2. 陕西中天火箭技术股份有限公司,西安 710000
2. Shaanxi Zhongtian Rocket Technology Co., Ltd, Xi'an 710000
人工影响天气(以下简称人影)技术是气象防灾减灾的重要手段,其基本原理是在适宜条件下向云中适当位置播撒催化剂,影响云微物理过程,进而影响降水效率(胡志晋,1981;French et al, 2018;Wang et al, 2021)。黄美元(2011)提出冷云作业时将催化剂直接送到云中合适负温层的方案更优。常用冷云催化剂碘化银在-5℃以上成核率极低,-20 ~-5℃温度层活化率显著提高(刘诗军等,2005;陈羿辰和何晖, 2017, 楼小凤等,2021),因此把握适当作业位置是科学作业的重要环节(李红斌等,2005)。
火箭弹是将催化剂送入云中的重要载体,广泛应用于增雨抗旱、防雹减灾及重大活动保障等工作(李红斌等,2016;姚展予,2006;姚展予等,2024;潘雯菁等,2019)。在冷云催化作业中,火箭弹携带碘化银在预定时间内播撒,其播撒高度、位置参考生产厂家出具的弹道参数表,但实际应用中火箭弹弹道受多种因素影响,其中气象要素是重要影响因素之一。有研究指出气象因素是影响射击准确度的主要误差源,占比约70%,其中风的影响显著(吴汉洲等,2015;陈健伟等,2018;2020)。近年来弹道研究领域,学者们通过建立低层风切变简化模型、风场统计模型等手段研究风场对弹道的影响,研究指出低空风切变对火箭弹射程、侧偏、落速等均产生较大影响(刘俊邦等,2013;吴汉洲等,2015;陈健伟等,2018;2020)。王田田等(2019)利用非标准气象条件下质点弹道计算方式,分析了空间均匀定常风场对37 mm人影高炮安全射界修正量,但实际大气与均匀定常风场差异大(赵鸣和黄新兵,1999),且大气密度是影响飞行器飞行参数的直接因素(朱燕君等,2002)。在不同季节、下垫面等条件下大气垂直特征不同,局地风场受到天气环流、中小尺度环流等因素影响(盛裴轩等,2013;龚玺等,2023)。
应用固定单一弹道参数难以估测复杂天气条件下催化剂的释放高度、位置,目前开展实际气象要素对人影火箭弹弹道特征影响的研究很少(董晓波等,2020;刘卫国等,2023)。因此利用实测风场和密度场,分析其对弹道特征的影响对于火箭弹道预测、火箭落点预测及人影科学作业等方面具有重要意义(刘俊邦等,2013;黎祖贤等,2016;刘卫国等,2023)。
本文利用增加定位功能的人影火箭弹(董晓波等,2020)和气象观测资料,分析不同大气状态下火箭弹弹道的变化情况,为开展精准、科学人影作业提供参考。
1 资料和方法 1.1 试验方案为分析不同大气垂直结构对人影火箭弹的影响,验证模型的适用性,试验在不同季节、不同下垫面条件下开展。其中,山地下垫面试验选取广东梅州五华人影作业点,沿海下垫面试验选取雷州半岛的广东湛江徐闻人影作业点,具体位置见图 1。试验在3月、11月以不同方位角、仰角发射嵌入GPS芯片的WR-98型人影火箭弹,具体作业情况见表 1。试验期间天气变化小,相邻区域天气环流相似,海南海口、广东河源探空特征可代表该区域大气状态。
|
图 1 外场试验点和观测点位置 Fig. 1 Location of test and observation stations |
|
|
表 1 外场试验详情 Table 1 Details of field test |
WR-98人影火箭弹参数见表 2(董晓波等,2020),火箭弹主动段最大速度超过800 m·s-1,通常若0~33 s降落伞未弹出,则发射至最高点时(t < 33 s) 弹体受力状态无显著变化。试验用弹在普通WR-98人影火箭弹基础上增加GPS模块,该模块质量约为300 g,实时定位时间分辨率为1 s,采样数据包括气压、高度、经纬度、电压等。由于嵌入的车载型GPS定位能力有限,上升阶段仅认为最高点的数据有效。
|
|
表 2 WR-98人影火箭弹参数详情 Table 2 Technical parameters of WR-98 weather modification rocket |
