2. 北京市气象台,北京 100097
2. Beijing Weather Forecast Centre, Beijing 100097
短时强降水(FHR)是小时雨量≥20 mm的过程。北京大兴国际机场(PKX)作为我国4F级国际机场,地处北京市大兴区与河北省廊坊市交界。FHR常导致能见度骤降,威胁航空飞行安全,导致发动机熄火、空气动力性能恶化、滑跑滑水等现象,进而引起复飞、备降甚至飞行事故。同时,FHR严重影响PKX航班正常运行,常导致航班延误或取消,因此FHR一直是PKX天气预报的重点之一。
FHR是由中小尺度系统激发产生的,但以大尺度环境场为背景,大尺度环境参数配置影响或制约着中小尺度系统的发展演变过程(Doswell Ⅲ,1987;丁一汇,2005;郝莹等,2012; 王莹等,2024)。FHR发生发展需要热力不稳定层结、充足的水汽、较强的抬升运动和适当的垂直风切变条件(孙继松等,2014),然而不同地区所需环境条件不尽相同(郑媛媛等,2011)。已有研究多基于逐小时雨量数据分析FHR的时空分布及背景场特征,陈炯等(2013)研究了中国暖季FHR时空特征,指出中国大陆总体的FHR频率月际分布为单峰型特征,与东亚夏季风活动密切相关;FHR频率和小时雨强日变化为3峰型,主峰在16—17时(北京时,下同),但不同区域的FHR日变化特征显著不同。杨波等(2016)将北京地区FHR分为西太平洋副热带高压(以下简称副高)与西来槽相互作用型、西风小槽型、东北冷涡后部型和黄淮低涡倒槽型4类,指出各类型下FHR存在时空分布差异。王宏等(2021)分析了承德山区夏季FHR的天气型及其降水与环境特征。
小时级雨量数据难以充分捕捉中尺度系统演变特征,而分钟级加密观测资料则能更精确地再现降水强度变化过程,具有重要的中尺度信息价值(葛晶晶等,2008)。近年来,随着地面自动气象站加密布设,基于分钟级雨量数据的中小尺度系统研究逐渐增多,如盛杰等(2012)结合雷达和分钟级雨量数据对飑线、梅雨锋和热带系统导致的强降水进行了对比研究;王国荣和王令(2013)利用分钟级雨量数据分析了北京夏季FHR的时空分布,指出FHR多发于午后至前半夜,其中西山山前及城区为高发区。Li et al(2017)利用5 min资料,探讨了暖季北京市区FHR和暴雨日数时空特征,表明有利的大尺度条件下,城市环境和地形环流可能对FHR产生积极影响。
地理位置与地形差异下,FHR分布及环境特征各异(罗亚丽等,2020;刘菲凡等,2023),环流类型间物理量阈值也显著不同。精细化短时临近预报需基于本地不同环流类型下FHR的时空特征和环境要素进行统计分析(樊李苗和俞小鼎,2013;孙继松等,2015;田付友等,2017;王宏等,2021;吴照宪等,2022)。北京地区FHR分布不均,地形是导致该现象的主要因素,城市热岛、下垫面状况也可能影响FHR的空间分布(王国荣和王令,2013)。PKX区域位于京津大城市之间,又紧邻渤海湾,受大城市热岛效应和海风锋影响,夏季易出现局地突发强对流;同时也易受华北复杂地形(太行山、燕山)下山对流影响,因此该区域的短时降水既有华北区域大尺度环流影响下的FHR共同特征,也有复杂下垫面导致的局地特殊性,现有相关研究结论难以直接应用于PKX区域。此外,面对日益增多的FHR灾害,PKX作为世界级航空枢纽,其气象服务既要支撑首都经济发展,也要满足“人民至上、生命至上”的精准预报现实需求。因此,亟需对PKX区域FHR开展针对性研究。本文基于2014—2023年5—9月分钟、小时级雨量资料,结合ERA5再分析资料,将FHR当日的环流分型后,探讨降水特征尤其是分钟级雨量特征以及过程前的环境条件,为小区域精细预报提供重要参考。
1 资料与方法2014—2023年5—9月北京市大兴区7个自动气象站逐5 min雨量资料和河北省廊坊市4个自动气象站逐小时雨量资料,均进行了异常值剔除、空间一致性和时间连续性检验,用于分析降水特征,站点位置如图 1所示。同期的中国气象局下发的北京市逐小时雨量资料用于逐5 min雨量资料对比质量控制,对应时段的ERA5逐小时0.25°×0.25°再分析资料用于环流分型及分析物理量特征。
|
图 1 PKX区域自动气象站分布 注:蓝色圆点为逐5 min雨量资料的站点,红色圆点为逐小时雨量资料的站点,五角星为PKX位置,下同。 Fig. 1 Spatial distribution of automatic weather stations in the Beijing Daxing International Airport (PKX) region |
