有降水阈值和预报时效的TS评分均表现良好,Bias评分总体接近于1的最优值,且浮动基本控制在0.5~1.5的可容忍阈值范围内(陈明轩等,2024),但是25 mm·h-1强降水的3~6 h预报Bias评分偏小。不同阈值及预报时效的TS和Bias评分存在一定差异。在0~2 h临近预报时效内,睿思系统降水预报的Bias接近1,TS达0.4~0.6,表明预报与实况在强度及落区上高度吻合,睿思系统的降水融合预报在临近时效内表现较好。在3~6 h短时预报时效内,睿思系统降水预报由临近预报降水和数值模式预报降水的权重融合方案得出,TS评分随时效增长渐趋稳定,而不同降水强度预报的Bias评分表现出不同特征。微量降水(0.1 mm· h-1)的Bias评分有所空报,但Bias未超过1.5;小量级降水(1 mm·h-1)的Bias评分接近最优值,略有空报;大量级降水(5~10 mm·h-1)的Bias评分则在0.7~1.0,存在一定漏报情况;强降水(25 mm· h-1)因样本稀少,个别时次漏报较明显,Bias评分较小(大部分时次0.9左右,个别时次为0.3、0.4、0.7)。对于7~24 h预报时效,睿思系统降水预报主要依赖数值模式预报结果,检验评分较为稳定,但对于超过25 mm·h-1的强降水存在一定漏报,也反映了睿思所使用的数值模式对于降水7~24 h预报的误差问题。总体来看,睿思系统在0~24 h对降水结构与强度的预报具有良好的性能,类似的降水预报融合技术是解决高分辨率定量降水无缝隙业务预报的有效方案(程丛兰等,2013; 2019)。当然从Bias评分检验也可以看出,对于降水的2~6 h融合预报,睿思系统存在“小雨空报、大雨漏报”的问题,还需要对融合预报方案进行改进或借鉴新的融合预报技术(Hwang et al, 2015; Imhoff et al, 2023)。
|
图 11 2021—2024年汛期(6月1日至9月15日)京津冀地区睿思系统0~24 h预报时效的逐小时累计降水预报TS评分和Bias评分 注:粗黑横实线指示Bias最佳评分为1,粗黑横虚线指示Bias可容忍评分区间为[0.5, 1.5]。 Fig. 11 Hourly precipitation verification (TS score and Bias score) of the 0-24 h fused precipitation forecasts from the RISE system in the Beijing-Tianjin-Hebei Region during the flood season (1 June to 15 September) from 2021 to 2024 |
以京津冀2023年“23·7”特大暴雨过程为例(符娇兰等,2023),进一步分析睿思系统的高时空分辨率降水预报效果。2023年,受第5号台风“杜苏芮”减弱后的热带低压与副热带高压外围暖湿气流共同影响,河北、北京等地7月29日至8月1日出现暴雨到大暴雨,局地特大暴雨。京津冀共4154个AWS站,自7月29日08:00到8月1日20:00累计降水量≥50 mm的站有3332个,≥70 mm的站有2924个,≥100 mm的站有2513个;累计降水量最大值为1003.4 mm,出现在河北省邢台市临城县;最大小时降水强度为114.2 mm·h-1,于7月31日11:00出现在北京市门头沟区定都阁。需要指出的是,在类似于“23·7”这样的持续性区域大暴雨过程中,极端降水强度出现的时段、落区和强度是预报的难点也是致灾的关键因子(荆浩等,2024)。因此,这里分析此次大暴雨过程中最大小时降水强度出现时段(7月31日11:00)的睿思系统1 h累计降水格点预报效果。图 12a给出了7月31日11:00睿思系统的1 h(10:00—11:00)累计降水格点融合分析场,由地面AWS降水量观测和雷达组网QPE融合得到。图 12b~12d是睿思系统不同起报时刻(提前1、3、6、12和24 h预报)对应的1 h(10:00—11:00)累计降水格点预报结果。从提前1 h和提前3 h的临近预报结果来看,预报的1 h累计降水的整体雨带分布、小时降水强度和强降水落区均与实况较为吻合;从提前6 h的短时预报结果来看,预报的1 h累计降水的整体雨带走势与实况接近,但小时降水强度偏大,出现了多个40 mm·h-1以上的局地强降水中心;从提前12 h和提前24 h的预报结果来看,也呈现类似特征,预报的1 h累计降水的雨带走势与实况类似,但40 mm·h-1以上和70 mm·h-1以上降水阈值和落区范围的预报偏大。当然,6 h之后的降水预报,以数值模式降尺度预报和偏差订正为主,这也间接印证了睿思系统采用的CMA-BJ模式对这次极端强降水的总体预报效果,与已有的分析结论类似(张博等,2024;郭淳薇等,2025)。
|
图 12 睿思系统对京津冀2023年“23·7”特大暴雨过程1 h累计降水量(500 m分辨率)的预报性能对比(以7月31日10:00—11:00为例) 注:图b~f中圆点所示为天气雷达站点。 (a)观测融合分析场,(b~f)不同起报时刻和预报时效的格点降水预报场:(b)1 h预报(31日10:00起报),(c)3 h预报(31日08:00起报),(d)6 h预报(31日05:00起报),(e)12 h预报(30日23:00起报),(f)24 h预报(30日11:00起报) Fig. 12 Comparison of the forecast performance of the RISE system for 1 h accumulated precipitation (500 m resolution) during the July 2023 extreme rainfall event in the Beijing-Tianjin-Hebei Region (taking the precipitation during 10:00-11:00 BT 31 July as an example) (a) analysis of observed precipitation fusion, (b-f) gridded precipitation forecasts with different lead time: (b) 1 h forecast (initiated at 10:00 BT 31 July), (c) 3 h forecast (initiated at 08:00 BT 31 July), (d) 6 h forecast (initiated at 05:00 BT 31 July), (e) 12 h forecast (initiated at 23:00 BT 30 July), (f) 24 h forecast (initiated at 11:00 BT 30 July) |
在睿思系统夏季雷暴大风的业务预报检验方面,选取2024年京津冀地区基于多源数据动力-统计协同融合的逐小时阵风预报产品(睿思融合产品),以及基于TG-TransUnet模型的雷暴大风分类预报产品(TG-TransUnet产品),开展8级以上(风速≥17.2 m·s-1)典型雷暴大风过程(表 5)的检验评估。在客观检验中,所用的雷暴大风实况数据来源于站点资料,通过综合AWS观测极大风资料以及国家雷电探测系统闪电定位数据进行判断。具体判识标准为:当检验站点周围半径50 km范围内,小时累计闪电次数≥2次,且该时次小时极大阵风风速≥17.2 m·s-1时,将其作为实况检验对象。本次评估涉及京津冀地区1667个AWS站点,在客观检验评价指标方面采用TS和Bias评分。