垂直气象场选取作业前临近时次、靠近作业点的探空站点数据(常规探空每日2次: 08时和20时,北京时,下同),获取各个高度层气压(p)、高度(h)、气温(T)、风向(WD)、风速(WS)、水汽压(e)等信息,根据式(1)计算空气密度(ρ)(朱燕君等,2002),并拟合0~6000 m的空气密度和高度的线性关系。将探空风向划分为16个方位,并按150 m高度进行分层处理,计算各层中最大风向频率和平均风速作为该层风向、风速。利用临近时次、相邻站点的自动气象站的WD、WS作为最低层风场信息。第二种风场数据是风廓线测风资料,选取作业前临近时间、相邻站点的风廓线雷达资料,时间分辨率为30 min,缺测时使用1 h分辨率产品补齐。
| $ \rho=\frac{p \times 10^2}{R T}\left(1-0.378 \frac{e}{p}\right) $ | (1) |
式中R为气体常数。
为验证风场资料的可靠性,将探测时间、空间距离最近的探空和风廓线数据进行相关性分析(站点分布见图 1),选取2次试验日前后各7日资料进行统计(即每次试验资料共15日,1日2次,0~3150 m),结果显示探空和风廓线测风的u、v分量的相关系数均大于0.8(图 2),这与吴蕾等(2014)关于2000 m以下两类测风u、v分量相关分析结果较为相似。由于两类测风原理不同,且探测站点间存在空间距离(试验1站点间距约100 km,试验2站点间距小于30 km),采样时间也存在一定差异。这些因素导致垂直风场特征存在差异,但两类数据一致性较好,可使用距离最近的风廓线资料弥补探空测风时间分辨率不足。
|
图 2 2023年2次试验探空和风廓线风场(a)u, (b)v分量对比 注:下角wp、s分别表示风廓线和探空测风的风速;N为样本数,r为相关系数。 Fig. 2 Comparison of (a) u, (b) v components of sounding and wind profile in two experiments of 2023 |
根据生产厂家提供火箭弹参数(表 2),建立人影火箭弹弹道模型,将上升阶段分为3个部分。阶段1为火箭弹主动段,假设燃料均匀消耗,质量变化率dm/dt=-m1;阶段2火箭弹燃料耗尽无动力,但未播撒催化剂,质量变化率dm/dt=0;阶段3无动力,并开始均匀播撒催化剂,质量变化率dm/dt=-m2。基于火箭弹外弹道理论(钱杏芳等,2000;陈健伟等,2018; 2020),详见式(2)、式(3),不考虑弹体绕质心的转动,考虑实际垂直风场、空气密度影响,建立模型。
| $ \left\{\begin{array}{l} \frac{\mathrm{d} V_{\mathrm{c}}}{\mathrm{~d} t}=\frac{1}{m} F_x \\ \frac{\mathrm{~d} \psi_v}{\mathrm{~d} t}=\frac{1}{m V_{\mathrm{c}} \cos \theta} F_y \\ \frac{\mathrm{~d} \theta}{\mathrm{~d} t}=\frac{1}{m V_{\mathrm{c}}} F_z \end{array}\right. $ | (2) |
| $ \left\{\begin{array}{l} \frac{\mathrm{d} X}{\mathrm{~d} t}=V_{\mathrm{c}} \cos \psi_v \cos \theta \\ \frac{\mathrm{~d} Y}{\mathrm{~d} t}=-V_{\mathrm{c}} \cos \theta \sin \psi_v \\ \frac{\mathrm{~d} Z}{\mathrm{~d} t}=V_{\mathrm{c}} \sin \theta \end{array}\right. $ | (3) |
| $ f=\frac{1}{2} \rho V_{\mathrm{c}}^2 S C $ | (4) |
式中:Fx、Fy、Fz分别表示火箭弹质心所受合力在弹道坐标系下的分量(陈健伟等,2018);m表示质量;Vc表示质心速度,单位:m·s-1; t表示时间,单位:s;θ表示弹道倾角;ψv表示弹道偏角;X、Y、Z分别表示OX轴、OY轴、OZ轴距离(视为距地高度)。f表示空气阻力,C表示空气阻力系数,S表示特征面积,C与Vc的大小密切相关。结合火箭弹质心运动方程,风对飞行状态的影响主要表现在主动段,空气密度的影响贯穿整个过程。