对于分钟级雨量数据,本研究对单站FHR过程沿用盛杰等(2012)的定义:任意连续60 min的滑动累计雨量≥20 mm,降水开始时刻(Tstart)为10 min累计雨量≥1 mm,降水结束时刻(Tend)为10 min累计雨量<1 mm。将单站降水间歇期在1 h内的记为一次FHR过程。单站FHR过程持续时间定义为:Tsus=Tend-Tstart;单站过程最大20 min雨量定义为单站一次降水过程中,滑动20 min累计雨量的最大值(单位:mm),单站过程最大1 h雨量、单站过程最大10 min雨量与单站过程最大5 min雨量的定义同理。同时,将滑动60 min累计雨量的最大值所对应的强度定义为单站过程最大1 h雨强(单位:mm·h-1),其数值与单站过程最大1 h雨量相等。滑动1 h累计雨量≥20 mm的时刻所在整点定义为FHR发生小时。对于廊坊市站点小时数据,根据小时连续判定过程是否延续,若连续则单站过程最大1 h雨强选取最大值,记为一次FHR过程。需要注意的是,廊坊市小时数据在后续针对分钟级雨量特征的统计分析中不予考虑。
1.2 环流分型和物理量分析方法利用ERA5再分析资料计算FHR事件发生前1 h的500 hPa环流形势合成场及其距平场,并将其环流类型进行主观归类。除风要素以外的环境物理量诊断选取FHR发生前1 h、(39.5°N、116.5°E)格点数据。风矢量要素统计选取FHR发生前1 h上游区域(39.25°~39.5°N、116.25°~116.75°E)风速最大值和对应风向。
2 环流背景分型灾害性天气的分型有多种方式,以环流形势或影响系统为依据的分型居多(孙建华等,2005)。本文根据1.2节的方法,将2014—2023年5—9月PKX区域FHR事件所处的环流类型分为5类:(1)蒙古低涡低槽型(33%,36例),(2)副高边缘型(23%,25例),(3)西来槽和副高相互作用型(19%,21例),(4)黄淮低涡倒槽型(8%,9例),(5)东北冷涡后部型(5%,5例)。杨波等(2016)对北京地区FHR环流分型与本文类似,但将蒙古低涡低槽型统一归入西风槽型;许敏等(2017)对廊坊FHR的环流背景分型也与本文类似;因此,对于京津冀一带FHR来说,环流类型是基本一致的。
2.1 蒙古低涡低槽型蒙古高原存在低槽(某些过程中可发展为闭合低涡),PKX区域受其影响。在蒙古低涡低槽型下位于河套地区以北至内蒙古地区的500 hPa位势高度负距平明显偏强,PKX区域位于负距平中心前侧梯度大值区内(图 2a)。850 hPa对应上空高空槽的位置为温度负距平(冷气团),PKX区域处在显著负距平梯度前侧,受显著南风影响(图 2b)。925 hPa上华北平原在南风气流顶端、从太行山东侧河北中部偏南地区至北京地区形成水汽辐合带(图 2c)。
|
图 2 蒙古低涡低槽型环流特征(a)500 hPa位势高度合成场(等值线,单位:dagpm)和距平场(填色),(b)850 hPa风场距平(风矢)和温度场距平(填色),(c)925 hPa水汽通量散度合成场(填色,单位:10-7 g·s-1·cm-2·hPa-1)和水汽通量距平场(箭矢,单位:g·s-1·cm-1·hPa-1) Fig. 2 Circulation characteristics of the Mongolian vortex and trough type (a) composite field of 500 hPa geopotential height (contour, unit: dagpm) and its anomaly (colored), (b) anomalies of 850 hPa wind field (vector) and temperature field (colored), (c) composite field of 925 hPa moisture flux divergence (colored, unit: 10-7 g·s-1·cm-2·hPa-1) and the anomaly of moisture flux (vector, unit: g·s-1·cm-1·hPa-1) |