|
|
表 5 2024年京津冀地区10个雷暴大风个例 Table 5 Ten thunderstorm gale cases in the Beijing-Tianjin-Hebei Region in 2024 |
基于2024年京津冀地区1667个AWS站观测资料对雷暴大风个例的检验评分可见(图 13),TG-TransUnet产品在1 h预报时效TS评分达0.14,但随着预报时效的延长,TS评分呈现下降趋势。相比之下,睿思融合产品在1 h预报时效的TS评分略低,为0.117,而在2~8 h的预报时效内,其TS评分稳定在0.075~0.085,9~12 h预报时效的TS评分则在0.042~0.052波动。在Bias评分方面,TG-TransUnet产品整体上高于睿思融合产品,特别是在9 h之后,TG-TransUnet产品的Bias评分显著上升,这表明其在雷暴大风预报中存在较多的空报现象。相反,睿思融合产品在1~12 h的预报时效内Bias评分都保持在1.5以下,尤其在1~5 h,Bias评分接近最优值1,这显示了睿思融合产品在雷暴大风预报中的空报情况较少。总体来说,基于TG-TransUnet模型的雷暴大风分类预报产品,在短时临近预报时效能较好地诊断雷暴大风;基于睿思系统多源数据融合的动力-统计协同阵风预报产品,预报性能更稳定;在12 h的短时预报时段内,二者对于雷暴大风的预报均具有参考价值。
|
图 13 2024年京津冀雷暴大风(风速≥17.2 m·s-1)个例客观检验评分 注:TG表示基于TG-TransUnet雷暴大风短时临近预报模型的雷暴大风分类预报产品,RISE表示基于多源数据融合的动力-统计协同阵风预报产品。 Fig. 13 Objective verification scores for thunderstorm gale (wind speed ≥ 17.2 m·s-1) cases in the Beijing-Tianjin-Hebei Region in 2024 |
此外,对于具体个例,选取京津冀地区2024年5月30日的极端雷暴大风过程进行检验分析。受冷锋东移南压影响,12:00—18:00华北北部等地出现线状强风暴系统,并自西向东快速发展移动,系统移速达70 km·h-1,北京、河北北部、天津等地出现大范围混合型雷暴大风天气。图 14a,14b给出了2024年5月30日这次雷暴大风过程中睿思系统的阵风格点分析场。此次天气过程的主要特点是系统移动速度快,从14:30雷暴大风开始影响北京城区到16:30过程消散,总时长2 h;影响范围大,从北京西部山区自西北向东南移动,影响北京大部分地区;风速强度大,北京地区252个AWS站极大风风速≥17.2 m·s-1,北京市丰台区千灵山达13级、安河桥达12级。这场雷暴大风造成北京多处街道出现严重树木倒伏状况。图 14c, 14d是睿思系统11:00起报的对应15:00及16:00时次的动力-统计协同阵风预报结果。从图中可以看出,睿思系统能够较好地预报出雷暴的下山过程,但从时间上来看,雷暴下山时间较实况略偏晚,但雷暴大风的预报强度与实况比较吻合。由11:00起报的未来4 h预报可见,雷暴大风位置主要位于北京西部山区,而此时城区实际已经出现雷暴大风,而11:00起报的未来5 h预报对北京城区的雷暴大风位置及强度与实况比较吻合。
|
图 14 2024年5月30日睿思系统基于多源数据动力-统计协同融合阵风预报方法的北京地区(a)15:00和(b)16:00阵风格点分析场,以及11:00起报的(c)15:00和(d)16:00阵风格点预报场 注:填色表示蒲福风级(8级对应的风速≥17.2 m·s-1),风矢为风场。 Fig. 14 Gridded gust analysis at (a) 15:00 BT and (b) 16:00 BT and gridded gust forecast at (c) 15:00 BT and (d) 16:00 BT initiated at 11:00 BT based on the dynamical-statistical collaborative method with multi-source-data fusion in the RISE system for the case on 30 May 2024 in Beijing Region |
论文对“百米级、分钟级”多源数据快速融合预报系统“睿思”进行了介绍,重点描述了在“后冬奥”时代,通过发展、集成一系列关键技术以及应用AI等新方法,实现了在“百米级、分钟级”技术框架内的短时强降水和雷暴大风的精细化短时临近预报、对流初生临近预报等功能。通过检验评估也表明,睿思系统中集成的新技术方案对提升强降水和雷暴大风等强对流天气预报精细度和准确率具有显著优势,特别是在0~6 h的短时临近预报时效内。
当然,“百米级、分钟级”天气预报也面临巨大挑战。目前,稠密的分钟级AWS观测资料是保障睿思系统“百米级、分钟级”近地面融合分析和3 h内预报准确性的关键因素,而可靠的数值预报背景场对6 h以上预报准确率的提升尤为关键。已经发展的多模式线性融合集成方法虽然可以降低24 h内常规要素的预报误差,但对降水融合预报效果甚微。另外,目前主流的区域高分辨率快速更新循环数值预报模式不同循环预报结果的差异,可能会对融合预报产生负面影响。因此,多模式背景场融合策略还应根据不同的天气类型进行动态融合或设置滑动窗口期,并根据不同模式的预报误差特征引入不同的降水预报订正,例如模式降水预报位相和强度校准(程丛兰等,2013)、频率匹配降水预报订正(李俊等,2014)、最优评分降水订正(吴启树等,2017)等,或对多模式或多集合成员的定量降水预报进行统计后处理(代刊等,2018)后再融合,以期进一步改进温湿风尤其是夏季强降水的预报准确性。中国气象局在千米尺度多源气象数据融合格点实况产品方面取得了巨大进步(师春香等,2019),但是在“百米级、分钟级”三维实况融合分析方面,依然面临多源多时空尺度资料有效融合、复杂地形处理等难题。如何在睿思系统中有效融合新型多源稠密观测资料(如塔基观测、风温湿廓线观测、卫星探测等),并应用高精度、高效率的数值模式降尺度技术(Reynolds et al, 2023),也是提升睿思系统“百米级、分钟级”三维融合分析场精度并实现0~12 h短时临近时效内高时空分辨率三维预报的关键所在。在睿思系统中,目前的融合卫星监测和风暴追踪的CI临近预报技术依然处于测试阶段,如何降低CI空报率、实现有效“消空”也是业务应用的一大挑战。
基于对流可分辨尺度集合数值预报背景场的集合短时临近预报是“百米级、分钟级”天气预报发展的另一个趋势,已有研究也表明其具有显著优势(Kober et al, 2012; Yang L et al, 2023;Flora et al, 2025)。随着AI的不断发展,应用AI等新技术实现次千米尺度甚至“百米级、分钟级”天气预报也是目前国际上发展的一大趋势(Flora et al, 2025; Zanetta et al, 2025)。但是,不论是AI释用技术还是AI大模型,在强对流等中小尺度、快速演变天气的精细化预报方面均面临诸多挑战。例如,如何有效构建一个真正适用于AI建模的“百米级、分钟级”区域三维大气再分析数据集,如何实现面向低空经济等新型应用场景的三维垂直加密精细化AI预报,均是天气预报技术发展的当务之急。