风场仅考虑水平风影响,将风矢沿发射方向分解为垂直于发射平面的横风Wz,平行于发射平面的纵风Wx,横风和纵风分别产生附加侧滑角Δβ和附加攻角Δα(钱杏芳等,2000)。Δα、Δβ的计算见式(5),将其代入式(2)、式(3)中连列求解。
| $ \left\{\begin{array}{l} \tan \Delta \alpha=\frac{W_z \sin \theta}{V_{\mathrm{c}}+W_z \sin \theta} \\ \tan \Delta \beta=\frac{W_x}{V_{\mathrm{c}}} \end{array}\right. $ | (5) |
设置模型初始高度为0 m,根据式(1)~式(5)计算出火箭弹距地高度(Z又称为射高)与GPS测高(ZGPS)不同(贺园园等,2010),需要进行高度转换,将未发射前GPS测高认为是初始高度(Z0),距地高度Z=ZGPS-Z0,下文提到的高度均为距地高度。此外距离发射点的实际水平距离近似为L=X/cosψv。
1.3 方法验证为验证上述计算的可靠性,采用炮兵标准气象条件(吴汉洲等,2015),利用生产厂家提供参数进行计算,不考虑风场影响,以60°仰角发射,计算上升阶段速度(Vc)、射程(L)、射高(Z)随时间变化特征(图 3),对比生产厂家数据,速度、射程、射高的均方根误差分别约为11.0 m·s-1,147.8 m,143.0 m,两者结果较为一致,相关性高。2组数据第5秒射高偏差小于30 m,射程偏差小于50 m,最高点(28 s左右)偏差增大(表 3),对比典型时刻射程、射高,偏差随时间逐渐增大,偏差产生的原因可能是空气阻力处理或方程解析方式等不同。虽然本文计算弹道和参考弹道存在差异,但仍能较好体现弹道特征。综上所述,本文计算方式可用于人影火箭弹弹道的影响分析。
|
图 3 模型计算(不考虑实际大气要素影响)与生产厂家弹道对比验证结果(a)速度,(b)射程,(c)射高 Fig. 3 Comparative verification results of model calculating (without considering the impact of atmospheric elements) and reference data from manufacturer (a) Vc, (b) L, (c) Z |
|
|
表 3 0 m海拔高度60°、65°仰角参考弹道和模型计算特征值 Table 3 Reference bullistic trajectory and model calculation values at 0 m altitude with elevations at 60° and 65° |
基于上述方法,选取试验前探空、自动站、风廓线雷达资料,考虑垂直风场和密度对火箭弹飞行状态影响。2次试验分别于2023年3月1日夜间和11月30日白天开展,从天气环流形势来看,3月1日500 hPa广东受偏西气流影响,地面受弱均压场控制,天气晴朗;11月30日冷空气南下,广东主要受偏北气流影响,天气影响系统较为稳定。图 4是试验前气象要素垂直廓线,其中空气密度与高度的拟合关系能较好地表现实际大气密度与高度的关系,相关系数约为0.9。图 4a是海口20时探空(绿色)和湛江徐闻23时风廓线(蓝色)垂直廓线,海口探空显示1500 m高度层出现明显逆温,低层空气密度大,2000 m高度以下低层风场以弱东北风为主,但0~600 m风速切变大,最大风速为5.2 m· s-1。湛江徐闻风廓线雷达监测显示23时低层以西北到北风为主,1200 m高度转东北到偏东风。图 4b是河源08时探空(绿色)和梅州五华16时风廓线(蓝色)垂直廓线。河源探空显示风速廓线呈现典型边界层低空急流特征,近地层风速约4 m·s-1,600 m风速迅速增大到8.6 m·s-1,1300 m风速迅速衰减至2.6 m·s-1,低层风向以东北风为主,1000 m以上风向随高度顺时针转为东南风,2000 m以上以偏西风为主。梅州五华16时风廓线雷达资料显示,近地层为东北风,1000 m以下以偏北风为主,1200~1700 m以偏东风为主。两类风场信息存在较大差异,一是因为探空和风廓线测风具有一定的时间和空间差异,实际风场日变化明显,且受天气形势和局地环流共同影响;二是两类测风原理不同(吴蕾等,2014;王栋成等,2019;王丽吉等,2020)。利用不同风场资料进行弹道预测的适用条件需进一步讨论。