500 hPa以纬向环流为主,平直西风中有时有弱波动,副高强盛,呈东西带状,PKX区域位于584 dagpm边缘。山西、内蒙古以东呈显著位势高度正距平,华北地区位于正距平中心内(图 3a)。850 hPa上PKX区域处于南北向的温度正距平梯度区中(图 3b),925 hPa副高外围的边界层西南气流明显偏强,将西太平洋的水汽输送至京津冀中南部,水汽辐合较蒙古低涡低槽型更强,辐合中心在河北中部地区(图 3c),表明低层暖湿空气向北输送是副高边缘型的主要环流特征。
|
图 3 副高边缘型环流特征(a)500 hPa位势高度合成场(等值线,单位:dagpm)和距平场(填色),(b)850 hPa风场距平(风矢)和温度场距平(填色),(c)925 hPa水汽通量散度合成场(填色,单位:10-7 g·s-1·cm-2·hPa-1)和水汽通量距平场(箭矢,单位:g·s-1·cm-1·hPa-1) Fig. 3 Circulation characteristics of the western Pacific subtropical high edge type (a) composite field of 500 hPa geopotential height (contour, unit: dagpm) and its anomaly (colored), (b) anomalies of 850 hPa wind field (vector) and temperature field (colored), (c) composite field of 925 hPa moisture flux divergence (colored, unit: 10-7 g·s-1·cm-2·hPa-1) and the anomaly of moisture flux (vector, unit: g·s-1·cm-1·hPa-1) |
河套地区西风槽较深,环流经向度相对副高边缘型大,588 dagpm线控制江南至长江中下游一带,东北地区高压脊阻挡西风槽东移,PKX区域位于槽前(图 4a);850 hPa副高西侧西南风和南侧东南风明显偏强,两支气流在黄准地区交汇且受西风槽前正涡度平流引导向北输送,与槽前西南风同向叠加(图 4b);显著暖湿南风通道末端在925 hPa于河北中部至北京东北部形成明显的西南—东北向的水汽辐合中心(图 4c)。
|
图 4 西来槽和副高相互作用型环流特征(a)500 hPa位势高度合成场(等值线,单位:dagpm)和距平场(填色),(b)850 hPa风场距平(风矢)和温度场距平(填色),(c)925 hPa水汽通量散度合成场(填色,单位:10-7 g·s-1·cm-2·hPa-1)和水汽通量距平场(箭矢,单位:g·s-1·cm-1·hPa-1) Fig. 4 Circulation characteristics of interaction type of westerly trough and the western Pacific subtropical high (a) composite field of 500 hPa geopotential height (contour, unit: dagpm) and its anomaly (colored), (b) anomalies of 850 hPa wind field (vector) and temperature field (colored), (c) composite field of 925 hPa moisture flux divergence (colored, unit: 10-7 g·s-1·cm-2·hPa-1) and the anomaly of moisture flux (vector, unit: g·s-1·cm-1·hPa-1) |
北京北部为高压脊控制,位势高度正距平中心在东北地区至日本海,利于东南暖湿气流影响PKX区域(图 5a);南部则受黄淮低涡倒槽系统影响,对应850 hPa、925 hPa风场距平有异常强盛的气旋,PKX区域位于该气旋顶部的东南气流中;850 hPa温度距平不明显(图 5b),与其他4类在对流层低层背景上有显著差异。受低层倒槽切变影响,925 hPa水汽辐合中心在京津冀中南部,北京地区水汽辐合的强度较其他4类更强(图 5c)。
|
