2. 亚太台风研究中心, 上海 201306;
3. 中国气象局台风数值预报重点实验室, 上海 200030
2. Asia-Pacific Typhoon Collaborative Research Center, Shanghai 201306;
3. Key Laboratory of Numerical Modeling for Tropical Cyclone, CMA, Shanghai 200030
我国是世界上受自然灾害影响最严重的国家之一,其中台风是致灾因素中最重要的组成部分。2023年西北太平洋和南海共有17个台风活动,其中热带风暴级3个,强热带风暴级3个,台风级1个,强台风级2个,超强台风级8个,共有6个台风登陆我国,登陆地段集中,深入内陆,影响范围广,灾害影响重(聂高臻等,2025)。
精准台风预报是有效防御台风灾害、减轻灾害损失的基石。近百年来,中国台风预报技术经历了数个主要发展阶段,如看云识天、天气图分析、半客观天气学预报、客观统计预报、数值预报及其集成应用等(余晖等,2025)。21世纪初以来,台风数值预报技术得到了快速发展,适用于“灰区”尺度分辨率的台风模式物理过程参数化方案(Zhang et al,2023;朱雪松等,2024)和高分辨率台风资料同化的技术(Luo et al,2022)是目前阶段研究的重点(余晖等,2025)。台风确定性数值预报技术发展的同时,台风集合预报技术也得到了发展,为台风预报的不确定性提供了量化估计(张璟等,2022)。中国集合预报业务实现了从早期以引进集成为主的谱模式集合预报,到自主可控的全球/区域同化集合预报系统的跨越(陈静和李晓莉,2020;陈静等,2025)。初值扰动技术从集合变换卡尔曼滤波法(马旭林等,2008;张涵斌等,2017),升级为多尺度奇异向量初值扰动方法(叶璐等,2020),同时采用随机扰动物理过程倾向项方案和随机动能补偿方案结合的方法产生模式扰动,推动中国集合预报水平的进步(陈静和李晓莉,2020;沈学顺等,2020;陈静等,2025)。
随着综合探测体系和数值预报技术的不断进步完善,近十几年来中央气象台的台风路径业务预报水平进展显著,但台风强度预报进展相对较慢(李泽椿等,2020)。台风预报检验是促进台风预报模式发展、提升模式预报产品可靠性的重要依据,也为有效订正模式提供参考(程正泉和廖代强,2012;潘留杰等,2014;漆梁波,2015;陈笑等,2018)。为客观评估台风业务预报能力,自1988年起,上海台风研究所受委托每年对全国台风业务定位和定强,以及预报精度进行年度评定(雷小途,2021)。延续历年评估框架(陈国民等,2021;2022;杨梦琪等,2023;2024),本文针对2023年西北太平洋和南海海域的17个台风,评定台风业务定位和定强精度,以及路径和强度预报精度,旨在让业务和科研人员系统了解2023年台风业务预报方法的性能。
1 资料与方法 1.1 资料评定依据为中国气象局台风最佳路径数据集(https://tcdata.typhoon.org.cn/zjljsjj.html),该数据集包含台风逐6 h的位置和强度。自2018年起,对于登陆我国的台风,在其登陆我国前24 h和在我国陆地活动的期间,台风位置和强度频次为逐3 h一次(Ying et al,2014;Lu et al,2021)。
纳入评定的主观和客观预报方法汇总于表 1,涵盖5个官方台风预报机构、14个确定性客观预报方法(含5个全球数值预报模式、4个区域数值预报模式和5个统计预报方法),以及6个集合预报模式。统计预报方法中SSTC、FJOP和JSPC是台风路径预报方法,WIPS是台风强度预报方法,以及利用其他统计预报方法、数值模式和官方台风预报机构对台风路径和强度进行预报。
|
|
表 1 参加评定的主观和客观方法汇总 Table 1 Subjective and objective forecast methods for evaluation |
台风定位、定强及预报精度评定参照《台风业务和服务规定》(中国气象局,2012)中的台风分析和预报质量评定方法。
2 台风定位定强精度评定表 2汇总了官方台风预报机构(CMA、JMA、JTWC、KMA和HKO)对2023年台风的定位平均误差以及定强平均绝对误差,其中CMA的定位平均误差为12.4 km,定强平均绝对误差为1.7 m· s-1。同样本比较显示,CMA对台风的定位和定强性能保持最优。2021—2023年各机构的定位平均误差整体呈持续下降趋势(图 1a),2023年定位平均误差介于12.4~19.1 km,总体平均为17.1 km,较2022年的22.3 km改进了23.3%。相比之下,各机构2023年的定强平均绝对误差相比2022年没有保持同比减小,2023年定强平均绝对误差介于1.7~4.0 m·s-1,总体平均升至2.8 m·s-1。除了JTWC以外,其他4个机构的2023年定强平均绝对误差均高于2021年和2022年(图 1b),较2022年增幅0.4~1.2 m·s-1。
|
|
表 2 官方台风预报机构对2023年台风的定位平均误差和定强平均绝对误差 Table 2 Official typhoon forecasting agencies' mean position estimation errors and mean absolute intensity estimation errors for TCs in 2023 |
|
图 1 2021—2023年官方台风预报机构对台风的(a)年度定位平均误差和(b)年度定强平均绝对误差 Fig. 1 (a) Annual mean position estimation errors and (b) annual mean absolute intensity estimation errors for TCs by each official typhoon forecasting agencies during 2021-2023 |