|
图 4 2023年(a)3月1日20时海口探空和23时湛江风廓线雷达,(b)11月30日08时河源探空和16时梅州风廓线雷达获取的气象要素廓线(a1, b1)气温, (a2, b2)风速, (a3, b3)风向 Fig. 4 Vertical profiles of meteorological elements from (a) Haikou Sounding Station at 20:00 BT and Zhanjiang Wind Profile Radar Station at 23:00 BT 1 March, and (b) Heyuan Sounding Station at 08:00 BT and Meizhou Wind Profile Radar Station at 16:00 BT 30 November 2023 (a1, b1) temperature, (a2, b2) wind speed, (a3, b3) wind direction |
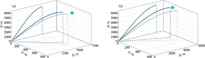
考虑垂直风场和空气密度影响,将2个个例利用2种风场资料进行弹道模型预测计算,并和GPS返回的实测人影火箭弹弹道特征参数进行对比,以GPS实测数据(去掉Z0)为标准值,计算两者之间偏差,绝对偏差为ΔM=|M-M0|,结果见表 4和表 5。图 5是2个个例的模型计算、参考弹道、试验数据的空间分布特征,对比可知,考虑发射前大气垂直特征的模型能更好预测出弹道侧偏情况和最高点位置。
|
|
表 4 2023年2次试验人影火箭实测弹道特征参数和模型计算结果 Table 4 The measured bullistic trajectory parameters of rockets in weather modification and model calculation results in two experiments of 2023 |
|
|
表 5 2023年2次试验参考弹道、弹道模型偏差情况 Table 5 The ballistic trajectory deviation situation of reference and model in two experiments of 2023 |
|
图 5 2023年2次试验(a)湛江, (b)梅州人影火箭弹上升阶段弹道曲线 注:绿线表示生产厂家参考弹道,深蓝线和浅蓝线分别表示探空和风廓线风场的预测弹道曲线,蓝点表示试验最高点,X轴沿发射方向。 Fig. 5 Ascending phase trajectory for weahter modification rockets at (a) Zhanjiang and (b) Meizhou stations in two experiments of 2023 |
试验1方位角为西南向,根据海口20时探空可知,低层垂直风场以东北风为主,顺风产生正附加攻角,射高增大,射程减小,模型预测ΔZ仅为52 m,射程偏差较大,ΔL约为850 m。考虑Wz影响,Wz方向指向发射平面左侧,附加侧滑角大于0°,弹道右偏,对比实际最高点位置,预测侧偏角偏差仅0.1°,与实际值近乎一致。根据徐闻23时风廓线资料,低层为西北到北风,低层风场产生的Wz使得弹道右偏,与试验数据相比,侧偏角偏大约0.99°。3种弹道均对实际射程存在低估,考虑大气垂直特征的弹道模型能对弹道最高点位置有正向修正作用,但应用不同探测资料的修正效果不同,探空风场对侧偏程度修正效果好,对射高预测偏大;风廓线风场对射高修正效果明显,对侧偏存在一定程度高估。根据投影点偏差,应用风廓线风场的弹道预测模型能更好把握弹道最高点的位置。
