2. 三峡国家气候观象台, 湖北 宜昌 443002;
3. 中国气象局流域强降水重点开放实验室, 武汉 430205;
4. 湖北省鄂州市气象局, 鄂州 436000;
5. 武汉农业气象试验站, 武汉 430040;
6. 湖北省洪湖市大同湖农场, 洪湖 433200
2. Three Gorges National Climatological Observatory, Hubei Yichang 443002;
3. CMA Key laboratory of Basin Heavy Rainfall, Wuhan 430205;
4. Ezhou Meteorological Office of Hubei Province, Ezhou 436000;
5. Wuhan National Agro-meteorology Station, Wuhan 430040;
6. Honghu Datonghu Farm of Hubei Province, Honghu 433200
溶解氧(dissolved oxygen)是养殖水体衡量水质的重要参数(Xiao et al,2019;Zhu et al,2010),其含量高低对水生生物的生理功能影响重大(Lipizer et al,2014;Rahman et al,2020;Cao et al,2020),也是水产养殖品种赖以生存和健康养殖的关键(Liu et al,2014)。淡水养殖品种多为变温动物,水温15℃以上开始正常摄食及活动,耗氧量增大;低于10℃则进入休眠状态,耗氧量低。长江中下游地区一般4—10月水温稳定在15℃以上,适宜大部分淡水养殖品种生长; 7—8月是主要生长季, 此时鱼、虾、蟹生长快、耗氧多,但水温偏高,溶解氧饱和度较低(黄炜惠等,2021),常出现夜间缺氧泛塘(指水体溶氧不足导致鱼类等水生动物群体性窒息死亡现象),给养殖户造成巨大经济损失。近年来全球气候变暖导致极端高温事件频发(张宁等,2022;杨雯倩等,2022;夏智宏等,2023;罗孳孳等,2024),对水生态系统和淡水养殖业造成严重影响。夏季阵性降水及低压天气也会导致水体缺氧,因此7—8月溶氧量变化是淡水养殖业预防缺氧泛塘的关注重点。
在水体溶解氧预测方面,溶氧量受气象、水质、人类活动等多种因素影响(Huan et al,2017),具有非线性、大惯性、强耦合、时变性等特点(Xiao et al,2017;Chen and Liu, 2014;Poulson and Sullivan, 2010),难以用简单统计方法精准预测。当前研究主要用传统非线性统计方法(倪玉红等,2015;刘双印等,2012)和机器学习方法(袁红春等,2020;宦娟和刘星桥,2016;杨明悦和毛献忠,2022;陈英义等,2020)开展溶氧量预测,但多以水质监测要素为预测因子,在现代渔业高密度养殖背景下,水质监测探头易被有机物附着而造成数据失真(单慧勇等,2018)。因此,开展基于地面气象观测要素的夏季溶氧量气象预测研究,对水产养殖防灾减灾、发展绿色健康养殖及节能减排具有重要性及必要性。本研究拟基于江汉平原养殖池塘原位监测试验及气象观测数据,采用随机森林-支持向量回归方法(RF-SVR)开展夏季养殖水体溶氧量气象预测模型研究,以期为溶氧调控及泛塘风险防控提供参考依据,为智慧渔业自动增氧系统提供技术支持。
1 数据与方法 1.1 研究区概况湖北省洪湖市位于江汉平原腹地,属亚热带湿润季风气候,光照充足、雨量充沛,水资源及渔业资源丰富,是湖北省大宗淡水鱼和虾、蟹主产区,素有“百湖之市”“水产之都”之称。2023年洪湖市池塘养殖面积5.35万hm2,池塘养殖产量32.6万t,连续多年居全国县(市)首位。研究区域位于洪湖市大同湖农场,池塘1养殖面积约2 hm2,平均水深1.8 m,主养品种为大宗淡水鱼,池塘安装有三台3 kW叶轮式增氧机,夏季13:00─15:00、00:00—07:00(北京时,下同)开启增氧机,其余时段增氧机均关闭。池塘2与池塘1水平距离约5 km,养殖面积0.2 hm2,平均水深1.5 m,主养品种为乌鳢,无人工增氧。养殖户管理技术为当地中上等水平,具有一定地域代表性。
1.2 仪器和数据2022年、2024年夏季在洪湖市大同湖农场养殖池塘开展水体生态要素原位监测试验,其中池塘1监测时段为2022年7月6—13日,池塘2为2024年8月15—31日,自动连续监测水体分层溶氧量和水温,监测频率为10 min一次,监测深度为水下30、60、120 cm。测量仪器为武汉宝运生态科技有限公司生产的IQ Sensor分层溶氧水温监测仪,仪器布置在池塘中部并进行固定,池塘1中监测仪器距增氧机约20 m。
使用的资料有:2022年7月5—13日、2024年8月14—31日洪湖市大同湖、宜城、远安、荆州、麻城、阳新共6个国家级地面气象观测站的逐小时平均气温、降水、风速、气压、水汽压、相对湿度、露点温度、海平面气压等17个气象要素观测数据以及逐日平均气温、最高气温、降水量数据;2022年7月6—13日、2024年8月14—31日武汉、宜昌、荆州、南漳、英山共5个国家级太阳辐射观测站逐小时太阳辐射数据。数据来源于湖北省气象信息与技术保障中心,均经过质量检验。