将最佳路径台风强度按照热带风暴、强热带风暴、台风、强台风、超强台风等级进行分类。图 2为2021—2023年CMA在各台风强度等级的定位样本占比和定位平均误差,结果表明:CMA定位平均误差与台风强度等级大体呈负相关,2023年热带风暴样本的占比减小且热带风暴等级定位平均误差减小是全年定位平均误差减小的原因之一。
|
图 2 2021—2023年CMA在各台风强度等级的定位样本占比(柱状)和定位平均误差(折线) Fig. 2 Sample proportions (bar chart) and mean errors (line chart) of position estimation at each typhoon intensity grade by CMA during 2021-2023 |
表 3为2023年各预报方法各预报时效的路径预报平均误差。5个官方台风预报机构24、48、72、96和120 h路径预报平均误差区间分别为60.1~67.3、108.0~117.7、164.0~179.6、236.7~269.0和328.5~364.6 km,24 h路径预报平均误差同比减小12~17 km不等,其中CMA 24 h路径预报平均误差同比减小12 km。全球模式的路径预报性能的差异随预报时效的增长而加大,区域模式中CMA-TRAMS 48、60、72 h的路径预报性能相比全球模式存在一定优势,只有CMA-TRAMS 48 h路径预报平均误差小于100 km。统计方法中,SSTC路径预报平均误差较小,24、48、72 h路径预报平均误差分别在50、100、150 km以内。
|
|
表 3 2023年主观和客观预报方法各预报时效的台风路径预报平均误差(单位:km) Table 3 TC mean track forecast errors with each lead time by subjective and objective forecast methods in 2023 (unit: km) |
路径预报同样本平均误差(表略)表明:全球模式中ECMWF-IFS各预报时效的路径预报平均误差最小,其次为NCEP-GFS。区域模式中CMA-TRAMS各预报时效的路径预报平均误差最小,我国区域模式路径预报平均误差均小于国外区域模式HWRF。
图 3展示了官方台风预报机构(图 3a~3c)、全球模式和区域模式(图 3d~3f)历年的路径预报平均误差演变趋势,主观预报和客观预报方法历年的路径预报平均误差变化趋势大体一致。2008—2013年,官方台风预报机构和数值预报模式24、48、72 h路径预报平均误差总体呈减小趋势,官方台风预报机构24、48、72 h路径预报平均误差先后于2012—2013年首次分别向下突破100、150、250 km。此后至2022年,官方台风预报机构和数值预报模式的路径预报平均误差整体呈波动状态,2022年路径预报平均误差较2021年有所回落,2023年路径预报平均误差再度减小,2023年官方台风预报机构和部分数值预报模式24 h路径预报平均误差创历史新低。
|
图 3 2008—2023年(a~c)主观和(d~f)客观预报方法的历年24、48、72 h预报时效台风路径预报平均误差 Fig. 3 Annual mean track forecast errors for TCs with 24, 48, 72 h lead time by (a-c) subjective and (d-f) objective forecast methods during 2008-2023 |
相对于台风路径预报气候持续方法(中国气象局,2012),2023年参加评定的台风路径预报方法在24、48和72 h展现出正预报技巧评分(表 4),5个官方台风预报机构24、48和72 h路径预报技巧评分区间分别为62.2%~68.5%、63.5%~70.2%、62.5%~69.2%,客观预报方法24、48和72 h路径预报技巧评分区间分别为58.8%~74.9%、60.3%~ 74.3%、55.8%~75.2%,其中SSTC的24、48和72 h路径预报技巧评分均在70%以上。
|
|
表 4 2023年主观和客观预报方法的台风路径预报技巧评分(单位:%) Table 4 TC track forecast skill scores (unit: %) by subjective and objective forecast methods in 2023 |
2010—2017年各预报方法相对于气候持续法的路径预报技巧整体呈现缓慢上升的趋势,2017—2023年路径预报技巧评分变化幅度不大,2023年路径预报技巧评分较2022年普遍略有所下降(图略)。
在台风业务预报中,由于数值模式运行、后处理以及资料传输等耗时原因,数值模式预报产品的获取滞后于数值模式的起报时刻(钱奇峰等,2014;危国飞等,2021)。因此,预报员在制作当前起报时刻的业务预报时,主要参考数值模式前一起报时刻的预报结果。以12 h为起报间隔的数值模式为例,预报员在00 UTC制作24 h时效的台风路径与强度预报,所参考的数值模式的起报时刻为前一天12 UTC,相当于参考数值模式的36 h时效的预报(钱奇峰等,2014)。