试验2方位角为南向,根据河源08时探空可知,低层以偏北风为主,顺风产生正附加攻角,射高增大,射程减小,模型预测ΔZ、ΔL分别为225 m、116 m,预测效果较好。地面风场为西北风,Wz指向左侧,产生正侧滑角,弹道右偏;探空显示大气低层风场产生的Wz指向右侧,产生负侧滑角,弹道左偏,低层风场将侧偏逐渐收拢,预测偏角为2.45°,偏差约为0.2°,与实际值非常接近。对比60°仰角参考弹道(表 3),利用探空观测资料进行弹道预测的最高点射程、射高及位置偏差均小于参考弹道。根据梅州五华16时风廓线和自动站资料,地面为西北风,低层风场为东北到北风,低层风场对侧偏的收拢效果较小,侧偏程度偏大,模型对最高点射程和射高的预测较为准确,偏差小,预测参数与实测弹道最高点位置投影偏差小于100 m,正向修正效果明显。
结合生产厂家提供的地面风速对WR-98型火箭弹的参考修正偏角信息,当纵风或横风大于3 m·s-1进行修正。而本文试验地面风速小于3 m·s-1 (表 1),未达到风偏修正条件,另外湛江徐闻试验的地面风速仅为1.1 m·s-1,但实际发射中弹道存在明显侧偏,侧偏量大于5°,比横风3 m·s-1条件下相同发射仰角对应的参考修正角度大,实际侧偏超过参考角度的1.4倍。由梅州五华试验可得,地面风场与大气低层风向不同,不同高度风场对弹道有互相修正效果,能更好把握侧偏程度。而且在实际大气中,风场具有明显的不均一特征,上下层切变明显(刘建等,2015),仅使用单层风场信息修正弹道侧偏效果有限。对比参考弹道特征值,利用探空和风廓线雷达资料进行预测的2种弹道参数(包括L、Z、ΔD)比参考值更接近实际情况。若考虑最高点投影位置偏差,利用风廓线资料进行预测的效果最优。综上所述,可推测垂直风场对火箭弹飞行状态影响明显,且在地面弱风、大气垂直风切变明显的条件下,参考气象要素模型对火箭弹飞行状态修正效果更优。
同一时刻风廓线和探空测风在近地层以上相关性很好,均可较好反映低层风场信息。火箭弹上升飞行状态受垂直风场影响明显,选用接近实际发射时的风场信息能更好地预测出弹道变化情况。在进行弹道预测时,当天气稳定,如受均压场控制时,选用最接近发射时大气状态的探空和风廓线资料均能较好预测弹道特征;但当有天气系统过境影响时,选取邻近站点、接近计划时刻的风廓线资料预测效果更好。
陈健伟等(2018)指出当仅低层风切变层厚度增大时,火箭弹飞行姿态变化趋缓。根据模型计算结果,考虑环境风场对主动段影响的弹道特征与实际较为一致。结合人影火箭弹飞行受力状态和主动段高度可推测,1000 m高度以下的低层风场对弹道特征影响显著。此外,利用炮兵标准气象条件中空气密度关系和试验1风廓线风场进行模拟,对比表 4中模型计算结果,偏角无明显变化,射高、射程变化幅度小于70 m,弹道特征较为相似,密度对飞行状态的影响较小。空气密度主要影响火箭弹所受空气阻力,进而影响人影火箭弹运动速度和射程、射高。
3 结论和讨论本文基于实测气象数据和弹道原理对火箭弹在真实大气中运动特征进行分析,建立了人影火箭弹飞行简单模型,对比外场试验结果,主要结论如下:
(1) 模型能较好地反映气象因素对人影火箭弹飞行特性的影响。其中低层风场的风速、风向对弹道影响最为显著。另外,考虑邻近作业点、时次相近的气象要素对火箭弹飞行的影响,可以对弹道特征有较好修正作用,尤其是在地面弱风且垂直风切变明显的大气条件下。综合考虑密度、临近时刻风场的方案对弹道修正效果最优。
(2) 模型在不同下垫面、不同季节均有较好的适用性,可以预测该型人影火箭弹在实际大气状况中的弹道轨迹信息,为实际作业中科学选取作业仰角、方位角提供参考。
目前研究受限于试验开展情况,未能有效验证模型在有利增雨条件下的适用性,后续将进一步开展相关试验。此外,受外场试验空域和数据质量不稳定等因素限制,模型验证仅基于两次试验的首枚GPS火箭弹数据,代表性不足。未来将完善试验方案设计,减少干扰因素,增加试验样本数量,进一步验证模型的可靠性和代表性。
致谢:感谢广东湛江徐闻县气象局、梅州五华县气象局对本研究开展外场试验的大力支持。
陈健伟, 王良明, 李子杰, 2018. 两种典型低空风切变对火箭弹弹道特性的影响[J]. 北京航空航天大学学报, 44(5): 1008-1017. Chen J W, Wang L M, Li Z J, 2018. Influence of two typical kinds of low-level wind shear on ballistic performance of rockets[J]. J Beijing Univ Aeronaut Astronaut, 44(5): 1008-1017 (in Chinese).