曹伟华, 南刚强, 陈明轩, 等, 2022. 基于深度学习的京津冀地区精细尺度降水临近预报研究[J]. 气象学报, 80(4): 546-564. Cao W H, Nan G Q, Chen M X, et al, 2022. A study on fine scale precipitation nowcasting in Beijing-Tianjin-Hebei Region based on deep learning[J]. Acta Meteor Sin, 80(4): 546-564 (in Chinese).
|
陈康凯, 宋林烨, 杨璐, 等, 2020. 一种基于高斯模糊的复杂地形下高分辨率三维插值方法的研究与试验应用[J]. 高原气象, 39(2): 276-280. Chen K K, Song L Y, Yang L, et al, 2020. Research and application of a three-dimensional interpolation method for high-resolution temperature in complex terrain based on Gaussian fuzzy[J]. Plateau Meteor, 39(2): 276-280 (in Chinese).
|
陈敏, 仲跻芹, 卢冰, 等, 2023. CMA-BJ 2.0版逐时快速更新追赶循环同化预报系统研发及应用Ⅰ: 资料同化及系统构建[J]. 气象学报, 81(6): 911-925. Chen M, Zhong J Q, Lu B, et al, 2023. On the CMA-BJ v2.0 hourly rapid update catch-up cycling assimilation and forecast system part Ⅰ: data assimilation and system attributes[J]. Acta Meteor Sin, 81(6): 911-925 (in Chinese).
|
陈明轩, 高峰, 孔荣, 等, 2010. 自动临近预报系统及其在北京奥运期间的应用[J]. 应用气象学报, 21(4): 395-404. Chen M X, Gao F, Kong R, et al, 2010. Introduction of auto-nowcasting system for convective storm and its performance in Beijing Olympics meteorological service[J]. J Appl Meteor Sci, 21(4): 395-404 (in Chinese).
|
陈明轩, 高峰, 孙娟珍, 等, 2016a. 基于VDRAS的快速更新雷达四维变分分析系统[J]. 应用气象学报, 27(3): 257-272. Chen M X, Gao F, Sun J Z, et al, 2016a. An analysis system using rapid-updating 4-D variational radar data assimilation based on VDRAS[J]. J Appl Meteor Sci, 27(3): 257-272 (in Chinese).
|
陈明轩, 肖现, 高峰, 等, 2016b. 基于雷达四维变分分析系统的强对流高分辨率模拟个例分析和批量检验[J]. 气象学报, 74(3): 421-441. Chen M X, Xiao X, Gao F, et al, 2016b. A case study and batch verification on high resolution numerical simulations of severe convective events using an analysis system based on rapid-refresh 4-D variational radar data assimilation[J]. Acta Meteor Sin, 74(3): 421-441 (in Chinese).
|
陈明轩, 王迎春, 高峰, 等, 2011. 基于雷达资料4DVar的低层热动力反演系统及其在北京奥运期间的初步应用分析[J]. 气象学报, 69(1): 64-78. Chen M X, Wang Y C, Gao F, et al, 2011. A low-level thermo-dynamical retrieval system based on the radar data 4DVar and a preliminary analysis of its applications in support of the Beijing 2008 Olympics[J]. Acta Meteor Sin, 69(1): 64-78 (in Chinese).
|
陈明轩, 杨璐, 秦睿, 等, 2024. 智慧冬奥2022天气预报示范计划的实施与评估[J]. 大气科学学报, 47(3): 361-375. Chen M X, Yang L, Qin R, et al, 2024. Operation and evaluation of SMART2022-FDP[J]. Trans Atmos Sci, 47(3): 361-375 (in Chinese).
|
程丛兰, 陈敏, 陈明轩, 等, 2019. 临近预报的两种高时空分辨率定量降水预报融合算法的对比试验[J]. 气象学报, 77(4): 701-714. Cheng C L, Chen M, Chen M X, et al, 2019. Comparative experiments on two high spatiotemporal resolution blending algorithms for quantitative precipitation nowcasting[J]. Acta Meteor Sin, 77(4): 701-714 (in Chinese).
|
程丛兰, 陈明轩, 王建捷, 等, 2013. 基于雷达外推临近预报和中尺度数值预报融合技术的短时定量降水预报试验[J]. 气象学报, 71(3): 397-415. Cheng C L, Chen M X, Wang J J, et al, 2013. Short-term quantitative precipitation forecast experiments based on blending of nowcasting with numerical weather prediction[J]. Acta Meteor Sin, 71(3): 397-415 (in Chinese).