为了定量评估预报员对数值模式的台风路径预报的订正水平,以2023年全球模式中路径预报平均误差最小的ECMWF-IFS为基准,将官方台风预报机构发布的24、48、72、96、120 h路径预报分别与ECMWF-IFS的36、60、84、108、132 h路径预报进行同样本比较,计算对应的技巧评分。结果表明:5个官方台风预报机构的24、48、72、96、120 h路径预报分别相对于ECMWF-IFS的36、60、84、108、132 h路径预报的技巧评分依次为10.2%~21.2%、15.5%~23.0%、10.9%~16.2%、6.6%~12.9%和6.5%~14.4%,技巧评分随预报时效呈现“先升-后降-趋稳”的三段式演变:24 h和48 h,技巧评分有所增大,主观订正的增益增强;48、72、96 h,技巧评分呈线性递减,96 h技巧评分小于24 h技巧评分;96 h和120 h,技巧评分区间的变动幅度小于2%,技巧评分趋于稳定。以上结果表明,预报员对数值预报的订正有效提升了台风路径预报的准确性。
3.1.3 综合评定指标台风路径预报的综合评定指标由6个要素加权构成,分别为方向稳定度、距离稳定度*、有效稳定度、变速灵敏度、转向灵敏度,以及相对于气候持续法的归一化技巧评分,对应权重依次为0.2、0.2、0.3、0.1、0.1、0.1,称为一级综合评定指标。再将24 h与48 h的一级综合评定指标分别赋权重0.4与0.6,得到二级综合评定指标(中国气象局,2012)。
*定义2023年距离稳定度的距离上限ε24 h为100 km, ε48 h为200 km
2023年5个官方台风预报机构二级综合评定值的区间为0.81~0.84,客观预报方法二级综合评定值的区间为0.78~0.89。CMA-TRAMS和SSTC的二级综合评定值较高,分别为0.89和0.88(表略)。
2023年官方台风预报机构24 h要素中,方向稳定度最高、变速灵敏度最低。具体分析如下:距离稳定度为0.79~0.85,表明24 h路径预报误差小于100 km的样本占比为79%~85%。方向稳定度为0.93~0.97,表明预报路径和实际路径在纬向或经向、或经纬向一致的样本占比为93%~97%,该指标体现了台风移动方向预报的高精度。转向灵敏度为0.70~0.78,表明转向预报正确的样本占比为70%~78%。变速灵敏度为0.61~0.67,表明对突然加速(后24 h平均移速>前24 h平均移速的两倍)或突然减速(后24 h平均移速<前24 h平均移速的一半)预报正确的样本占比为61%~67%,该指标相对较低,亟待发展台风移速突变的预报技术。
3.1.4 登陆点预报误差2023年共有6个台风先后12次登陆我国,登陆点集中在华南地区。2304号台风“泰利”先后登陆。2次,2305号超强台风“杜苏芮”登陆1次,2309号超强台风“苏拉”登陆1次,2311号强台风“海葵”先后登陆4次,2314号超强台风“小犬”登陆1次,2316号强热带风暴“三巴”先后登陆3次。
表 5为2023年各预报方法的登陆点预报误差。结果表明:除JMA外,其他机构和预报方法对“苏拉”在广东阳江的24 h登陆点预报误差较大。“苏拉”在菲律宾以东洋面呈现南折、打转的异常路径,随后趋向我国广东。在“苏拉”登陆前24 h,其移动方向与海岸线形成的夹角较小。在“苏拉”与“海葵”产生的双台风效应、弱引导气流,以及台风移动方向与海岸线夹角较小等因素的共同影响下,导致“苏拉”的登陆点预报难度加大。除“苏拉”和“三巴”外,CMA对其他台风24 h以内登陆点预报误差范围为5~45 km,且登陆点预报误差普遍小于其他官方台风预报机构。客观预报方法中,CMA-GFS对“杜苏芮”在福建晋江的登陆点预报误差小于其他全球模式。CMA-TRAMS和FJOP对“海葵”在台湾台东的登陆点预报最为理想。SSTC对“杜苏芮”在福建晋江和“海葵”在福建东山的登陆点预报最为理想。此外,CMA-TRAMS和CMA-TYM分别成功预报出了“三巴”在广东遂溪和海南临高的登陆点。
|
|
表 5 2023年主观和客观预报方法的台风登陆点预报误差(单位:km) Table 5 Forecast errors of landfall points for TCs by subjective and objective methods in 2023 (unit: km) |
2023年6个集合预报系统的台风集合平均路径预报误差显示(图 4),各系统间的平均误差差异随预报时效增长而加大,24、48、72、96和120 h集合平均路径预报误差的区间分别为49.2~82.4、96.3~151.4、153.2~229.9、235.7~320.9、325.3~ 471.8 km,其中ECMWF-EPS的集合平均路径预报误差为各预报时效误差区间的下限(图 4a)。同样本比较表明(图 4b):ECMWF-EPS各预报时效的集合平均路径预报误差最小,其次为NCEP-GEFS和STI-TEDAPS,MSC-CENS、JMA-GEPS和UKMO-EPS集合平均路径预报误差相对较大。
|
图 4 2023年集合预报系统各预报时效的(a)非同样本和(b)同样本的台风集合平均路径预报误差 Fig. 4 TC ensemble mean track forecast errors with each lead time for (a) non-homogeneous and (b) homogeneous comparison by ensemble prediction systems in 2023 |
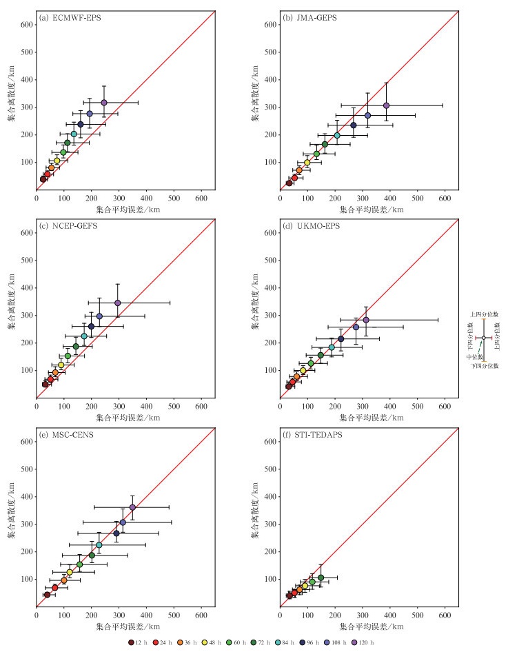
图 5以双向分位图形式展示2023年各集合预报系统的台风集合平均路径预报误差和集合离散度,如果集合平均预报误差低于(高于)集合离散度,即对应高估(低估)路径不确定性。2023年,MSC-CENS(图 5e)对路径不确定性刻画得当,ECMWF-EPS(图 5a)与NCEP-GEFS(图 5c)高估了路径不确定性,而JMA-GEPS(图 5b)、UKMO-EPS(图 5d)以及STI-TEDAPS(图 5f)随着预报时效增长则低估了路径不确定性。