|
陈健伟, 王良明, 李子杰, 2020. 过山气流低空风切变对野战火箭弹弹道特性影响分析[J]. 空军工程大学学报(自然科学版), 21(1): 64-70. Chen J W, Wang L M, Li Z J, 2020. An analysis of influence of airflow over mountain wind shear on ballistic performance of rockets[J]. J Air Force Eng Univ (Nat Sci Ed), 21(1): 64-70 (in Chinese).
|
陈羿辰, 何晖, 2017. 基于偏振雷达的积层混合云降水增雨潜力识别方法研究[J]. 大气科学, 41(3): 578-592. Chen Y C, He H, 2017. A study to determine enhancement potential for convective- stratiform mixed precipitation based on polarimetric radar[J]. Chin J Atmos Sci, 41(3): 578-592 (in Chinese).
|
董晓波, 王晓青, 付娇, 等, 2020. 人工增雨防雹火箭弹道跟踪系统的研制及初步试验[J]. 气象, 46(6): 850-856. Dong X B, Wang X Q, Fu J, et al, 2020. Development and preliminary test on bal-listic tracking system of artificial precipitation enhancement and anti-hail rocket[J]. Meteor Mon, 46(6): 850-856 (in Chinese). DOI:10.7519/j.issn.1000-0526.2020.06.011
|
龚玺, 陈起英, 倪长健, 等, 2023. 基于高垂直分辨率探空数据对五种典型下垫面湍流分布特征分析[J]. 气象, 49(8): 901-914. Gong X, Chen Q Y, Ni C J, et al, 2023. Turbulence distribution characteristics of five typical underlying surfaces based on high vertical resolution radiosonde data[J]. Meteor Mon, 49(8): 901-914 (in Chinese). DOI:10.7519/j.issn.1000-0526.2023.021001
|
贺园园, 孟鲁闽, 王梅, 2010. GPS高程拟合在工程测量中的应用研究[J]. 测绘与空间地理信息, 33(2): 127-129. He Y Y, Meng L M, Wang M, 2010. The application research of GPS elevation interpolation in engineering survey[J]. Geomat Spat Inform Technol, 33(2): 127-129 (in Chinese).
|
胡志晋, 1981. 人工降水的原理和现状[J]. 气象, 7(2): 44-45. Hu Z J, 1981. The principle and current situation of precipitation enhancement[J]. Meteor Mon, 7(2): 44-45 (in Chinese). DOI:10.7519/j.issn.1000-0526.1981.02.028
|
黄美元, 2011. 我国人工降水亟待解决的问题和发展思路[J]. 气候与环境研究, 16(5): 543-550. Huang M Y, 2011. Urgent problems and thinking of development for precipitation enhancement in China[J]. Climatic Environ Res, 16(5): 543-550 (in Chinese).