图 5 黄淮低涡倒槽型环流特征(a)500 hPa位势高度合成场(等值线,单位:dagpm)和距平场(填色),(b)850 hPa风场距平(风矢)和温度场距平(填色),(c)925 hPa水汽通量散度合成场(填色,单位:10-7 g·s-1·cm-2·hPa-1)和水汽通量距平场(箭矢,单位:g·s-1·cm-1·hPa-1) Fig. 5 Circulation characteristics of the Huang-Huai vortex inverted trough type (a) composite field of 500 hPa geopotential height (contour, unit: dagpm) and its anomaly (colored), (b) anomalies of 850 hPa wind field (vector) and temperature field (colored), (c) composite field of 925 hPa moisture flux divergence (colored, unit: 10-7 g·s-1·cm-2·hPa-1) and the anomaly of moisture flux (vector, unit: g·s-1·cm-1·hPa-1) |
东北地区受深厚冷涡控制,东北、华北东部位势高度负距平,PKX区域位于负距平中心西侧(图 6a)。冷空气从冷涡后部分裂南下,多横槽活动。850 hPa内蒙古中东部为东北风冷平流,华北中南部受偏南风暖平流影响(图 6b),河北北部、北京北部山区位于南北风和冷暖平流交汇地带,午后对流活跃,并在高空冷涡后部西北气流引导下影响京津平原地区。925 hPa偏东风从渤海、黄海输送水汽,造成太行山前及京津冀偏东部地区水汽强辐合,水汽通道和上述其他类型明显不同(图 6c)。
|
图 6 东北冷涡后部型环流特征(a)500 hPa位势高度合成场(等值线,单位:dagpm)和距平场(填色),(b)850 hPa风场距平(风矢)和温度平流合成场(填色),(c)925 hPa水汽通量散度合成场(填色,单位:10-7 g·s-1·cm-2·hPa-1)和水汽通量距平场(箭矢,单位:g·s-1·cm-1·hPa-1) Fig. 6 Circulation characteristics of the Northeast China cold vortex rear type (a) composite field of 500 hPa geopotential height (contour, unit: dagpm) and its anomaly (colored), (b) anomalies of 850 hPa wind field (vector) and the composite field of temperature advection (colored), (c) composite field of 925 hPa moisture flux divergence (colored, unit: 10-7 g·s-1·cm-2·hPa-1) and the anomaly of moisture flux (vector, unit: g·s-1·cm-1·hPa-1) |
2014—2023年5—9月PKX区域FHR共筛选出371站次,曹家务和安定站出现频次最多,年均4次(图 7)。总体来看,紧邻PKX以东FHR年均出现频次多,西北部较低,这可能与暖季渤海湾海风锋向西推进的位置、天津对流触发后阵风锋的影响有关。
|
图 7 2014—2023年5—9月PKX区域FHR年平均发生频次的空间分布 Fig. 7 Spatial distribution of the annual mean FHR frequency in the PKX region from May to September during 2014—2023 |
为研究不同强度降水特征,定义雨强20~50 mm·h-1为一般性短时强降水(GFHR),2014— 2023年5—9月PKX区域共计347站次;≥50 mm· h-1为剧烈短时强降水(IFHR)(俞小鼎,2013),共计24站次。GFHR站次的年变化呈现波动上升趋势(图 8a),其中2016年、2021年分别为47次、62次,为发生站次最多的两年,其与2016年“7·20”特大暴雨持续时间长以及2021年北京超长汛期降雨过程多相关。IFHR的年变化不大,多数年份低于5站次。