|
图 5 2023年集合预报系统各预报时效的台风集合平均路径预报误差和集合离散度双向分位图 Fig. 5 Bi-directional quantile plot of TC ensemble mean track forecast errors and ensemble spreads with each lead time by ensemble prediction systems in 2023 |
表 6汇总了2023年各主观和客观预报方法对台风强度(台风底层中心附近最大平均风速)预报的平均绝对误差(MAE)、预报趋势一致率(RCT)和均方根误差(RMSE)。其中,RCT用于衡量强度变化趋势的预报准确性,定义为实况强度变化和预报强度变化的同号率。RCT越高,表明预报趋势与实况越吻合。由表 6可见, 5个官方台风预报机构全年24、48、72、96和120 h强度预报MAE区间分别为4.4~6.3、5.7~7.9、6.2~8.7、7.0~9.5、7.5~ 10.6 m·s-1。全球模式强度预报误差的差异较大,其中NCEP-GFS各预报时效的MAE和RMSE较小,RCT相对较高。全球模式中JMA-GSM略微倾向于高估台风强度,CMA-GFS、NCEP-GFS、ECMWF-IFS、UKMO-MetUM倾向于低估台风强度。除了NCEP-GFS之外,区域模式和统计方法的台风强度预报性能普遍优于全球模式。区域模式中CMA-TYM和HWRF各预报时效的MAE较小,此外HWRF各预报时效的RCT高于其他客观预报方法。统计方法中,ANNGA的MAE和RMSE较小且RCT较高。
|
|
表 6 2023年主观和客观预报方法各预报时效对台风强度预报平均绝对误差、预报趋势一致率和均方根误差 Table 6 MAE, RCT and RMSE of TC intensity forecasts with each lead time by subjective and objective forecast methods in 2023 |
强度预报同样本MAE(表略)表明:全球模式中,NCEP-GFS各预报时效强度预报MAE最小。区域模式中,CMA-TYM 96 h及以内强度预报MAE普遍最小,HWRF 96 h以上强度预报MAE最小。
纵向比较各预报方法历年强度预报的MAE(图 6),结果表明:2023年各预报方法的强度预报MAE较2022年有不同程度的增大或减小。长时间序列来看,各主观预报和客观预报方法的强度预报性能在2017年有较大幅度提升,但随后几年强度预报误差整体没有明显减小。近5年(2019—2023年),主观预报24、48和72 h强度预报MAE大体在4~6、5~8、5~9 m·s-1左右,官方台风预报机构中CMA强度预报MAE相对较小,区域模式和全球模式中CMA-TYM、HWRF和NCEP-GFS强度预报MAE相对较小。
|
图 6 2011—2023年(a~c)主观和(d~f)客观预报方法的历年24、48、72 h预报时效的台风强度预报平均绝对误差 Fig. 6 Annual mean absolute errors of intensity forecasts for TCs with 24, 48 and 72 h lead time by (a-c) subjective and (d-f) objective forecast methods during 2011-2023 |
2023年5个官方台风预报机构24、48和72 h相对于台风强度预报气候持续法(中国气象局,2012)的强度预报技巧评分均表现出了正技巧水平(表 7),24、48和72 h强度预报技巧评分区间分别为13.6%~40.1%、26.1%~47.8%、24.5%~48.2%。对于24、48和72 h强度预报技巧评分,全球模式中只有NCEP-GFS均达到了正技巧(24、48和72 h技巧评分分别为13.5%、31.3%和33.4%),区域模式中CMA-TRAMS、CMA-TYM、HWRF和所有统计预报方法(ANNGA和WIPS)均达到了正技巧。区域模式中CMA-TYM和HWRF,以及统计方法中ANNGA的技巧评分相对较高。2010—2020年各主观预报和客观预报方法的强度预报技巧整体呈现缓慢上升的趋势,2020—2023年强度预报技巧评分没有提高,2023年24 h强度预报技巧较2022年普遍有所下降(图略)。
|
|
表 7 2023年主观和客观预报方法的台风强度预报技巧评分(单位:%) Table 7 TC intensity forecast skill scores (unit: %) by subjective and objective forecast methods in 2023 |
为了定量评估预报员对数值模式的台风强度预报的订正水平,以2023年全球模式中强度预报平均误差最小的NCEP-GFS为基准,将官方台风预报机构发布的24、48、72、96、120 h强度预报分别与NCEP-GFS的36、60、84、108、132 h强度预报进行同样本比较,计算对应的技巧评分。结果表明(表略):5个官方台风预报机构的24、48、72、96、120 h强度预报分别相对于NCEP-GFS的36、60、84、108、132 h强度预报的技巧评分依次为4.3%~21.4%、-1.2%~20.5%、1.1%~21.6%、2.0%~23.5%和6.8%~27.1%。除KMA以外,其他官方台风预报机构各预报时效相对于NCEP-GFS的技巧评分均高于5%,且CMA、HKO和JTWC的技巧评分整体高于JMA和KMA。