1.3 方法和数据处理研究采用的主要方法有随机森林回归、岭回归、支持向量机、交叉验证等。利用R语言(V4.22)中的rpart、ipred、randomForest、glmnet、e1071等程序包完成模型构建。
观测温度下的饱和溶解氧质量浓度CT(单位:mg·L-1)计算公式(田盼等,2022)如下:
| $ C_T=\frac{477.8}{T+32.36} $ | (1) |
式中:T为实测水温(单位:℃)。
1.4 模型建立本研究以洪湖市大同湖农场池塘120 cm水深处逐时溶氧量为因变量,对应时次的气象观测站逐小时气象要素以及洪湖市逐小时太阳辐射要素共19种变量为自变量,具体包括:平均气温、最高气温、最低气温、露点温度、相对湿度、最小相对湿度、水汽压、气压、最高气压、最低气压、海平面气压、过去3 h变压、2 min平均风速、10 min平均风速、最大风速、瞬时风速、极大风速、总辐射辐照度、总辐射曝辐量。考虑到气象要素在养殖水体中的滞后效应,将距离当前时次提前1 h、提前2 h、提前3 h的变量也纳入自变量,即共19×4=76个气象影响因子。当前时次、提前1 h、提前2 h、提前3 h的自变量因子分别记为m、m1、m2、m3,其中m代表气象影响因子。
首先利用变量重要性评分(variable importance measure,VIM)进行因子初步筛选,并利用随机森林回归交叉验证误差分析法确定溶氧量预测模型最优因子数量,然后分别利用4种线性回归方法(线性回归、逐步回归、岭回归、Lasso回归)和4种非线性回归方法(投票法回归、支持向量回归、决策树回归、随机森林回归),建立基于气象影响因子的养殖水体溶氧量预测模型。变量重要性评分及预报因子与池塘溶氧量关系采用随机森林自带的基尼系数重要性因子排序方法及偏依赖分析(杨明悦和毛献忠,2022;秦鹏程等,2016),最后利用十折交叉验证评估预报模型各性能稳定性,并选取湖北省代表站进行溶氧量试报,以分析模型适用性。岭回归等6种回归模型的基本原理见表 1,各种回归模型中参数均采用R语言对应程序包默认值,支持向量回归采用径向基内核。
|
|
表 1 各模型的基本原理 Table 1 The basic principle of each model |
通过4种指标来评估模型的性能:平均绝对误差(MAE)、纳什效率系数(NSE)、决定系数(R2)和均方根误差(RMSE)(杨明悦和毛献忠,2022)。MAE代表所有样本的样本误差绝对值的均值,RMSE反映了模拟值与实测值的偏离程度,这两个指标值越接近0,表示估算模型的拟合精度越高。R2表征模型的拟合能力,其值越接近1表示拟合能力越强;NSE是广泛使用的统计评分指标之一,其值接近1表示模型拟合完美,负值则表明拟合不良。
2 结果与分析 2.1 气象特征分析从2022年7月6—13日气温、太阳辐射等气象要素变化情况来看(图 1a),日平均气温在30~35℃,最高气温在34~41℃,总辐射曝辐量除7月7日外大多在20 MJ·m-2以上。2024年8月15—26日平均气温在29.4~33.9℃,最高气温在34.7~39.3℃(图 1b),总辐射曝辐量大部分在17.3~24.4 MJ·m-2。8月27日起气温开始下降,28日平均气温和最高气温降至最低,分别为25.8℃和27.7℃,总辐射曝辐量仅为7.3 MJ·m-2。8月29—31日气温回升,30日开始平均气温回升至30℃以上,总辐射曝辐量在17.1~20.9 MJ·m-2。观测时段覆盖晴热高温、寡照、降温、阵性降水等不同天气类型, 两次弱降水过程分别在7月7日(降水量0.4 mm)和8月19日(降水量1.6 mm)。
|
图 1 洪湖市大同湖农场(a)2022年7月6—13日, (b)2024年8月15—31日气温及太阳总辐射曝辐量 Fig. 1 Temperature and total solar radiation irradiance from (a) 6 to 13 July 2022, and (b) 15 to 31 August 2024 in Datonghu Farm of Honghu City |
由2022年7月6—13日池塘1不同深度溶氧量及30 cm饱和溶氧量变化(图 2a)可以发现,晴热高温天气分层溶氧量有明显的昼夜节律变化特征。07:00—08:00分层溶氧量开始上升,17:00—20:00达到峰值,随后各层溶氧量均下降,各层间数值较为接近,03:00—08:00分层溶氧量低于2 mg·L-1,为泛塘高风险时段。垂直分布上,白天30、60、120 cm溶氧量垂向递减,13:00—18:00各层间溶氧量差异最明显,上层(30 cm)变化快且变幅大,中层(60 cm)、下层(120 cm)变化滞后且变幅小,同一时间各层溶氧量间的差值在1~7 mg·L-1。白天上层溶氧量峰值为7.7~13.9 mg·L-1,多数时段超9 mg·L-1,过饱和时长3~10 h;中层下层在17:00—19:00达到峰值,分别为6~10 mg·L-1、3~7 mg· L-1,低于上层。22:00至次日08:00各层溶氧量较均匀,在0.2~8.7 mg·L-1。
|