|
图 8 2014—2023年5—9月PKX区域FHR的(a)年, (b)月与旬和(c)日变化特征 注:图b中的频率指各月份(旬)FHR发生站次占近10年总站次的比例;图c中频率为逐时次FHR站次占近10年总站次的比例,黑实线为五次多项式拟合曲线。 Fig. 8 Characteristics of (a) annual, (b) monthly and dekad, and (c) daily variations of FHR in the PKX region from May to September during 2014-2023 |
统计月变化特征(图 8b),FHR高发于7月、8月,其中7月频率最高,占52%。从旬变化看,6月中旬起显著增多,峰值出现在7月下旬(22%),8月中旬后逐渐减少,且7月上旬、中旬略大于8月上旬。IFHR在5月即有发生,7月最多(62%),其次是8月(20%),9月未出现。
FHR的日变化特征显著(图 8c),五次多项式拟合后呈单峰型特征,傍晚开始增多,峰值发生在22—23时,持续时间较短,凌晨后逐渐减少,白天大部分时间出现频率少,中午至下午为日低发时段,其中12时是最少频率时段。2014—2023年PKX区域的FHR的日变化特征与王国荣和王令(2013)研究的2006—2010年北京地区的统计结果不同,峰值滞后6~7 h,而与王美慧等(2024)指出的华北强降水夜发性特征突出、夜间强降水站点分布集中,且前半夜降水较后半夜具有更强的对流性,夜间型降水强度峰值时间出现在22时一致。这可能与斜坡热力差异导致的前半夜边界层风速加强(Holton, 1967; 孙继松, 2005; 刘鸿波等, 2014; Du and Rotunno, 2014)及其提供的相对白天更好的水汽条件有关。此外,PKX区域处于北京南部,西来降水云带导致的降雨发生时间相比北京大部地区有所滞后。
5类环流形势下FHR的日变化(图 9)有如下特征:蒙古低涡低槽型呈多峰分布,主峰值出现在22时,其次是03—04时和11时。副高边缘型呈双峰分布,主峰值在23时,次峰值在09时。西来槽和副高相互作用型FHR集中于21时至次日03时,峰值也出现在23时,呈典型的单峰型分布。黄淮低涡倒槽型日变化波动较大,早晨、中午和前半夜出现的站次相对较多,可能受低涡阶段性发展、本地热动力因素多重影响,这与北京地区该型下日变化统计为夜雨特征多(杨波等,2016)有所不同。东北冷涡后部型FHR频发于14时,呈集中单峰分布,这是由于午后下垫面辐射增温增强了静力不稳定,从而有利于对流发生。
|
图 9 2014—2023年5—9月不同环流形势下PKX区域FHR小时站次日变化 Fig. 9 Diurnal variation of hourly FHR occurrence stations in the PKX region under different circulation patterns from May to September during 2014-2023 |
利用区域内分钟级雨量统计2014—2023年5—9月FHR在不同时间长度内的降雨强度分布特征(图 10a)。本分析基于分钟级雨量数据,因此未包含廊坊市的小时数据。单站过程最大1 h雨强的中位数为28.8 mm· h-1,95%分位值为58.5 mm·h-1。单站过程最大20、10、5 min雨量的中位数分别为18.8、12.0和6.9 mm,95%分位值分别为35.1、23.3和13.6 mm。由此可见,近一半(43.4%)的FHR在20 min就达到了FHR的标准;约5%的极端过程10 min就能造成FHR事件。
|
图 10 2014—2023年5—9月FHR的单站过程(a)1 h、20 min、10 min、5 min最大雨量与(b)持续时间 Fig. 10 (a) Maximum precipitation for 1 h, 20 min, 10 min, and 5 min and (b) duration time of FHR at a single station from May to September during 2014-2023 |