|
崔新艳, 陈明轩, 秦睿, 等, 2021. 对流初生机理的研究进展[J]. 气象, 47(11): 1297-1318. Cui X Y, Chen M X, Qin R, et al, 2021. Research advances in the convective initiation mechanisms[J]. Meteor Mon, 47(11): 1297-1318 (in Chinese). DOI:10.7519/j.issn.1000-0526.2021.11.001
|
崔新艳, 陈明轩, 秦睿, 等, 2025. 雷暴大风形成机理和临近预报的研究进展[J]. 气象, 51(7): 773-788. Cui X Y, Chen M X, Qin R, et al, 2025. Research advances in the formation mechanisms and nowcasting of thunderstorm gales[J]. Meteor Mon, 51(7): 773-788 (in Chinese). DOI:10.7519/j.issn.1000-0526.2024.092401
|
代刊, 杨绚, 周康辉, 等, 2025. 深度学习在数字智能天气预报中的应用[J]. 气象, 51(11): 1477-1494. Dai K, Yang X, Zhou K H, et al, 2025. Application of deep learning in digital intelligent weather forecasting[J]. Meteor Mon, 51(11): 1477-1494 (in Chinese). DOI:10.7519/j.issn.1000-0526.2025.110701
|
代刊, 朱跃建, 毕宝贵, 2018. 集合模式定量降水预报的统计后处理技术研究综述[J]. 气象学报, 76(4): 493-510. Dai K, Zhu Y J, Bi B G, 2018. The review of statistical post-process technologies for quantitative precipitation forecast of ensemble prediction system[J]. Acta Meteor Sin, 76(4): 493-510 (in Chinese).
|
邓居昌, 覃卫坚, 韦文山, 2022. 机器学习算法在气候模式降水预测中的订正研究[J]. 计算机与数字工程, 50(11): 2428-2434. Deng J C, Qin W J, Wei W S, 2022. Research on correction of machine learning algorithms in climate model precipitation prediction[J]. Comput Digit Eng, 50(11): 2428-2434 (in Chinese).
|
符娇兰, 权婉晴, 麦子, 等, 2023. "23·7"华北特大暴雨过程雨强精细化特征及动力和热力条件初探[J]. 气象, 49(12): 1435-1450. Fu J L, Quan W Q, Mai Z, et al, 2023. Preliminary study on the refined characteristics of rainfall intensity and dynamic and thermodynamic conditions in the July 2023 severe torrential rain in North China[J]. Meteor Mon, 49(12): 1435-1450 (in Chinese). DOI:10.7519/j.issn.1000-0526.2023.112701
|
郭淳薇, 仲跻芹, 赵秀娟, 等, 2025. CMA-BJ模式对"23·7"极端强降水过程预报性能分析[J]. 气象学报, 83(2): 304-319. Guo C W, Zhong J Q, Zhao X J, et al, 2025. Evaluating the CMA-BJ model performance in predicting the July 2023 extreme heavy rainstorm over North China[J]. Acta Meteor Sin, 83(2): 304-319 (in Chinese).
|
韩念霏, 杨璐, 陈明轩, 等, 2022. 京津冀站点风温湿要素的机器学习订正方法[J]. 应用气象学报, 33(4): 489-500. Han N F, Yang L, Chen M X, et al, 2022. Machine learning correction of wind, temperature and humidity elements in Beijing-Tianjin-Hebei Region[J]. J Appl Meteor Sci, 33(4): 489-500 (in Chinese).
|
何静, 陈敏, 仲跻芹, 等, 2019. 雷达反射率三维拼图观测资料在北方区域数值模式预报系统中的同化应用研究[J]. 气象学报, 77(2): 210-232. He J, Chen M, Zhong J Q, et al, 2019. A study of three-dimensional radar reflectivity mosaic assimilation in the regional forecasting model for North China[J]. Acta Meteor Sin, 77(2): 210-232 (in Chinese).
|
金荣花, 曹勇, 赵瑞霞, 等, 2025. 中央气象台智能数字天气预报业务的技术进展[J]. 气象, 51(11): 1321-1334. Jin R H, Cao Y, Zhao R X, et al, 2025. Technological advances in the intelligent digital weather forecasting operational system of National Meteorological Centre[J]. Meteor Mon, 51(11): 1321-1334 (in Chinese). DOI:10.7519/j.issn.1000-0526.2025.063003
|
荆浩, 亢妍妍, 吴宏议, 等, 2024. 北京"23·7"极端强降雨特征和成因分析[J]. 气象, 50(5): 616-629. Jing H, Kang Y Y, Wu H Y, et al, 2024. Characteristics and causes of the July 2023 extremely torrential rain in Beijing[J]. Meteor Mon, 50(5): 616-629 (in Chinese). DOI:10.7519/j.issn.1000-0526.2024.012201
|
李佳慧, 马建立, 陈明轩, 等, 2025. 基于瓦片分区的雷达动态定量降水估测方法研究[J]. 高原气象, 44(1): 122-133. Li J H, Ma J L, Chen M X, et al, 2025. Research on dynamic quantitative precipitation estimation method based on tile partitioning for radar[J]. Plateau Meteor, 44(1): 122-133 (in Chinese).
|
李俊, 杜钧, 陈超君, 2014. 降水偏差订正的频率(或面积)匹配方法介绍和分析[J]. 气象, 40(5): 580-588. Li J, Du J, Chen C J, 2014. Introduction and analysis to frequency or area matching method applied to precipitation forecast bias correction[J]. Meteor Mon, 40(5): 580-588 (in Chinese).
|
李五生, 王洪庆, 王玉, 等, 2014. 基于卫星资料的对流初生预报及效果评估[J]. 北京大学学报(自然科学版), 50(5): 819-824. Li W S, Wang H Q, Wang Y, et al, 2014. Convective initiation forecasting and statistical evaluation based on satellite data[J]. Acta Sci Nat Univ Pekinensis, 50(5): 819-824 (in Chinese).
|
刘莲, 陈明轩, 王迎春, 2016. 基于雷达资料四维变分同化及云模式的中尺度对流系统数值临近预报试验[J]. 气象学报, 74(2): 213-228. Liu L, Chen M X, Wang Y C, 2016. Numerical nowcasting experiments for the simulation of a mesoscale convective system using a cloud model and radar data assimilation with 4DVar[J]. Acta Meteor Sin, 74(2): 213-228 (in Chinese).