4.2 集合预报图 7为集合预报系统各预报时效的台风集合平均强度预报误差,集合预报系统的强度预报误差的差异显著,24、48、72、96和120 h集合平均强度预报误差的区间分别为8.4~16.5、9.1~18.4、9.6~19.9、11.6~19.6、11.2~18.4 m·s-1(图 7a)。同样本比较表明(图 7b):NCEP-GEFS和STI-TEDAPS集合平均强度预报误差较小,其次为ECMWF- EPS和JMA-GEPS,MSC-CENS和UKMO-EPS集合平均强度预报误差较大。
|
图 7 2023年集合预报系统各预报时效的(a)非同样本和(b)同样本的台风集合平均强度预报误差 Fig. 7 TC ensemble mean intensity forecast errors with each lead time for (a) non-homogeneous and (b) homogeneous comparison by ensemble prediction systems in 2023 |
2023年西北太平洋及南海台风的业务定位、定强精度,以及路径与强度预报性能如下:
(1) 2023年官方台风预报机构的台风定位精度相比2022年均有所提高,定强精度有所下降,CMA对台风的定位与强度性能优于其他官方机构。CMA的定位平均误差随台风强度等级的升高而减小,2023年热带风暴样本的占比减小且热带风暴等级定位精度提高是全年定位平均误差减小的原因之一。
(2) 2023年官方台风预报机构24 h路径预报平均误差创历史新低,主观和客观预报方法24、48、72 h预报时效的台风路径预报平均误差低于2022年,其中CMA 24 h路径预报平均误差同比减小12 km。2023年,确定性全球模式中ECMWF-IFS路径预报平均误差最小,其次为NCEP-GFS。确定性区域模式中CMA-TRAMS路径预报平均误差最小,且CMA-TRAMS 48、60和72 h的路径预报性能相比全球模式存在一定优势,此外我国区域模式路径预报平均误差均小于国外区域模式。集合预报系统中ECMWF-EPS集合平均路径预报误差最小,其次为NCEP-GEFS和STI-TEDAPS,但ECMWF- EPS和NCEP-GEFS高估了路径不确定性,而STI-TEDAPS则低估了路径不确定性。各主观预报和客观预报方法对2309号超强台风“苏拉”在广东阳江的24 h登陆点预报误差普遍较大。2010—2017年主观预报和客观预报方法相对于气候持续法的路径预报技巧整体呈现缓慢上升的趋势,2017—2023年路径预报技巧评分变化幅度不大。
(3) 2019—2023年官方台风预报机构24、48和72 h强度预报平均绝对误差大体为4~6、5~8、5~9 m·s-1左右。2023年,确定性全球模式中NCEP-GFS强度预报MAE最小且强度预报技巧评分相对较高,但是倾向于低估台风强度。确定性区域模式中CMA-TYM 96 h及以内强度预报MAE普遍最小,HWRF 96 h以上强度预报MAE最小。集合预报系统中NCEP-GEFS和STI-TEDAPS集合平均强度预报误差较小。2010—2020年主观预报和客观预报方法的强度预报技巧整体呈现缓慢上升的趋势,2020—2023年强度预报技巧评分没有提高。
陈国民, 杨梦琪, 张喜平, 等, 2022. 2020年西北太平洋和南海台风预报精度评定[J]. 气象, 48(4): 516-525. Chen G M, Yang M Q, Zhang X P, et al, 2022. Verification on forecasts of typhoons over western North Pacific and South China Sea in 2020[J]. Meteor Mon, 48(4): 516-525 (in Chinese). DOI:10.7519/j.issn.1000-0526.2022.022101
|
陈国民, 张喜平, 杨梦琪, 等, 2021. 2019年西北太平洋和南海台风预报精度评定[J]. 气象, 47(10): 1266-1276. Chen G M, Zhang X P, Yang M Q, et al, 2021. Verification on forecasts of typhoons over western North Pacific and South China Sea in 2019[J]. Meteor Mon, 47(10): 1266-1276 (in Chinese). DOI:10.7519/j.issn.1000-0526.2021.10.009
|
陈静, 李晓莉, 2020. GRAPES全球/区域集合预报系统10年发展回顾及展望[J]. 气象科技进展, 10(2): 9-18, 29. Chen J, Li X L, 2020. The review of 10 years development of the GRAPES global/ regional ensemble prediction[J]. Adv Meteor Sci Technol, 10(2): 9-18, 29 (in Chinese).
|
陈静, 朱跃建, 段晚锁, 等, 2025. 集合预报进展、挑战及展望[J]. 气象学报, 83(3): 480-502. Chen J, Zhu Y J, Duan W S, et al, 2025. A review on development, challenges, and future perspectives of ensemble forecast[J]. Acta Meteor Sin, 83(3): 480-502 (in Chinese).