此外,从持续时间来看,FHR大多持续40~80 min(图 10b),少数持续2 h以上。而IFHR多数持续1~2 h,中位数为88 min。
5类环流形势的分钟级雨量特征如图 11所示。副高边缘型和蒙古低涡低槽型无论是单站过程最大10 min雨量还是单站过程最大1 h雨强均比其他类型大,单站过程最大10 min雨量均值约为15 mm,最大可达20~30 mm;单站过程最大1 h雨强均值都超过30 mm·h-1,最大达50 mm·h-1以上。此外,东北冷涡后部型的单站过程最大10 min雨量也比较大,仅次于前两种类型,均值略低于15 mm,单站过程最大1 h雨强多在30 mm·h-1以下。黄淮低涡倒槽型单站过程最大10 min雨量最小且相对集中,平均10 mm左右。FHR持续时间来看(图略),黄淮低涡倒槽型因系统加深发展且受下游系统阻挡,移速缓慢,持续时间平均约200 min,远超其他类型。东北冷涡后部型最短,多集中在30~60 min。
|
图 11 2014—2023年5—9月不同环流形势下PKX区域FHR的单站过程(a)最大10 min雨量和(b)最大1 h雨强 注:箱体内部黑色圆点表示平均值,黑色线段表示中位数。 Fig. 11 (a) Maximum 10 min precipitation and (b) maximum 1 h rainfall intensity of FHR at a single station in the PKX region under different circulation patterns from May to September during 2014-2023 |
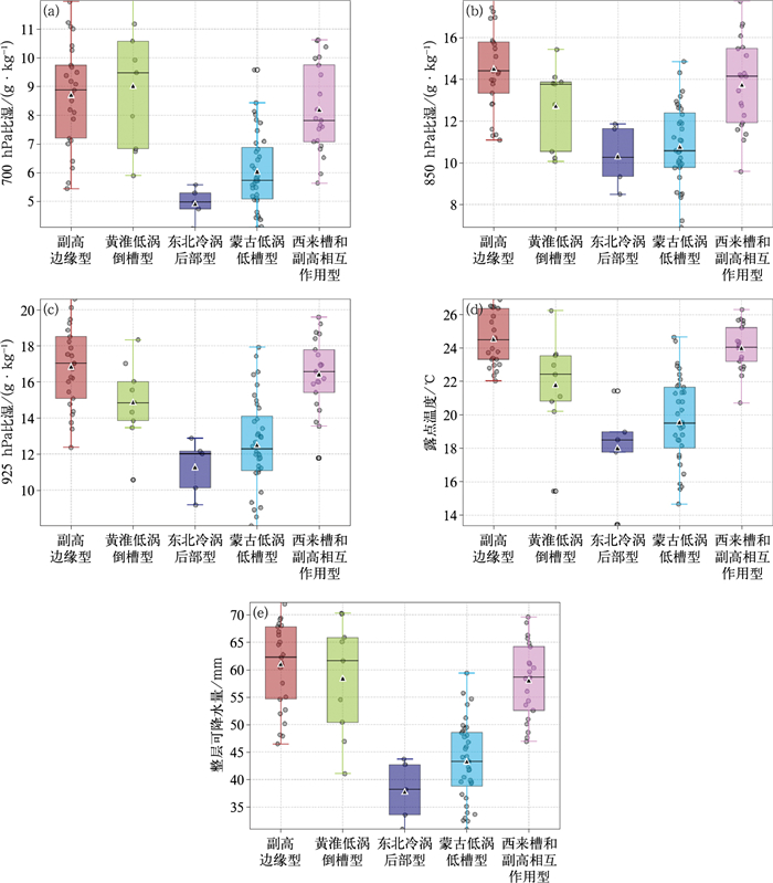
Doswell Ⅲ et al(1996)指出,FHR发生时大气水汽充沛、湿层深厚,可使云粒子在降水系统的下沉气流里较少被蒸发,以保证高降水效率。选取FHR开始时间前1 h的700、850及925 hPa的比湿, 2 m露点温度, 整层可降水量表示水汽条件(图 12)。分析可知,黄淮低涡倒槽型、副高边缘型以及西来槽和副高相互作用型水汽丰富,3层比湿平均值分别为8~9、13~14、15~17 J·kg-1,露点温度约22~25℃,整层可降水量大多超过50 mm。而东北冷涡后部型的水汽条件最差,尤其是中层干,700 hPa比湿均值仅5 J·kg-1,整层可降水量平均仅37 mm。由此可见,在该类型下绝对水汽含量的大小对于FHR的发生并不是关键因素,且由于相对较低的整层可降水量、不强盛的水汽输送,使得该型1 h雨量多在30 mm以下。
|
图 12 2014—2023年5—9月不同环流形势下PKX区域FHR发生前1 h的水汽条件的分布特征(a)700 hPa比湿,(b)850 hPa比湿,(c)925 hPa比湿,(d)露点温度,(e)整层可降水量 注:箱体内部三角形表示平均值,黑色线段表示中位数。 Fig. 12 Statistical characteristics of moisture conditions for 1 h before FHR initiation in the PKX region under different circulation patterns from May to September during 2014-2023 (a) specific humidity at 700 hPa, (b) specific humidity at 850 hPa, (c) specific humidity at 925 hPa, (d) dew point temperature, (e) total precipitable water |
FHR的发生与低层风速脉动和风的辐合有关。分析表明(图 13),FHR开始时间前1 h的黄淮低涡倒槽型700 hPa为偏东、偏南风;东北冷涡后部型700 hPa各方位风向均有可能,其余3类的中低层均为西南风;从风速来看,西来槽和副高相互作用型700 hPa相对较大,均值约为8 m·s-1,除东北冷涡后部型外,其他3类南风也较大(均值7.5 m·s-1)。此外,黄淮低涡倒槽型925 hPa常出现边界层东风急流(均值接近10 m·s-1),与PKX区域处于低涡倒槽顶部位置对应。
|