|
刘瑞婷, 陈明轩, 肖现, 等, 2021. 雷达资料快速更新四维变分同化中增加地面资料同化对强对流临近数值预报的影响[J]. 气象学报, 79(6): 921-942. Liu R T, Chen M X, Xiao X, et al, 2021. The impact of assimilating surface observations in rapid-refresh four-dimensional variational radar data assimilation system on model-based severe convection nowcasting[J]. Acta Meteor Sin, 79(6): 921-942 (in Chinese).
|
刘郁珏, 苗世光, 黄倩倩, 等, 2023. 睿图-大涡系统支撑北京冬奥会气象服务保障的评估分析[J]. 气象, 49(6): 733-744. Liu Y J, Miao S G, Huang Q Q, et al, 2023. Evaluation and analysis of meteorological service for Beijing Winter Olympic Games supported by RMAPS-LES prediction system[J]. Meteor Mon, 49(6): 733-744 (in Chinese). DOI:10.7519/j.issn.1000-0526.2023.041701
|
马建立, 陈明轩, 李思腾, 等, 2019. 线性规划在X波段双线偏振多普勒天气雷达差分传播相移质量控制中的应用[J]. 气象学报, 77(3): 516-528. Ma J L, Chen M X, Li S T, et al, 2019. Application of linear programming on quality control of differential propagation phase shift data for X-band dual linear polarimetric Doppler weather radar[J]. Acta Meteor Sin, 77(3): 516-528 (in Chinese).
|
潘留杰, 薛春芳, 张宏芳, 等, 2021. 基于多模式和网格预报产品融合的降水预报释用方法[J]. 气象, 47(5): 550-560. Pan L J, Xue C F, Zhang H F, et al, 2021. Interpretation method of fusion grid precipitation forecast based on various precipitation forecast products[J]. Meteor Mon, 47(5): 550-560 (in Chinese). DOI:10.7519/j.issn.1000-0526.2021.05.004
|
沈学顺, 苏勇, 李兴良, 等, 2025. 中国业务数值天气预报自主发展中的理论和方法创新[J]. 气象, 51(11): 1293-1320. Shen X S, Su Y, Li X L, et al, 2025. Innovation of theory and methodology in the independent development of operational numerical weather prediction in China[J]. Meteor Mon, 51(11): 1293-1320 (in Chinese). DOI:10.7519/j.issn.1000-0526.2025.093001
|
沈学顺, 王建捷, 李泽椿, 等, 2020. 中国数值天气预报的自主创新发展[J]. 气象学报, 78(3): 451-476. Shen X S, Wang J J, Li Z C, et al, 2020. China's independent and innovative development of numerical weather prediction[J]. Acta Meteor Sin, 78(3): 451-476 (in Chinese).
|
师春香, 潘旸, 谷军霞, 等, 2019. 多源气象数据融合格点实况产品研制进展[J]. 气象学报, 77(4): 774-783. Shi C X, Pan Y, Gu J X, et al, 2019. A review of multi-source meteorological data fusion products[J]. Acta Meteor Sin, 77(4): 774-783 (in Chinese).
|
宋林烨, 陈明轩, 程丛兰, 等, 2019. 京津冀夏季雷达定量降水估测的误差统计及定量气候校准[J]. 气象学报, 77(3): 497-515. Song L Y, Chen M X, Cheng C L, et al, 2019. Characteristics of summer QPE error and a climatological correction method over Beijing-Tianjin-Hebei Region[J]. Acta Meteor Sin, 77(3): 497-515 (in Chinese).
|
宋林烨, 杨璐, 程丛兰, 等, 2025a. 不同模式背景场对复杂山地百米级温度和风场融合预报影响的对比[J]. 大气科学, 49(3): 681-698. Song L Y, Yang L, Cheng C L, et al, 2025a. Comparison of the influences of different model backgrounds on the 100-m resolution integrated forecasts for the temperature and wind over complex terrain[J]. Chin J Atmos Sci, 49(3): 681-698 (in Chinese).
|
宋林烨, 杨璐, 秦睿, 等, 2025b. 百米级快速融合预报RISE系统研发及其北京冬奥会应用评估[J]. 大气科学, 49(4): 1098-1121. Song L Y, Yang L, Qin R, et al, 2025b. Rapid-refresh integrated seamless ensemble system at a 100-meter resolution scale: development and application in Beijing Winter Olympics[J]. Chin J Atmos Sci, 49(4): 1098-1121 (in Chinese).
|
王在文, 全继萍, 张鑫宇, 2023. 基于CMA-BJ数值预报模式产品的复杂地形下冬奥站点地面气温和风速预报方法研究[J]. 气象学报, 81(6): 926-942. Wang Z W, Quan J P, Zhang X Y, 2023. Forecasting surface temperature and wind speed at Winter Olympics stations over complex terrain based on the CMA-BJ model products[J]. Acta Meteor Sin, 81(6): 926-942 (in Chinese).
|
吴剑坤, 陈明轩, 秦睿, 等, 2019. 变分回波跟踪算法及其在对流临近预报中的应用试验[J]. 气象学报, 77(6): 999-1014. Wu J K, Chen M X, Qin R, et al, 2019. The variational echo tracking method and its application in convective storm nowcasting[J]. Acta Meteor Sin, 77(6): 999-1014 (in Chinese).
|
吴启树, 韩美, 刘铭, 等, 2017. 基于评分最优化的模式降水预报订正算法对比[J]. 应用气象学报, 28(3): 306-317. Wu Q S, Han M, Liu M, et al, 2017. A comparison of optimal-score-based correction algorithms of model precipitation prediction[J]. J Appl Meteor Sci, 28(3): 306-317 (in Chinese).
|
谢舜, 孙效功, 张苏平, 等, 2022. 基于SVD与机器学习的华南降水预报订正方法[J]. 应用气象学报, 33(3): 293-304. Xie S, Sun X G, Zhang S P, et al, 2022. Precipitation forecast correction in South China based on SVD and machine learning[J]. J Appl Meteor Sci, 33(3): 293-304 (in Chinese).