图 2 洪湖市大同湖农场(a)2022年7月6—13日鱼塘1,(b)2024年8月15—31日鱼塘2的不同深度溶氧量监测 Fig. 2 Dissolved oxygen monitoring in different depths below water surface from (a) 6 to 13 July 2022 in pond 1, and (b) 15 to 31 August 2024 in pond 2 in Datonghu Farm of Honghu City |
2024年8月15—31日池塘2分层溶氧量变化整体特征与池塘1类似,略有不同的是研究时段后期(27—28日)出现降温寡照天气,因此水体溶氧量呈现出阶段性变化(图 2b)。15—26日为持续晴热高温天气,水体溶氧量相对较高。其日变化具体为20:00至次日08:00各层溶氧量逐渐下降、数值较为接近,溶氧量在0.3~5.5 mg·L-1;上午随着太阳辐射增加及池塘光合造氧活跃,各层溶氧量开始明显增加的时间随深度增加而递次推后,其中上层溶氧量最丰富,14:00—18:00达到峰值(6.1~13.5 mg· L-1);此后各层溶氧量逐渐下降且最终数值接近。27—28日出现降温(降温幅度达8℃),日照时数大幅下降,各层间溶氧量差异较小并维持在2 mg·L-1以下。29日后气温及太阳辐射回升,池塘上层溶氧量峰值升至7~14 mg·L-1。在自然状况下(池塘2无增氧措施)02:00—07:00各层溶氧量低于2 mg·L-1,下层溶氧全天多数时段低于2 mg· L-1,为低溶氧环境。Deborah(1996)认为溶氧量低于2 mg·L-1将会导致大多数鱼类的死亡,池塘2主养品种乌鳢虽为耐低氧型经济鱼类,但持续低溶氧会影响其生长和摄食。
2.3 溶氧量预测模型构建为降低增氧机作业对溶氧量气象预报模型的负面影响,将养殖水体下层120 cm深度溶氧量作为预报对象,并剔除溶氧量样本中5 mg·L-1以上异常数据作为建模样本,随机抽样70%作为训练样本,其余30%为测试样本。通过R语言randomForest程序包节点纯度变化值排序来评估自变量对因变量影响的重要程度,节点纯度变化值越大,表明自变量对预测模型的误差影响越大,重要性越强。结果发现对溶氧量预测模型误差影响最大的前3个气象因子为E3、ps、tx2,节点纯度变化值分别为12.4、12.2和12.0(表 2);其次为tx3、t1、e2等气象因子,重要性评分位列前9的气象因子节点纯度变化值均在10以上,可见太阳总辐射辐照度、海平面气压、最高气温、水汽压是养殖池塘夏季溶氧量变化的主要限制因子,并具有较明显的滞后效应。
|
|
表 2 重要性评分(VIM)前9位的溶氧量气象影响因子 Table 2 Variable importance measures (VIM) of the top nine meteorological factors affecting dissolved oxygen |
预测模型中气象影响因子最优数量由randomForest程序包中rfcv函数确定,采用十折交叉验证误差曲线取舍气象因子,通过训练集交叉验证5次得到气象因子数量与误差拟合曲线(图 3),发现40~ 60个气象因子拟合效果最优,按重要性排序选择前50个气象因子进行RF-SVR池塘溶氧量建模。
|
图 3 溶氧量预测模型因子数量与误差曲线 Fig. 3 Factor quantity and error curve of dissolved oxygen prediction model |
从前9个气象影响因子与池塘溶氧量偏依赖关系图可知(图 4),溶氧量与3 h前的总辐射辐照度(E3)呈“钟型”响应关系,总辐射辐照度低于800 W· m-2时,其强度增加能提升光合作用、促进溶氧量上升;超过800 W·m-2后,浮游植物和水生植物达到光饱和点,光合速率不再提高,池塘溶氧量接近或超过饱和溶氧量上限,部分氧气通过水-气界面朝空气中逃逸,水生动物耗氧量增加,总辐射辐照度上升对溶氧量提升起负面效应。海平面气压ps、大气压强p与溶氧量大致呈线性正相关,根据亨利定律,在水温与盐度不变时,溶氧量与氧分压呈正相关,而氧分压与p直接相关,p越大,溶氧量越高;反之越低。tx2、tx3、t1等气温类因子与溶氧量关系复杂,32℃以下与溶氧量无明显线性关系,在33~37℃呈正相关,高于37℃呈负相关,推测气温升至30℃后,养殖户开启增氧机使池塘上下层对流,上层氧气扩散到中下层,气温越高增氧机开启时间越长,使气温在特定区间与溶氧量呈正相关或无明显关系;气温进一步升高,增氧效果削弱,溶解氧逸出导致溶氧量降低。其他如e2、td2等因子与溶氧量正相关具体影响机制不明。
|
图 4 重要性评分位列前9的气象因子与池塘溶氧量的偏依赖关系 注:曲线为局部加权多项式回归拟合线,阴影为95%置信区间。 Fig. 4 Partial dependence plots between the top nine meteorological factors by VIM and the dissolved oxygen in ponds |