|
陈笑, 赵东, 何晓凤, 等, 2018. 基于MODE对模式预报强风风场的检验分析[J]. 气象, 44(8): 1009-1019. Chen X, Zhao D, He X F, et al, 2018. Evaluation and analysis of model forecast performance of high wind based on MODE method[J]. Meteor Mon, 44(8): 1009-1019 (in Chinese). DOI:10.7519/j.issn.1000-0526.2018.08.003
|
程正泉, 廖代强, 2012. 数值天气预报模式产品在预报业务中的应用[J]. 广东气象, 34(4): 1-5, 9. Cheng Z Q, Liao D Q, 2012. Applications of numerical weather prediction model in forecast practices[J]. Guangdong Meteor, 34(4): 1-5, 9 (in Chinese).
|
郭蓉, 余晖, 漆梁波, 等, 2019. 台风路径多模式集成预报技术研究[J]. 气象科学, 39(6): 839-846. Guo R, Yu H, Qi L B, et al, 2019. A study on multi-model ensemble forecast technique for typhoon track[J]. Sci Meteor Sin, 39(6): 839-846 (in Chinese).
|
黄颖, 黄小燕, 赵华生, 等, 2024. 基于遗传神经网络方法的2309号台风"苏拉"路径和强度预报分析[J]. 气象研究与应用, 45(2): 109-113. Huang Y, Huang X Y, Zhao H S, et al, 2024. Analysis of the track and intensity of Typhoon "Saola"(2309) based on the genetic neural network method[J]. J Meteor Res Appl, 45(2): 109-113 (in Chinese).
|
金龙, 黄颖, 姚才, 等, 2020. 人工智能技术的热带气旋预报综述(之一)——BP神经网络和集成方法的热带气旋预报研究和业务应用[J]. 气象研究与应用, 41(2): 1-6. Jin L, Huang Y, Yao C, et al, 2020. A review of tropical cyclone forecast based on artificial intelligence(part 1)-BP neural network and ensemble method for tropical cyclone forecast research and operational application[J]. J Meteor Res Appl, 41(2): 1-6 (in Chinese).
|
雷小途, 2021. 中国台风联防与科研协作及其对中国台风学科发展的作用综述[J]. 气象学报, 79(3): 531-540. Lei X T, 2021. Overview of typhoon prevention and cooperative research and their contribution to typhoon study in China[J]. Acta Meteor Sin, 79(3): 531-540 (in Chinese).
|
李泽椿, 张玲, 钱奇峰, 等, 2020. 中央气象台台风预报业务的发展及思考[J]. 大气科学学报, 43(1): 10-19. Li Z C, Zhang L, Qian Q F, et al, 2020. The development and consideration of typhoon forecast operation of National Meteorological Center[J]. Trans Atmos Sci, 43(1): 10-19 (in Chinese).
|
麻素红, 沈学顺, 龚建东, 等, 021a. .国家气象中心台风数值预报系统的发展[J]. 气象, 47(6): 685-692. Ma S H, Shen X S, Gong J D, et al, 021a. Development of typhoon numerical prediction system in National Meteorological Centre[J]. Meteor Mon, 47(6): 685-692 (in Chinese).
|
麻素红, 张进, 瞿安祥, 等, 2021b. 垂直分层加密和预报区域扩大对GRAPES_TYM台风预报的影响[J]. 气象学报, 79(1): 94-103. Ma S H, Zhang J, Qu A X, et al, 2021b. Impacts to tropical cyclone prediction of GRAPES_TYM from increasing of model vertical levels and enlargement of model forecast domain[J]. Acta Meteor Sin, 79(1): 94-103 (in Chinese).
|
马旭林, 薛纪善, 陆维松, 2008. GRAPES全球集合预报的集合卡尔曼变换初始扰动方案初步研究[J]. 气象学报, 66(4): 526-536. Ma X L, Xue J S, Lu W S, 2008. Preliminary study on ensemble transform Kalman filter-based initial perturbation scheme in GRAPES global ensemble prediction[J]. Acta Meteor Sin, 66(4): 526-536 (in Chinese).
|
聂高臻, 许映龙, 王海平, 2025. 2023年西北太平洋台风活动特征和预报难点分析[J]. 气象, 51(3): 369-381. Nie G Z, Xu Y L, Wang H P, 2025. Analysis of the characteristics and forecast difficulties of typhoon activities in the western North Pacific in 2023[J]. Meteor Mon, 51(3): 369-381 (in Chinese). DOI:10.7519/j.issn.1000-0526.2024.122701
|
潘留杰, 张宏芳, 王建鹏, 2014. 数值天气预报检验方法研究进展[J]. 地球科学进展, 29(3): 327-335. Pan L J, Zhang H F, Wang J P, 2014. Progress on verification methods of numerical weather prediction[J]. Adv Earth Sci, 29(3): 327-335 (in Chinese).