|
徐景峰, 宋林烨, 陈婧, 等, 2025. 北京冬奥会延庆复杂地形冬季和早春地面风场精细特征对比研究[J]. 高原气象, 44(2): 378-392. Xu J F, Song L Y, Chen J, et al, 2025. Comparative study on fine characteristics of surface wind field in winter and early spring over Yanqing complex terrain during Beijing Winter Olympics[J]. Plateau Meteor, 44(2): 378-392 (in Chinese).
|
徐景峰, 宋林烨, 陈明轩, 等, 2023. 冬奥会复杂山地百米尺度10m风速预报的机器学习订正对比试验[J]. 大气科学, 47(3): 805-824. Xu J F, Song L Y, Chen M X, et al, 2023. Comparative machine learning-based correction experiment for a 10 m wind speed forecast at a 100 m resolution in complex mountainous areas of the Winter Olympic Games[J]. Chin J Atmos Sci, 47(3): 805-824 (in Chinese).
|
薛纪善, 陈德辉, 2008. 数值预报系统GRAPES的科学设计与应用[M]. 北京: 科学出版社: 383. Xue J S, Chen D H, 2008. Scientific Design and Application of GRAPES Numerical Prediction System[M].
Beijing: Science Press: 383 (in Chinese).
|
杨璐, 陈敏, 陈明轩, 等, 2019. 高时空分辨率三维风场在强对流天气临近预报中的融合应用研究[J]. 气象学报, 77(2): 243-255. Yang L, Chen M, Chen M X, et al, 2019. Fusion of 3D high temporal and spatial resolution wind field and its application in nowcasting of severe convective weather[J]. Acta Meteor Sin, 77(2): 243-255 (in Chinese).
|
杨璐, 南刚强, 陈明轩, 等, 2021. 基于三种机器学习方法的降水相态高分辨率格点预报模型的构建及对比分析[J]. 气象学报, 79(6): 1022-1034. Yang L, Nan G Q, Chen M X, et al, 2021. The construction and comparison of high resolution precipitation type prediction models based on three machine learning methods[J]. Acta Meteor Sin, 79(6): 1022-1034 (in Chinese).
|
杨璐, 宋林烨, 荆浩, 等, 2022. 复杂地形下高精度风场融合预报订正技术在冬奥会赛区风速预报中的应用研究[J]. 气象, 48(2): 162-176. Yang L, Song L Y, Jing H, et al, 2022. Fusion prediction and correction technique for high-resolution wind field in Winter Olympic Games Area under complex terrain[J]. Meteor Mon, 48(2): 162-176 (in Chinese). DOI:10.7519/j.issn.1000-0526.2021.092902
|
杨璐, 王晓丽, 宋林烨, 等, 2023. 基于阵风系数模型的百米级阵风客观预报算法研究[J]. 气象学报, 81(1): 94-109. Yang L, Wang X L, Song L Y, et al, 2023. An algorithm for objective forecasting of gust winds at 100 m horizontal resolution based on a gust coefficient model[J]. Acta Meteor Sin, 81(1): 94-109 (in Chinese).
|
张博, 张芳华, 李晓兰, 等, 2024. "23·7"华北特大暴雨数值预报检验评估[J]. 应用气象学报, 35(1): 17-32. Zhang B, Zhang F H, Li X L, et al, 2024. Verification and assessment of "23·7" severe rainstorm numerical prediction in North China[J]. J Appl Meteor Sci, 35(1): 17-32 (in Chinese).
|
张延彪, 宋林烨, 陈明轩, 等, 2022. 基于卷积神经网络的京津冀地区高分辨率格点预报偏差订正试验[J]. 大气科学学报, 45(6): 850-862. Zhang Y B, Song L Y, Chen M X, et al, 2022. A study of error correction for high-resolution gridded forecast based on a convolutional neural network in the Beijing-Tianjin-Hebei Region[J]. Trans Atmos Sci, 45(6): 850-862 (in Chinese).
|
Atencia A, Rigo T, Sairouni A, et al, 2010. Improving QPF by blending techniques at the meteorological service of Catalonia[J]. Nat Hazards Earth Syst Sci, 10(7): 1443-1455. DOI:10.5194/nhess-10-1443-2010
|
Chen M X, Qin R, Song L Y, et al, 2025. SMART2022:a project supporting weather forecasting and services for the Beijing 2022 Olympic and Paralympic Winter Games-a success story of "precise observations, accurate forecasting, and meticulous service" in the field of meteorology[J]. Bull Amer Meteor Soc, 106(7): E1401-E1433. DOI:10.1175/BAMS-D-24-0146.1
|
Chen M X, Quan J N, Miao S G, et al, 2018. Enhanced weather research and forecasting in support of the Beijing 2022 Winter Olympic and Paralympic Games[J]. WMO Bull, 67(2): 58-61.
|
Cheng K Y, Harris L M, Sun Y Q, 2022. Enhancing the accessibility of unified modeling systems: GFDL system for high-resolution prediction on earth-to-local domains (SHiELD) v2021b in a container[J]. Geosci Model Dev, 15(3): 1097-1105. DOI:10.5194/gmd-15-1097-2022
|
Dixon M, Wiener G, 1993. TITAN: thunderstorm identification, tracking, analysis, and nowcasting—a radar-based methodology[J]. J Atmos Ocean Technol, 10(6): 785-797. DOI:10.1175/1520-0426(1993)010<0785:TTITAA>2.0.CO;2
|
Farr T G, Rosen P A, Caro E, et al, 2007. The shuttle radar topography mission[J]. Rev Geophys, 45(2): RG2004.