将筛选的50个气象影响因子观测数据与养殖水体120 cm溶氧量组成数据集,随机抽样70%作为训练集,基于岭回归、Lasso回归、随机森林回归等7种方法建立夏季池塘溶氧量预测模型,剩余30%用于验证模型精度,并与RF-SVR模型进行性能对比(表 3)。结果表明,RF-SVR和随机森林回归模型得到的MAE和RMSE值最小,MAE分别为0.50 mg·L-1、0.54 mg·L-1,RMSE均为0.66 mg·L-1,表明模型预测值与实际值偏差小;随机森林回归和RF-SVR模型的NSE最优,均为0.63;线性回归模型和RF-SVR的R2最大,分别为0.91和0.77。综合上述模型性能评价指标,RF-SVR模型对夏季养殖水体溶氧量拟合效果好、偏差小,综合预测性能最优。
|
|
表 3 8种溶氧量预测模型性能评估 Table 3 Performance of eight dissolved oxygen prediction models |
从溶氧量预测模型的F统计量来看,仅有3种模型通过了0.05显著性水平F检验(F0.05=1.414),分别为线性回归(0.41)、RF-SVR(1.20)、逐步回归(1.36),即回归方程失拟情况不显著,可以认为这3种回归模型与实际情况符合。
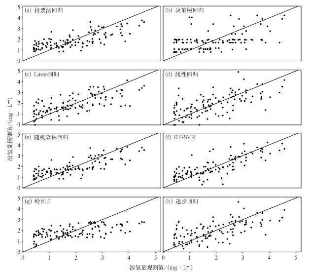
从各模型测试集数据验证结果来看(图 5),决策树回归、岭回归模型数据点沿y=x直线呈现非对称分布,表明模型预测值与实际值误差较大,决策树回归模型数据分布较分散且无明显规律,岭回归模型对于溶氧量3 mg·L-1以上样本模拟值偏低,对溶氧量1.5 mg·L-1以下样本模拟值偏高。投票法回归、随机森林回归等其余6种模型数据点均均匀分布在y=x直线两侧,但线性回归模型数据点较分散,投票法回归、Lasso回归、随机森林回归、逐步回归、RF-SVR等5种模型数据点沿y=x直线收敛,表明模型预测精度较高,但大部分模型对3.5 mg·L-1以上溶氧预测值偏小,相比之下RF-SVR预测结果更接近真实值。在溶氧量低于1.3 mg·L-1区间,除线性回归模型外,其余7种模型均有不同程度预测值偏高现象。整体而言,RF-SVR模型数据点在溶氧量观测样本区间沿y=x直线分布较均匀,预测精度相比其他模型较高,模拟效果较好,印证了RF-SVR在夏季养殖水体溶氧预测方面的实际应用效果。
|
图 5 8种溶氧量预测模型预测值与观测值 Fig. 5 Predicted values and observed values of eight dissolved oxygen prediction models |
为了评估RF-SVR溶氧量预报模型稳定性,将原始观测样本数据集进行十折交叉验证,即将样本随机均分成10份,每次取9份作为建模样本,剩下1份作为测试集样本,计算溶氧量预报模型的MAE、NSE、R2、RMSE值。从性能评估值可知(表 4),多次交叉验证中,除R2出现极大值(0.971)外,其余指标变化幅度均不大且模型性能评估效果较好。方差和变异系数通常用于描述单个数据集的绝对离散程度和相对离散程度,十折交叉验证得出RMSE和NSE的方差分别为0.013 mg2·L-2和0.006,RMSE和NSE变异系数分别为0.174和0.120,表明预测模型误差和拟合优度均与其均值偏离程度较小,预测模型较为稳定。
|
|
表 4 十折交叉验证RF-SVR溶氧量预测模型性能 Table 4 Ten-fold cross validation of the RF-SVR model performance |
选取宜城、远安、荆州、麻城、阳新分别作为湖北省五大分区(鄂西北、鄂西南、江汉平原、鄂东北、鄂东南)的代表站,利用2024年8月15—31日各代表站逐小时常规气象及太阳辐射数据进行溶氧量试报,并与试验点洪湖市大同湖农场溶氧量预报值进行对比。结果显示鄂西北、江汉平原、鄂东南逐小时溶氧量预报值范围在0.1~3.4 mg·L-1(图 6),中位数约为1.3 mg·L-1,均与洪湖市大同湖农场接近;鄂东北池塘溶氧量预报值在0.4~2.8 mg·L-1,中位数为1.37 mg·L-1,略低于洪湖市大同湖农场站;鄂西南池塘溶氧量预报值范围在1.3~1.7 mg·L-1,中位数为1.5 mg·L-1,与洪湖市大同湖农场站相差较大。湖北省五大分区代表站溶氧量预报值方差分别为0.616、0.002、0.451、0.268、0.526 mg2· L-2,变异系数为0.527、0.029、0.470、0.384、0.430,而洪湖市大同湖农场池塘溶氧量预报值方差为0.336 mg2·L-2、变异系数为0.421(图表略)。可见RF-SVR溶氧量预报模型在全省大部分地区均有较好适用性,但在鄂西南溶氧量预报模型差异较大,这可能与各地淡水养殖品种不同有关。
|
图 6 湖北省各分区与洪湖市大同湖农场溶氧量预测值箱线图 Fig. 6 Box plot of predicted dissolved oxygen in various districts of Hubei Province and in Datonghu Farm of Honghu City |