|
漆梁波, 2015. 高分辨率数值模式在强对流天气预警中的业务应用进展[J]. 气象, 41(6): 661-673. Qi L B, 2015. Operational progress of high-resolution numerical model on severe convective weather warning[J]. Meteor Mon, 41(6): 661-673 (in Chinese). DOI:10.7519/j.issn.1000-0526.2015.06.001
|
钱奇峰, 张长安, 高拴柱, 等, 2014. 台风路径集合预报的实时订正技术研究[J]. 热带气象学报, 30(5): 905-910. Qian Q F, Zhang C A, Gao S Z, et al, 2014. Real-time correction method for ensemble forecasting of typhoon tracks[J]. J Trop Meteor, 30(5): 905-910 (in Chinese).
|
沈学顺, 王建捷, 李泽椿, 等, 2020. 中国数值天气预报的自主创新发展[J]. 气象学报, 78(3): 451-476. Shen X S, Wang J J, Li Z C, et al, 2020. China's independent and innovative development of numerical weather prediction[J]. Acta Meteor Sin, 78(3): 451-476 (in Chinese).
|
危国飞, 刘会军, 潘宁, 等, 2021. 台风路径数值预报实时订正技术及其集成应用[J]. 大气科学, 45(1): 195-204. Wei G F, Liu H J, Pan N, et al, 2021. Real-time correction method for numerically modeled typhoon tracks and its integrated application[J]. Chin J Atmos Sci, 45(1): 195-204 (in Chinese).
|
徐道生, 陈子通, 张艳霞, 等, 2020. 南海台风模式TRAMS 3.0的技术更新和评估结果[J]. 气象, 46(11): 1474-1484. Xu D S, Chen Z T, Zhang Y X, et al, 2020. Updates in TRAMS 3.0 model version and its verification on typhoon forecast[J]. Meteor Mon, 46(11): 1474-1484 (in Chinese).
|
杨梦琪, 陈国民, 张喜平, 等, 2023. 2021年西北太平洋和南海台风预报精度评定[J]. 气象, 49(8): 1005-1019. Yang M Q, Chen G M, Zhang X P, et al, 2023. Verification on typhoons forecasts over the western North Pacific and the South China Sea in 2021[J]. Meteor Mon, 49(8): 1005-1019 (in Chinese). DOI:10.7519/j.issn.1000-0526.2023.051101
|
杨梦琪, 陈国民, 张喜平, 等, 2024. 2022年西北太平洋和南海台风预报精度评定[J]. 气象, 50(5): 630-641. Yang M Q, Chen G M, Zhang X P, et al, 2024. Verification on typhoon forecasts over the western North Pacific and the South China Sea in 2022[J]. Meteor Mon, 50(5): 630-641 (in Chinese). DOI:10.7519/j.issn.1000-0526.2024.031404
|
叶璐, 刘永柱, 陈静, 等, 2020. 集合预报多尺度奇异向量初值扰动方法研究[J]. 气象学报, 78(4): 648-664. Ye L, Liu Y Z, Chen J, et al, 2020. A study on multi-scale singular vector initial perturbation method for ensemble prediction[J]. Acta Meteor Sin, 78(4): 648-664 (in Chinese).
|
余晖, 陈联寿, 谈哲敏, 等, 2025. 中国台风预报技术发展的历史、现状与未来[J]. 气象学报, 83(3): 786-797. Yu H, Chen L S, Tan Z M, et al, 2025. Development of tropical cyclone forecasting technology in China: past, present, and future[J]. Acta Meteor Sin, 83(3): 786-797 (in Chinese).
|
张涵斌, 智协飞, 陈静, 等, 2017. 区域集合预报扰动方法研究进展综述[J]. 大气科学学报, 40(2): 145-157. Zhang H B, Zhi X F, Chen J, et al, 2017. Achievement of perturbation methods for regional ensemble forecast[J]. Trans Atmos Sci, 40(2): 145-157 (in Chinese).
|
张进, 孙健, 沈学顺, 等, 2023. CMA-GFS V4.0模式关键技术研发和业务化[J]. 应用气象学报, 34(5): 513-526. Zhang J, Sun J, Shen X S, et al, 2023. Key model technologies of CMA-GFS V4.0 and application to operational forecast[J]. J Appl Meteor Sci, 34(5): 513-526 (in Chinese).
|
张璟, 李泓, 段晚锁, 等, 2022. 台风集合预报研究进展[J]. 大气科学学报, 45(5): 713-727. Zhang J, Li H, Duan W S, et al, 2022. Review on the research progress of typhoon ensemble forecast[J]. Trans Atmos Sci, 45(5): 713-727 (in Chinese).
|
中国气象局, 2012. 台风业务和服务规定: 4版[M]. 北京: 气象出版社: 38-41. China Meteorological Administration, 2012. Regulations on Typhoon Operations and Services: 4th ed[M].