图 13 2014—2023年5—9月不同环流形势下PKX区域FHR发生前1 h的动力条件的分布特征(a,b)700 hPa和(c,d) 925 hPa(a,c)风速箱线图及(b,d)风向(36位)玫瑰图 注:箱体内部三角形表示平均值,黑色线段表示中位数。 Fig. 13 Statistical characteristics of dynamic conditions for 1 h before FHR initiation in the PKX region under different circulation patterns from May to September during 2014-2023 (a, c) boxplots of wind speeds, (b, d) wind directions (36-point wind rose) at (a, b) 700 hPa and (c, d) 925 hPa |
FHR发生前1 h的热力不稳定特征在各类环流间存在显著差异(图 14)。从对流有效位能(CAPE) 来看,副高边缘型以及西风槽和副高相互作用型中位数均超过1000 J·kg-1,部分个例超过1500 J·kg-1;黄淮低涡倒槽型和东北冷涡后部型不稳定能量较弱,中位数均在500 J·kg-1以下。对流抑制能量(CIN)方面,黄淮低涡倒槽型CIN值极小,但CAPE小且850 hPa和500 hPa温差(T850-500)往往在24℃以下,因此在足够的持续动力强迫下才能发生FHR。东北冷涡后部型CIN也极低,午后低层温度递减率近乎干绝热递减率,近地面气层为绝对不稳定,对流多呈现分散性触发的特征。蒙古低涡低槽型CIN平均为180 J·kg-1,说明对流发展往往受到一定的抑制,发生FHR首先需要一定的动力触发机制来突破抑制层。由T850-500来看,黄淮低涡倒槽型最小,而东北冷涡后部型最大,大部分超过27℃,静力不稳定显著,因此,尽管整层水汽条件欠佳,但显著的静力不稳定仍能产生较大的10 min雨量峰值。各类型间850 hPa相当位温的差异格局与其在850 hPa比湿上的统计分布特征类似,有副高参与的类型最高,表明这两类低层空气更加暖湿。
|
图 14 2014—2023年5—9月不同环流形势下PKX区域FHR发生前1 h的能量及不稳定条件的分布特征(a)CAPE,(b)CIN,(c)850 hPa与500 hPa温度差,(d)850 hPa相当位温 注:箱体内部三角形表示平均值,黑色线段表示中位数。 Fig. 14 Statistical characteristics of energy and instability conditions for 1 h before FHR initiation in the PKX region under different circulation patterns from May to September during 2014-2023 (a) CAPE, (b) CIN, (c) temperature difference between 850 hPa and 500 hPa, (d) equivalent potential temperature at 850 hPa |
垂直风切变是影响雷暴发生发展的重要因子,但与雷暴大风、冰雹等强对流天气不同,FHR的1000 hPa和500 hPa两层等压面间的垂直风切变统计值缺乏指示性,也证明了垂直风切变对FHR强度的区分无显著指示意义(俞小鼎,2013)。
5 结论与讨论本文基于2014—2023年PKX区域分钟和小时级雨量资料,结合ERA5再分析资料,将FHR当日的环流形势主观归类后,探讨了降水特征以及过程前的环境条件,结果表明:
(1) 根据500 hPa环流将FHR分为5类,依占比降序为蒙古低涡低槽型、副高边缘型、西来槽和副高相互作用型、黄淮低涡倒槽型及东北冷涡后部型。