|
李红斌, 傅瑜, 王秀萍, 等, 2016. 一次层状云火箭增雨作业效果分析[J]. 气象, 42(11): 1402-1409. Li H B, Fu Y, Wang X P, et al, 2016. Effect verification and analysis for artificial precipitation enhancement of stratiform cloud by rocket in Dalian[J]. Meteor Mon, 42(11): 1402-1409 (in Chinese). DOI:10.7519/j.issn.1000-0526.2016.11.013
|
李红斌, 周德平, 濮文耀, 2005. 火箭增雨作业部位和催化剂量的确定[J]. 气象, 31(10): 42-46. Li H B, Zhou D P, Pu W Y, 2005. The determination of catalyzing points and project quantity in rocket rain enhancement[J]. Meteor Mon, 31(10): 42-46 (in Chinese). DOI:10.7519/j.issn.1000-0526.2005.10.011
|
黎祖贤, 刘红武, 廖俊, 等, 2016. 基于外弹道计算的人影高炮作业安全评估方法[J]. 气象科技, 44(1): 152-156. Li Z X, Liu H W, Liao J, et al, 2016. A safety assessment method of weather modification operation based on external trajectory calculation[J]. Meteor Sci Technol, 44(1): 152-156 (in Chinese).
|
刘建, 吴兑, 范绍佳, 2015. 珠江三角洲区域污染分布及其垂直风场特征[J]. 环境科学, 36(11): 3989-3998. Liu J, Wu D, Fan S J, 2015. Distribution of regional pollution and the characteristics of vertical wind field in the Pearl River Delta[J]. Environ Sci, 36(11): 3989-3998 (in Chinese).
|
刘俊邦, 张猛, 朱建峰, 2013. 非标准气象条件下火炮外弹道仿真[J]. 指挥控制与仿真, 35(2): 80-84. Liu J B, Zhang M, Zhu J F, 2013. Gun exterior ballistics simulation analysis under nonstandard meteorological conditions[J]. Command Control Simul, 35(2): 80-84 (in Chinese).
|
刘诗军, 胡志晋, 游来光, 2005. 碘化银核化过程的数值模拟研究[J]. 气象学报, 63(1): 30-40. Liu S J, Hu Z J, You L G, 2005. The numerical simulation of AgI nucleation in cloud[J]. Acta Meteor Sin, 63(1): 30-40 (in Chinese).
|
刘卫国, 史月琴, 党娟, 等, 2023. 基于火箭和高炮真实催化轨迹的一次对流云消减雨的数值模拟[J]. 大气科学, 47(2): 430-452. Liu W G, Shi Y Q, Dang J, et al, 2023. Numerical simulation of a convective cloud rainfall reduction based on the realistic seeding trajectories of rocket and artillery[J]. Chin J Atmos Sci, 47(2): 430-452 (in Chinese).
|
楼小凤, 傅瑜, 苏正军, 2021. 人工影响天气碘化银催化剂研究进展[J]. 应用气象学报, 32(2): 146-159. Lou X F, Fu Y, Su Z J, 2021. Advances of silver iodide seeding agents for weather modification[J]. J Appl Meteor Sci, 32(2): 146-159 (in Chinese).
|
潘雯菁, 吴奕霄, 周嘉健, 等, 2019. 南京青奥会开幕式期间人工减雨作业对雨滴谱的影响分析[J]. 气象科学, 39(2): 237-246. Pan W J, Wu Y X, Zhou J J, et al, 2019. Impact analysis for artificial rain reduction operation on raindrop spectrum of the opening ceremony of the Youth Olympic Games in Nanjing[J]. J Meteor Sci, 39(2): 237-246 (in Chinese).
|
钱杏芳, 林瑞雄, 赵亚男, 2000. 导弹飞行力学[M]. 北京: 北京理工大学出版社: 36-160. Qian X F, Lin R X, Zhao Y N, 2000. Flight Mechanics of Guided Missile[M].
Beijing: Beijing Institute of Technology Press: 36-160 (in Chinese).
|
盛裴轩, 毛节泰, 李建国, 等, 2013. 大气物理学: 第2版[M]. 北京: 北京大学出版社: 285-286. Sheng P X, Mao J T, Li J G, et al, 2013. Atmospheric Physics: 2nd ed[M].