Beijing: China Meteorological Press: 38-41 (in Chinese).
|
朱定真, 樊永富, 周曾奎, 1996. 用概率圆法决策台风预报路径[J]. 气象, 22(1): 26-28. Zhu D Z, Fan Y F, Zhou Z K, 1996. The probability ellipse method of typhoon track forecast[J]. Meteor Mon, 22(1): 26-28 (in Chinese). DOI:10.7519/j.issn.1000-0526.1996.1.006
|
朱雪松, 黄伟, 余晖, 等. 2024. 适用于台风预报的尺度自适应物理过程参数化方案及其配置优选[C]//大气科学研究与应用百年进展纪念文集. 北京: 中国气象学会: 735-750.
|
Zhu X S, Huang W, Yu H, et al. 2024. Scale-adaptive physical process parameterization scheme for typhoon forecasting and its configuration preference[C]//Proceedings of the Anthology of 100 Years of Progress in the Study and Application of Atmospheric Science. Beijing: Chinese Meteorological Society: 735-750(in Chinese).
|
Biswas M K, Zhang J A, Grell E, et al, 2020. Evaluation of the Grell-Freitas convective scheme in the Hurricane Weather Research and Forecasting(HWRF) model[J]. Wea Forecasting, 35(3): 1017-1033. DOI:10.1175/WAF-D-19-0124.1
|
ECMWF, 2023a. IFS Documentation-Cy48r1 - Part Ⅲ: dynamics and numerical procedures[R]. Reading: ECMWF.
|
ECMWF, 2023b. IFS Documentation-Cy48r1 - Part Ⅴ: ensemble prediction system[R]. Reading: ECMWF.
|
Gagnon S, Deng X X. 2019. Ensemble forecast systems and future applications at MSC[C]//Proceedings of the 8th NCEP Ensemble User Workshop. Maryland: College Park.
|
Heming J T, 2016. Met Office unified model tropical cyclone perfor-mance following major changes to the initialization scheme and a model upgrade[J]. Wea Forecasting, 31(5): 1433-1449. DOI:10.1175/WAF-D-16-0040.1
|
Inverarity G W, Tennant W J, Anton L, et al, 2023. Met Office MOGREPS-G initialisation using an ensemble of hybrid four-dimensional ensemble variational(En-4DEnVar) data assimilations[J]. Quart J Roy Meteor Soc, 149(753): 1138-1164. DOI:10.1002/qj.4431
|
Li H, Luo J Y, Xu M T, 2019. Ensemble data assimilation and prediction of typhoon and associated hazards using TEDAPS: evaluation for 2015-2018 seasons[J]. Front Earth Sci, 13(4): 733-743. DOI:10.1007/s11707-019-0794-4
|
Lu X Q, Yu H, Ying M, et al, 2021. Western North Pacific tropical cyclone database created by the China Meteorological Administration[J]. Adv Atmos Sci, 38(4): 690-699. DOI:10.1007/s00376-020-0211-7
|
Luo J Y, Li H, Xue M, et al, 2022. Direct assimilation of radar reflectivity data using ensemble Kalman filter based on a two-moment microphysics scheme for the analysis and forecast of Typhoon Lekima(2019)[J]. Remote Sens, 14(16): 3987. DOI:10.3390/rs14163987
|
Niu Z Y, Wang D L, Mu M, et al, 2025a. Machine-learning(ML)-physics fusion model accelerates the paradigm shift in typhoon forecasting with a CNOP-based assimilation framework[J]. Geophys Res Lett, 52(15): e2025GL115926. DOI:10.1029/2025GL115926
|
Niu Z Y, Zhang L, Yang Y H, et al, 2025b. Assimilating FY-4B AGRI three water vapor channels in operational Shanghai Typhoon Model(SHTM) using GSI-based 3-DVar approach[J]. IEEE J Sel Top Appl Earth Obs Remote Sens, 18: 3599-3610. DOI:10.1109/JSTARS.2024.3522056
|
Ota Y, Chiba J, Ichikawa Y, et al. 2023. Upgrade of JMA's global ensemble prediction system[R]. Tokyo: Japan Meteorological Agency.
|
Palmer T, 2019. The ECMWF ensemble prediction system: looking back (more than) 25 years and projecting forward 25 years[J]. Quart J Roy Meteor Soc, 145(S1): 12-24. DOI:10.1002/qj.3383
|
Short C J, Petch J, 2018. How well can the Met Office unified model forecast tropical cyclones in the western North Pacific?[J]. Wea Forecasting, 33(1): 185-201. DOI:10.1175/WAF-D-17-0069.1
|
Ying M, Zhang W, Yu H, et al, 2014. An overview of the China Meteorological Administration tropical cyclone database[J]. J Atmos Ocean Technol, 31(2): 287-301. DOI:10.1175/JTECH-D-12-00119.1
|
Yonehara H, Kuroki Y, Ujiie M, et al. 2025. Upgrade of JMA's operational global numerical weather prediction system[R]. Tokyo: Japan Meteorological Agency.
|
Zhang X, Bao J W, Huang W, et al, 2023. Statistics of the subgrid cloud of an idealized tropical cyclone at convection-permitting resolution[J]. J Adv Model Earth Syst, 15(5): e2022MS003534. DOI:10.1029/2022MS003534
|
Zhang Y X, Xu D S, Chen Z T, et al, 2022. Offline diagnostics of skin sea surface temperature from a prognostic scheme and its application in typhoon forecasting using the CMA-TRAMS model over South China[J]. Atmosphere, 13(8): 1324. DOI:10.3390/atmos13081324
|
Zhou X Q, Juang H M H, 2023. A model instability issue in the National Centers for Environmental Prediction Global Forecast System version 16 and potential solutions[J]. Geosci Model Dev, 16(11): 3263-3274. DOI:10.5194/gmd-16-3263-2023
|
Zhou X Q, Zhu Y J, Hou D C, et al, 2022. The development of the NCEP global ensemble forecast system version 12[J]. Wea Forecasting, 37(6): 1069-1084. DOI:10.1175/WAF-D-21-0112.1
|
2025, Vol. 51 