(1) 缺氧会使养殖水环境恶化,形成厌氧环境,导致水产养殖品种缺氧窒息死亡;厌氧环境下,CH4、H2S、NH3等还原性物质浓度上升(雷衍之,2004),对水产养殖品种产生毒害作用,加速其死亡,造成巨大经济损失。夏季水温高,有机质分解旺盛,水体溶氧量低,鱼体耗氧率上升(Zeng et al, 2010);此外白天水体热分层阻碍溶解氧垂直交换,造成上层富氧、下层缺氧(张运林,2015),夜间热分层消失加上水生生物耗氧导致水体缺氧,夏季泛塘占全年90%(丛万滋等,1999)。本研究通过江汉平原夏季不同天气养殖池塘原位监测试验发现,晴热天气白天水体溶氧量随水深增加而垂向递减,分层溶氧峰值差在5~9 mg· L-1,上午上层溶氧量伴随光合造氧增强迅速上升,17:00—20:00达到峰值7.7~13.9 mg· L-1,超过饱和溶氧质量浓度;中下层溶氧量因光合造氧弱、密度流阻碍,维持低溶氧;夜间无光合作用、溶氧量下降,热分层消失后各层溶氧垂向交换较为充分、溶氧量数值较为接近,03:00—08:00低于2 mg·L-1,泛塘高风险较高,也影响耐低氧鱼类生长摄食。研究还发现,2024年8月27—28日出现强降温寡照天气,池塘各层溶氧量均维持在2 mg·L-1以下、低溶氧状态,可见气温骤降导致池塘水温剧变、耗氧量急升及溶氧量骤降,这与前人研究(何永坤等,2002)发现夏季急剧降温会导致网箱鱼猝死结论一致。
(2) 支持向量机是基于结构风险最小化原则以及VC维概念的有限样本统计学习理论(Cherkassky and Mulier,1999;克里斯蒂亚尼尼和沙维-泰勒,2004),对非线性拟合问题泛化性能更优,可避免神经网络陷入局部最优,被广泛用于回归估计(朱国强等,2002)、储层预测(张尔华等,2011)、农业遥感(李俐等,2018)等领域。本研究基于随机森林-支持向量回归方法,建立夏季养殖水体120 cm深度溶氧量预报模型,分析气象因子与溶氧量偏依赖关系,发现溶氧量受E3、ps、tx2影响较大,即一定范围内太阳总辐射辐照度对溶氧量有持续正面效应,海平面气压上升使溶氧量增加,tx2与溶氧量呈分段特征关系可能是受到人工增氧因素干扰。入选因子含水汽压e、露点温度td等气象因子,物理机制尚不明,这与机器学习“黑箱模型”特点有关,机器学习建模普遍存在因子物理意义解释性受限问题(Mi et al, 2020),后期将通过SHAP(SHapley Additive exPlanation)等可解释方法提升模型的可解释性(赵诣和袁红春,2025)。此外,交叉验证误差分析显示,溶氧量气象预报因子数量在接近50个时误差最小,从预报因子相关系数图可知(图略),气压p与海平面气压ps、水汽压e与露点温度td、平均气温t与最高气温tx等系列因子显著相关,实际构建RF-SVR模型时,剔除共线性因子会使预报精度下降、MAE增大,RF-SVR模型虽牺牲传统模型简洁性,但提升了养殖池塘溶氧量类似非线性场景的预测能力。
(3) 夏季气温较高,养殖水体易缺氧,过多使用增氧设施会增加成本且不利于实现“双碳”目标,而旺盛生长期残饵粪便累积容易造成水质监测探头被藻类等附着而影响数据监测,因此减少对水质要素的依赖对于提升夏季溶解氧预测准确性、防范缺氧泛塘至关重要。本研究以气象要素为预报因子,基于RF-SVR方法建立夏季养殖水体溶氧量预报模型,并与岭回归等7种溶氧量预报模型进行模拟性能对比。独立样本检验表明,RF-SVR模型精度及误差优于其他7种模型,预测性能较好,可利用气象观测站数据开展溶氧量预测,为养殖池塘溶解氧调控及决策提供科学依据,为智慧渔业自动增氧系统提供技术支撑,降低了水质监测站建设及运维成本,还可利用未来一周精细化智能网格气象预报产品,提前开展水产养殖泛塘风险气象预警服务,提醒养殖户采取调节水质、加深水位、搭建遮阳棚、全池泼洒免疫增强剂等措施降低高温影响,在夏季夜间及低压、寡照天气加强巡塘,使用微孔增氧、化学增氧等措施保障溶氧。养殖水体溶氧量受气象、生态及人工增氧影响,本研究的模型建立的溶氧预报模型,实际预测精度会因水质、底泥厚度、养殖密度等情况而有所差异,后期将引入生态因子并优化参数改进模型。
4 结论(1) 夏季晴热高温天气,07:00—08:00起池塘分层溶氧量呈上升趋势,17:00—20:00达到峰值后开始下降且各层溶氧量逐渐接近,03:00—08:00分层溶氧量达日内最低;白天溶氧量随着水深增加整体垂向递减,以13:00—18:00差异最为明显。急剧降温寡照天气下,池塘分层溶氧量迅速下降至2 mg· L-1以下并维持低溶氧环境。
(2) 对溶氧量预测模型影响最大的前3个气象因子为E3(提前3 h总辐射辐照度)、ps(海平面气压)、tx2(提前2 h最高气温),节点纯度变化值分别为12.4、12.2、12.0,可见太阳总辐射辐照度、海平面气压、最高气温是夏季养殖池塘溶氧量变化的主要限制因子,并具有较明显的滞后效应。
(3) 基于随机森林-支持向量回归方法(RF-SVR)的养殖池塘夏季溶氧量气象预测模型,MAE、NSE、R2、RMSE分别为0.50 mg·L-1、0.63、0.77、0.66 mg·L-1,模拟精度及误差要优于其他7种模型,能够较好地服务于养殖池塘夏季溶氧量预测。
陈英义, 方晓敏, 梅思远, 等, 2020. 基于WT-CNN-LSTM的溶解氧含量预测模型[J]. 农业机械学报, 51(10): 284-291. Chen Y Y, Fang X M, Mei S Y, et al, 2020. Dissolved oxygen prediction model based on WT-CNN-LSTM[J]. Trans Chin Soc Agric Mach, 51(10): 284-291 (in Chinese).