Beijing: Peking University Press: 285-286 (in Chinese).
|
王栋成, 邱粲, 董旭光, 等, 2019. 济南边界层风廓线雷达与L波段雷达大风探空测风对比[J]. 气象, 45(8): 1169-1180. Wang D C, Qiu C, Dong X G, et al, 2019. Comparing strong wind data observed by boundary layer wind profiling radar and L-band radar in Jinan[J]. Meteor Mon, 45(8): 1169-1180 (in Chinese). DOI:10.7519/j.issn.1000-0526.2019.08.013
|
王丽吉, 陈晔峰, 吴书成, 等, 2020. 对风廓线雷达和L波段雷达探空观测的水平风场的一致性评估[J]. 浙江大学学报(理学版), 47(5): 593-600. Wang L J, Chen Y F, Wu S C, et al, 2020. Consistency assessment of the horizontal wind field based on the data from the wind profiler radar and the L-band upper-air meteorological sounding[J]. J Zhejiang Univ (Sci Ed), 47(5): 593-600 (in Chinese).
|
王田田, 尹宪志, 黄山, 等, 2019. 基于空间均匀定常风场的人影作业高炮安全射界修正[J]. 干旱气象, 37(6): 1005-1011. Wang T T, Yin X Z, Huang S, et al, 2019. Revisal about safe firing area of weather modification operation based on uniform wind field[J]. J Arid Meteor, 37(6): 1005-1011 (in Chinese).
|
吴汉洲, 宋卫东, 张磊, 等, 2015. 低空风风场建模与对弹丸弹道特性影响的研究[J]. 军械工程学院学报, 27(4): 38-42. Wu H Z, Song W D, Zhang L, et al, 2015. Low-level wind model building and its influence on trajectory characteristic of projectiles[J]. J Ordnance Eng Coll, 27(4): 38-42 (in Chinese).
|
吴蕾, 陈洪滨, 康雪, 2014. 风廓线雷达与L波段雷达探空测风对比分析[J]. 气象科技, 42(2): 225-230. Wu L, Chen H B, Kang X, 2014. Comparison between wind profiler and L band upper-air meteorological sounding system[J]. Meteor Sci Technol, 42(2): 225-230 (in Chinese).
|
姚展予, 2006. 中国气象科学研究院人工影响天气研究进展回顾[J]. 应用气象学报, 17(6): 786-795. Yao Z Y, 2006. Review of weather modification research in Chinese Academy of Meteorological Sciences[J]. J Appl Meteor Sci, 17(6): 786-795 (in Chinese).
|
姚展予, 姚祖刚, 胡向峰, 等, 2024. 太行山地区一次人工防雹效果物理检验[J]. 大气科学, 48(5): 1866-1878. Yao Z Y, Yao Z G, Hu X F, et al, 2024. Physical evaluation of hail suppression effects in the Taihang Mountain area[J]. Chin J Atmos Sci, 48(5): 1866-1878 (in Chinese).
|
赵鸣, 黄新兵, 1999. 关于边界层阻力定律在非定常均匀条件下的推广[J]. 气象学报, 57(1): 45-55. Zhao M, Huang X B, 1999. On the extension of the resistance law for PBL to non-stationary and inhomogeneous conditions[J]. Acta Meteor Sin, 57(1): 45-55 (in Chinese).
|
朱燕君, 姚莉, 李小泉, 2002. 固定几何高度上大气密度的计算方法[J]. 气象, 28(2): 9-12. Zhu Y J, Yao L, Li X Q, 2002. Methods of calculating atmospheric density at fixed altitude[J]. Meteor Mon, 28(2): 9-12 (in Chinese). DOI:10.7519/j.issn.1000-0526.2002.2.002
|
French J R, Friedrich K, Tessendorf S A, et al, 2018. Precipitation formation from orographic cloud seeding[J]. Proc Natl Acad Sci U S A, 115(6): 1168-1173.
|
Wang J, Yue Z G, Rosenfeld D, et al, 2021. The evolution of an AgI cloud-seeding track in central China as seen by a combination of radar, satellite, and disdrometer observations[J]. J Geophys Res: Atmos, 126(11): e2020JD033914.
|
2025, Vol. 51 