|
Flora M L, Skinner P, Potvin C K, et al, 2025. Assessing the impact of biased target variables on machine learning models of severe hail[J]. Wea Forecasting, 40(7): 1015-1028. DOI:10.1175/WAF-D-24-0051.1
|
Haiden T, Kann A, Wittmann C, et al, 2011. The integrated nowcasting through comprehensive analysis(inCA) system and its validation over the eastern alpine region[J]. Wea Forecasting, 26(2): 166-183. DOI:10.1175/2010WAF2222451.1
|
Hald C, Zeeman M, Laux P, et al, 2019. Large-eddy simulations of real-world episodes in complex terrain based on ERA-reanalysis and validated by ground-based remote sensing data[J]. Mon Wea Rev, 147(12): 4325-4343. DOI:10.1175/MWR-D-19-0016.1
|
Haupt S E, Kosovic B, Shaw W, et al, 2019. On bridging a modeling scale gap: mesoscale to microscale coupling for wind energy[J]. Bull Amer Meteor Soc, 100(12): 2533-2550. DOI:10.1175/BAMS-D-18-0033.1
|
Hwang Y, Clark A J, Lakshmanan V, et al, 2015. Improved nowcasts by blending extrapolation and model forecasts[J]. Wea Forecasting, 30(5): 1201-1217. DOI:10.1175/WAF-D-15-0057.1
|
Imhoff R O, De Cruz L, Dewettinck W, et al, 2023. Scale-dependent blending of ensemble rainfall nowcasts and numerical weather prediction in the open-source Pysteps library[J]. Quart J Roy Meteor Soc, 149(753): 1335-1364. DOI:10.1002/qj.4461
|
Jin W X, Luo Y, Wu T W, et al, 2022. Deep learning for seasonal precipitation prediction over China[J]. J Meteor Res, 36(2): 271-281. DOI:10.1007/s13351-022-1174-7
|
Kann A, Wittmann C, Bica B, et al, 2015. On the impact of NWP model background on very high-resolution analyses in complex terrain[J]. Wea Forecasting, 30(4): 1077-1089. DOI:10.1175/WAF-D-15-0001.1
|
Kiktev D, Joe P, Isaac G A, et al, 2017. FROST-2014:the Sochi Winter Olympics international project[J]. Bull Amer Meteor Soc, 98(9): 1908-1929. DOI:10.1175/BAMS-D-15-00307.1
|
Knepper R, Pryor S, Wineholt B, et al, 2023. The I-WRF framework: containerized weather modeling, validation, and verification[C]//Proceedings of the Practice and Experience in Advanced Research Computing. Portland: 206-210.
|
Kober K, Craig G C, Keil C, et al, 2012. Blending a probabilistic nowcasting method with a high-resolution numerical weather prediction ensemble for convective precipitation forecasts[J]. Quart J Roy Meteor Soc, 138(664): 755-768. DOI:10.1002/qj.939
|
Kotsuki S, Kurosawa K, Otsuka S, et al, 2019. Global precipitation forecasts by merging extrapolation-based nowcast and numerical weather prediction with locally optimized weights[J]. Wea Forecasting, 34(3): 701-714. DOI:10.1175/WAF-D-18-0164.1
|
Liu Y B, Warner T, Liu Y W, et al, 2011. Simultaneous nested modeling from the synoptic scale to the LES scale for wind energy applications[J]. J Wind Eng Ind Aerod, 99(4): 308-319. DOI:10.1016/j.jweia.2011.01.013
|
Liu Y J, Liu Y B, Muñoz-Esparza D, et al, 2020. Simulation of flow fields in complex terrain with WRF-LES: sensitivity assessment of different PBL treatments[J]. J Appl Meteor Climatol, 59(9): 1481-1501. DOI:10.1175/JAMC-D-19-0304.1
|
Liu Y Q, Yang L, Chen M X, et al, 2024. A deep learning approach for forecasting thunderstorm gusts in the Beijing-Tianjin-Hebei Region[J]. Adv Atmos Sci, 41(7): 1342-1363. DOI:10.1007/s00376-023-3255-7
|
Liu Y Q, Yang L, Chen M X, et al, 2025. TG-Net: a physically interpretable deep learning forecasting model for thunderstorm gusts[J]. J Meteor Res, 39(1): 59-78. DOI:10.1007/s13351-025-4080-y
|
Martin J J, Clark A J, Yussouf N, et al, 2024. Cb-WoFS: migrating the warn-on-forecast system to the cloud[J]. Bull Amer Meteor Soc, 105(10): E1962-E1971. DOI:10.1175/BAMS-D-23-0296.1
|
Mecikalski J R, Bedka K M, 2006. Forecasting convective initiation by monitoring the evolution of moving cumulus in daytime GOES imagery[J]. Mon Wea Rev, 134(1): 49-78. DOI:10.1175/MWR3062.1
|
Mecikalski J R, MacKenzie W M Jr, Koenig M, et al, 2010. Cloud-top properties of growing cumulus prior to convective initiation as measured by Meteosat second generation.Part Ⅰ: infrared fields[J]. J Appl Meteor Climatol, 49(3): 521-534. DOI:10.1175/2009JAMC2344.1
|
Michelangeli P A, Vrac M, Loukos H, 2009. Probabilistic downscaling approaches: application to wind cumulative distribution functions[J]. Geophys Res Lett, 36(11): L11708.
|
Min M, Wu C Q, Li C, et al, 2017. Developing the science product algorithm testbed for Chinese next-generation geostationary meteorological satellites: Fengyun-4 series[J]. J Meteor Res, 31(4): 708-719. DOI:10.1007/s13351-017-6161-z
|
Moeng C H, Dudhia J, Klemp J, et al, 2007. Examining two-way grid nesting for large eddy simulation of the PBL using the WRF model[J]. Mon Wea Rev, 135(6): 2295-2311. DOI:10.1175/MWR3406.1
|
Pinto J O, Jensen A A, Jiménez P A, et al, 2021. Real-time WRF large-eddy simulations to support uncrewed aircraft system (UAS) flight planning and operations during 2018 LAPSE-RATE[J]. Earth Syst Sci Data, 13(2): 697-711. DOI:10.5194/essd-13-697-2021
|
Rabiei E, Haberlandt U, 2015. Applying bias correction for merging rain gauge and radar data[J]. J Hydrol, 522: 544-557. DOI:10.1016/j.jhydrol.2015.01.020
|
Rasp S, Lerch S, 2018. Neural networks for postprocessing ensemble weather forecasts[J]. Mon Wea Rev, 146(11): 3885-3900. DOI:10.1175/MWR-D-18-0187.1
|
Reynolds D, Gutmann E, Kruyt B, et al, 2023. The high-resolution intermediate complexity atmospheric research (HICAR v1.1) model enables fast dynamic downscaling to the hectometer scale[J]. Geosci Model Dev, 16(17): 5049-5068. DOI:10.5194/gmd-16-5049-2023
|
Roberts R D, Rutledge S, 2003. Nowcasting storm initiation and growth using GOES-8 and WSR-88D data[J]. Wea Forecasting, 18(4): 562-584. DOI:10.1175/1520-0434(2003)018<0562:NSIAGU>2.0.CO;2
|
Ryzhkov A, Zhang P F, Bukovčić P, et al, 2022. Polarimetric radar quantitative precipitation estimation[J]. Remote Sens, 14(7): 1695. DOI:10.3390/rs14071695
|
Schröter K, Llort X, Velasco-Forero C, et al, 2011. Implications of radar rainfall estimates uncertainty on distributed hydrological model predictions[J]. Atmos Res, 100(2/3): 237-245.