|
丛万滋, 吴秀芹, 野庆民, 1999. 气象条件对城市水面泛塘的影响及对策[J]. 渔业现代化, 3(21): 21-23, 27. Cong W Z, Wu X Q, Ye Q M, 1999. The influence and countermeasures for fishpond suffocation caused by meteorological condition in urban water[J]. Fish Modernizat, 3(3): 21-23, 27 (in Chinese).
|
董婷, 任东, 孟令奎, 等, 2018. 基于阈值优化模糊投票法的农业旱情等级遥感评估[J]. 农业工程学报, 34(12): 137-145. Dong T, Ren D, Meng L K, et al, 2018. Remote sensing evaluation of drought degree based on threshold-optimized fuzzy majority voting model[J]. Trans Chin Soc Agric Eng, 34(12): 137-145 (in Chinese).
|
韩乐琼, 何晓凤, 张雪松, 等, 2023. 强风事件识别及预报订正方法研究[J]. 气象, 49(12): 1542-1552. Han L Q, He X F, Zhang X S, et al, 2023. Study of approach in identification and modification of gale event forecast[J]. Meteor Mon, 49(12): 1542-1552 (in Chinese). DOI:10.7519/j.issn.1000-0526.2023.051501
|
杭鑫, 曹云, 杭蓉蓉, 等, 2021. 基于随机森林算法与高分观测的太湖叶绿素a浓度估算模型[J]. 气象, 47(12): 1525-1536. Hang X, Cao Y, Hang R R, et al, 2021. Estimation model of chlorophyll-a concentration in Taihu Lake based on random forest algorithm and gaofen observations[J]. Meteor Mon, 47(12): 1525-1536 (in Chinese). DOI:10.7519/j.issn.1000-0526.2021.12.008
|
何永坤, 阳作明, 王裕文, 2002. 导致网箱鱼猝死的气象因素初析[J]. 气象, 28(12): 53. He Y K, Yang Z M, Wang Y W, 2002. The meteorological cause of sudden death of fish in mesh box[J]. Meteor Mon, 28(12): 53 (in Chinese). DOI:10.7519/j.issn.1000-0526.2002.12.014
|
宦娟, 刘星桥, 2016. 基于K-means聚类和ELM神经网络的养殖水质溶解氧预测[J]. 农业工程学报, 32(17): 174-181. Huan J, Liu X Q, 2016. Dissolved oxygen prediction in water based on K-means clustering and ELM neural network for aquaculture[J]. Trans Chin Soc Agric Eng, 32(17): 174-181 (in Chinese).
|
黄炜惠, 马春子, 李文攀, 等, 2021. 我国地表水溶解氧时空变化及其对全球变暖的响应[J]. 环境科学学报, 41(5): 1970-1980. Huang W H, Ma C Z, Li W P, et al, 2021. Spatial-temporal variations of dissolved oxygen and their response to global warming in China[J]. Acta Sci Circum, 41(5): 1970-1980 (in Chinese).
|
克里斯蒂亚尼尼N, 沙维-泰勒J. 2004. 支持向量机导论[M]. 李国正, 王猛, 曾华军, 译. 北京: 电子工业出版社: 18. Cristianini N, Shawe-Taylor J. 2004. An Introduction to Support Vector Machines and Other Kernel-based Learning Methods[M]. Li G Z, Wang M, Zeng H J, trans. Beijing: Publishing House of Electronics Industry: 18(in Chinese).
|
孔令晖, 罗明科, 余辉, 等, 2023. 长江中游湖南段湖泊重金属时空累积因素研究[J]. 中国环境科学, 43(4): 1812-1823. Kong L H, Luo M K, Yu H, et al, 2023. Spatial-temporal accumulation factors of heavy metals in Hunan lakes along the middle reach of the Yangtze River[J]. China Environ Sci, 43(4): 1812-1823 (in Chinese).
|
雷衍之, 2004. 养殖水环境化学[M]. 北京: 中国农业出版社: 35-42. Lei Y Z, 2004. Water Environmental Chemistry for Aquaculture[M].
Beijing: China Agricultural Press: 35-42 (in Chinese).
|
李俐, 孔庆玲, 王鹏新, 等, 2018. 基于时间序列Sentinel-1A数据的玉米种植面积监测研究[J]. 资源科学, 40(8): 1608-1621. Li L, Kong Q L, Wang P X, et al, 2018. Monitoring of maize planting area based on time-series Sentinel-1A SAR data[J]. Resour Sci, 40(8): 1608-1621 (in Chinese).
|
刘双印, 徐龙琴, 李道亮, 等, 2012. 基于蚁群优化最小二乘支持向量回归机的河蟹养殖溶解氧预测模型[J]. 农业工程学报, 28(23): 167-175. Liu S Y, Xu L Q, Li D L, et al, 2012. Dissolved oxygen prediction model of eriocheir sinensis culture based on least squares support vector regression optimized by ant colony algorithm[J]. Trans Chin Soc Agric Eng, 28(23): 167-175 (in Chinese).
|
罗孳孳, 方立魁, 武强, 等, 2024. 四川盆地东部再生稻高温伏旱区腋芽萌发期气象适宜度[J]. 气象, 50(4): 461-474. Luo Z Z, Fang L K, Wu Q, et al, 2024. Meteorological suitability of axillary bud germination stage in the high temperature and summer drought areas of ratoon rice in eastern Sichuan Basin[J]. Meteor Mon, 50(4): 461-474 (in Chinese). DOI:10.7519/j.issn.1000-0526.2023.053002
|
倪玉红, 孙擎, 王学林, 等, 2015. 盱眙龙虾池塘夏季水温与溶解氧变化特征及预报模型研究[J]. 中国农学通报, 31(32): 33-39. Ni Y H, Sun Q, Wang X L, et al, 2015. Changing characteristics and prediction model of water temperature and dissolved oxygen in Xuyi lobster pond in summer[J]. Chin Agric Sci Bull, 31(32): 33-39 (in Chinese).
|
秦鹏程, 刘志雄, 万素琴, 等, 2016. 基于决策树和随机森林模型的湖北油菜产量限制因子分析[J]. 中国农业气象, 37(6): 691-699. Qin P C, Liu Z X, Wan S Q, et al, 2016. Identification of yield limiting factors for oilseed rape in Hubei Province based on CART and random forest model[J]. Chin J Agrometeor, 37(6): 691-699 (in Chinese).
|
渠鸿宇, 胡海川, 黄彬, 2024. 基于SVM的我国北部沿岸海上风速估算方法研究[J]. 气象, 50(2): 221-233. Qu H Y, Hu H C, Huang B, 2024. Research on the estimation method of sea surface wind speed along the north coast of China based on SVM[J]. Meteor Mon, 50(2): 221-233 (in Chinese). DOI:10.7519/j.issn.1000-0526.2023.010901
|
单慧勇, 田云臣, 张仲雄, 等, 2018. 水产养殖多点水质监测与传感器清洁装置设计[J]. 渔业现代化, 45(3): 15-21. Shan H Y, Tian Y C, Zhang Z X, et al, 2018. Multi-point water quality monitoring and sensor cleaning device design in aquaculture[J]. Fish Modernizat, 45(3): 15-21 (in Chinese).
|
田盼, 宋林旭, 纪道斌, 等, 2022. 三峡库区神农溪不同时期溶解氧与叶绿素a垂向分布特征[J]. 水生态学杂志, 43(2): 1-8. Tian P, Song L X, Ji D B, et al, 2022. Vertical distributions of dissolved oxygen and chlorophyll-a in Shennong River above Three Gorges Reservoir at low and high water levels[J]. J Hydroecology, 43(2): 1-8 (in Chinese).
|
夏智宏, 刘敏, 秦鹏程, 等, 2023. 2022年长江流域高温干旱过程及其影响评估[J]. 人民长江, 54(2): 21-28. Xia Z H, Liu M, Qin P C, et al, 2023. Development process of high temperature and drought events over Yangtze River Basin in 2022 and assessment on its influences[J]. Yangtze River, 54(2): 21-28 (in Chinese).
|
杨明悦, 毛献忠, 2022. 基于变量重要性评分-随机森林的溶解氧预测模型——以深圳湾为例[J]. 中国环境科学, 42(8): 3876-3881. Yang M Y, Mao X Z, 2022. Dissolved oxygen prediction model based on variable importance measures and random forest: a case study of Shenzhen Bay[J]. China Environ Sci, 42(8): 3876-3881 (in Chinese).
|
杨雯倩, 史培军, 张钢锋, 等, 2022. 西安高温热害人口暴露量及其受灾指数预估研究[J]. 自然灾害学报, 31(1): 29-39. Yang W Q, Shi P J, Zhang G F, et al, 2022. Study of population exposure to extreme heat and the prediction of disaster index in Xi'an[J]. J Nat Disasters, 31(1): 29-39 (in Chinese).
|
袁红春, 毛瑞, 杨蒙召, 等, 2020. 基于XGBoost的溶解氧预测模型研究[J]. 传感器与微系统, 39(10): 51-53, 57. Yuan H C, Mao R, Yang M Z, et al, 2020. Research on dissolved oxygen prediction model based on XGBoost[J]. Transducer Microsyst Technol, 39(10): 51-53, 57 (in Chinese).
|
张尔华, 关晓巍, 张元高, 2011. 支持向量机模型在火山岩储层预测中的应用——以徐家围子断陷徐东斜坡带为例[J]. 地球物理学报, 54(2): 428-432. Zhang E H, Guan X W, Zhang Y G, 2011. Support vector machine in volcanic reservoir forecast: east slope in Xujiaweizi depression[J]. Chin J Geophys, 54(2): 428-432 (in Chinese).