|
Siewert C W, Koenig M, Mecikalski J R, 2010. Application of Meteosat second generation data towards improving the nowcasting of convective initiation[J]. Met Appl, 17(4): 442-451. DOI:10.1002/met.176
|
Song L Y, Chen M X, Gao F, et al, 2019. Elevation influence on rainfall and a parameterization algorithm in the Beijing Area[J]. J Meteor Res, 33(6): 1143-1156. DOI:10.1007/s13351-019-9072-3
|
Song L Y, Chen S F, Li Y, et al, 2021. The quantile-matching approach to improving radar quantitative precipitation estimation in South China[J]. Remote Sens, 13(23): 4956. DOI:10.3390/rs13234956
|
Song L Y, Schicker I, Papazek P, et al, 2020. Machine learning approach to summer precipitation nowcasting over the eastern Alps[J]. Meteor Z, 29(4): 289-305. DOI:10.1127/metz/2019/0977
|
Song L Y, Yang L, Cheng C L, et al, 2023. The impacts of grid spacing and station network on surface analyses and forecasts in Beijing Winter Olympic complex terrain[J]. J Appl Meteor Climatol, 62(12): 1761-1781. DOI:10.1175/JAMC-D-22-0187.1
|
Sun J Z, Crook N A, 1997. Dynamical and microphysical retrieval from Doppler radar observations using a cloud model and its adjoint.Part Ⅰ: model development and simulated data experiments[J]. J Atmos Sci, 54(12): 1642-1661. DOI:10.1175/1520-0469(1997)054<1642:DAMRFD>2.0.CO;2
|
Walker J R, Mecikalski J R, 2011. Algorithm theoretical basis document[R]. Baltimore: NOAA NESDIS Center for Satellite Applications and Research: 40.
|
Walker J R, MacKenzie W M, Mecikalski J R, et al, 2012. An enhanced geostationary satellite-based convective initiation algorithm for 0-2-h nowcasting with object tracking[J]. J Appl Meteor Climatol, 51(11): 1931-1949. DOI:10.1175/JAMC-D-11-0246.1
|
Wang J L, Yang J, Ren H L, et al, 2021. Dynamical and machine learning hybrid seasonal prediction of summer rainfall in China[J]. J Meteor Res, 35(4): 583-593. DOI:10.1007/s13351-021-0185-0
|
Wang Y, Han L, Wang H Q, 2014. Statistical characteristics of convective initiation in the Beijing-Tianjin Region revealed by six-year radar data[J]. J Meteor Res, 28(6): 1127-1136. DOI:10.1007/s13351-014-3061-3
|
Xie Y C, Song L Y, Chen M X, et al, 2025. A segmented classification and regression machine learning approach for correcting precipitation forecast at 4-6 h leadtimes[J]. J Meteor Res, 39(1): 79-99. DOI:10.1007/s13351-025-4117-2
|
Yang L, Chen M X, Wang X L, et al, 2021. Classification of precipitation type in North China using model-based explicit fields of hydrometeors with modified thermodynamic conditions[J]. Wea Forecasting, 36(1): 91-107. DOI:10.1175/WAF-D-20-0005.1
|
Yang L, Cheng C L, Xia Y, et al, 2023. Evaluation of the added value of probabilistic nowcasting ensemble forecasts on regional ensemble forecasts[J]. Adv Atmos Sci, 40(5): 937-951. DOI:10.1007/s00376-022-2056-8
|
Yang L, Song L Y, Chen M X, et al, 2024. Climatological observation and model simulation of near-surface hourly maximum gust wind in northern China[J]. J Appl Meteor Climatol, 63(4): 527-542. DOI:10.1175/JAMC-D-23-0144.1
|
Yang X, Dai K, Zhu Y J, 2023. Calibration of gridded wind speed forecasts based on deep learning[J]. J Meteor Res, 37(6): 757-774. DOI:10.1007/s13351-023-3001-1
|
Yu C, Shao H Y, Hu D Y, et al, 2023. Merging precipitation scheme design for improving the accuracy of regional precipitation products by machine learning and geographical deviation correction[J]. J Hydrol, 620: 129560. DOI:10.1016/j.jhydrol.2023.129560
|
Zanetta F, Nerini D, Buzzi M, et al, 2025. Efficient modeling of sub-kilometer surface wind with Gaussian processes and neural networks[J]. Artif Int Earth Syst. DOI:10.1175/AIES-D-24-0047.1
|
Zhang J, Tang L, Cocks S, et al, 2020. A dual-polarization radar synthetic QPE for operations[J]. J Hydrometeor, 21(11): 2507-2521. DOI:10.1175/JHM-D-19-0194.1
|
Zhang W H, Tian M, Hai S F, et al, 2024. Improving the forecasts of coastal wind speeds in Tianjin, China based on the WRF model with machine learning algorithms[J]. J Meteor Res, 38(3): 570-585. DOI:10.1007/s13351-024-3096-z
|
Zhuge X Y, Zou X L, 2018. Summertime convective initiation now-casting over southeastern China based on advanced Himawari imager observations[J]. J Meteor Soc Japan Ser Ⅱ, 96(4): 337-353. DOI:10.2151/jmsj.2018-041
|
2025, Vol. 51 