|
张宁, 常清, 尹红, 等, 2022. 山西省夏季极端高温的时空变化及特征分析[J]. 自然灾害学报, 31(4): 116-124. Zhang N, Chang Q, Yin H, et al, 2022. Spatio-temporal variation and characteristic analysis of extreme high temperature in summer during 1971-2020 in Shanxi Province[J]. J Nat Disasters, 31(4): 116-124 (in Chinese).
|
张运林, 2015. 气候变暖对湖泊热力及溶解氧分层影响研究进展[J]. 水科学进展, 26(1): 130-139. Zhang Y L, 2015. Effect of climate warming on lake thermal and dissolved oxygen stratifications: a review[J]. Adv Water Sci, 26(1): 130-139 (in Chinese).
|
赵诣, 袁红春, 2025. 基于多通道单回归的太平洋长鳍金枪鱼渔场预测模型与可解释性研究[J]. 水生生物学报, 49(3): 15-27. Zhao Y, Yuan H C, 2025. Prediction of pacific thunnus alalunga fishery based on multiple channel single regression module with explainability[J]. Acta Hydrobiol Sin, 49(3): 15-27 (in Chinese).
|
朱国强, 刘士荣, 俞金寿, 2002. 支持向量机及其在函数逼近中的应用[J]. 华东理工大学学报, 28(5): 555-559, 568. Zhu G Q, Liu S R, Yu J S, 2002. Support vector machine and its applications to function approximation[J]. J East China Univ Sci Technol, 28(5): 555-559, 568 (in Chinese).
|
Cao X K, Liu Y R, Wang J P, et al, 2020. Prediction of dissolved oxygen in pond culture water based on K-means clustering and gated recurrent unit neural network[J]. Aquacult Eng, 91: 102122. DOI:10.1016/j.aquaeng.2020.102122
|
Chen W B, Liu W C, 2014. Artificial neural network modeling of dissolved oxygen in reservoir[J]. Environ Monit Assess, 186(2): 1203-1217. DOI:10.1007/s10661-013-3450-6
|
Cherkassky V, Mulier F, 1999. Vapnik-Chervonenkis (VC) learning theory and its applications[J]. IEEE Trans Neural Netw, 10(5): 985-987. DOI:10.1109/TNN.1999.788639
|
Deborah C, 1996. Water Quality Assessments: A Guide to the Use of Biota, Sediments and Water in Environmental Monitoring-Second Edition[M].
London: E&FN Spon: 72-74.
|
Friedman J, Hastie T, Tibshirani R, 2010. Regularization paths for generalized linear models via coordinate descent[J]. J Stat Softw, 33(1): 1-22.
|
Huan J, Cao W J, Liu X Q, 2017. A dissolved oxygen prediction method based on K-means clustering and the ELM neural network: a case study of the Changdang Lake, China[J]. Appl Eng Agric, 33(4): 461-469. DOI:10.13031/aea.11786
|
Lipizer M, Partescano E, Rabitti A, et al, 2014. Qualified temperature, salinity and dissolved oxygen climatologies in a changing Adriatic Sea[J]. Ocean Sci, 10(5): 771-797. DOI:10.5194/os-10-771-2014
|
Liu S Y, Xu L Q, Jiang Y, et al, 2014. A hybrid WA-CPSO-LSSVR model for dissolved oxygen content prediction in crab culture[J]. Eng Appl Artif Intell, 29: 114-124. DOI:10.1016/j.engappai.2013.09.019
|
Mi J X, Li A D, Zhou L F, 2020. Review study of interpretation methods for future interpretable machine learning[J]. IEEE Access, 8: 191969-191985. DOI:10.1109/ACCESS.2020.3032756
|
Poulson S R, Sullivan A B, 2010. Assessment of diel chemical and isotopic techniques to investigate biogeochemical cycles in the upper Klamath River, Oregon, USA[J]. Chem Geol, 269(1-2): 3-11. DOI:10.1016/j.chemgeo.2009.05.016
|
Rahman A, Dabrowski J, McCulloch J, 2020. Dissolved oxygen prediction in prawn ponds from a group of one step predictors[J]. Inform Process Agric, 7(2): 307-317.
|
Xiao R C, Wei Y G, An D, et al, 2019. A review on the research status and development trend of equipment in water treatment processes of recirculating aquaculture systems[J]. Rev Aquacult, 11(3): 863-895. DOI:10.1111/raq.12270
|
Xiao Z, Peng L X, Chen Y, et al, 2017. The dissolved oxygen prediction method based on neural network[J]. Complexity, 2017(1): 4967870.
|
Zeng L Q, Zhang Y G, Cao Z D, et al, 2010. Effect of temperature on excess post-exercise oxygen consumption in juvenile southern catfish (Silurus meridionalis Chen) following exhaustive exercise[J]. Fish Physiol Biochem, 36(4): 1243-1252. DOI:10.1007/s10695-010-9404-9
|
Zhu X N, Li D L, He D X, et al, 2010. A remote wireless system for water quality online monitoring in intensive fish culture[J]. Comput Electron Agric, 71(S1): S3-S9.
|
2025, Vol. 51 