(2) 时空特征及持续时间方面:近10年PKX区域共出现347站次,紧邻PKX以东FHR出现频次多,西北部较低。GFHR站次的年变化呈现波动上升趋势。FHR具有显著季节性特征,高发于7月、8月,其中7月占比过半。FHR日变化呈单峰型分布,白天发生次数较少,主要发生在前半夜,峰值在22—23时,较过去北京地区研究(王国荣和王令,2013)的午后峰值滞后6~7 h。这可能主要与两个因素有关:其一,斜坡热力差异导致前半夜边界层偏南风加强(Holton, 1967; Du and Rotunno, 2014),为对流发生提供有利的动力与水汽条件;其二,PKX区域地处北京东南部,作为西来降水云带的下游,其受影响时间相比北京大部分地区更晚。二者共同导致了降水峰值的滞后。FHR大多持续40~80 min。副高边缘型、西来槽和副高相互作用型的FHR具有明显的夜发特征;东北冷涡后部型引发的FHR集中在午后,持续时间较短;而黄淮低涡倒槽型的FHR日变化波动较大,持续时间最长,平均超过3 h。
(3) 降水强度特征方面,分钟级雨量揭示了传统小时数据难以捕捉的信息,43.4%的FHR事件在其降水最明显的20 min内就达到了FHR的标准,5%的极端过程10 min雨量即可突破20 mm,较俞小鼎(2013)基于小时数据的统计更凸显降水突发性。黄淮低涡倒槽型单站过程最大10 min雨量最小,均值(10 mm左右)仅为东北冷涡后部型(接近15 mm)的67%,但单站过程最大1 h雨强差异不显著,说明分钟数据能更好区分不同环流型降水效率差异。IFHR主要发生在副高边缘型和蒙古低涡低槽型环流背景下,持续时间多为1~2 h。
(4) 各类环流下FHR的发生环境不同。西来槽和副高相互作用型700 hPa西南风较大,该类型与副高边缘型均具有整层高温高湿、高CAPE特征。黄淮低涡倒槽型热力不稳定较弱,但CIN小,且常出现边界层东风急流,动力和水汽辐合强。东北冷涡后部型的整层水汽含量明显偏低,尤其是中层干,但具有显著静力不稳定,CIN极低,有利于出现短历时、局地性的FHR。蒙古低涡低槽型对流发展前水汽条件不显著,有对流抑制,但具备较强的层结不稳定,发生FHR需要动力触发机制。
本研究仅针对时空和环境背景特征统计,未来需引入雷达和卫星观测数据,结合中尺度数值模拟资料,探讨中小尺度系统的演变及其导致的FHR的特征,从而深入理解FHR形成的机理,提升预报精准度。
陈炯, 郑永光, 张小玲, 等, 2013. 中国暖季短时强降水分布和日变化特征及其与中尺度对流系统日变化关系分析[J]. 气象学报, 71(3): 367-382. Chen J, Zheng Y G, Zhang X L, et al, 2013. Analysis of the climatological distribution and diurnal variations of the short-duration heavy rain and its relation with diurnal variations of the MCSs over China during the warm season[J]. Acta Meteor Sin, 71(3): 367-382 (in Chinese).
|
丁一汇, 2005. 高等天气学: 第2版[M]. 北京: 气象出版社: 315-335. Ding Y H, 2005. Advanced Synoptic Meteorology: 2nd ed[M].
Beijing: China Meteorological Press: 315-335 (in Chinese).
|
樊李苗, 俞小鼎, 2013. 中国短时强对流天气的若干环境参数特征分析[J]. 高原气象, 32(1): 156-165. Fan L M, Yu X D, 2013. Characteristic analyses on environmental parameters in short-term severe convective weather in China[J]. Plateau Meteor, 32(1): 156-165 (in Chinese).
|
葛晶晶, 钟玮, 杜楠, 等, 2008. 地形影响下四川暴雨的数值模拟分析[J]. 气象科学, 28(2): 176-183. Ge J J, Zhong W, Du N, et al, 2008. Numerical simulation and analysis of Sichuan rainstorm under terrain influence[J]. Sci Meteor Sin, 28(2): 176-183 (in Chinese).
|
郝莹, 姚叶青, 郑媛媛, 等, 2012. 短时强降水的多尺度分析及临近预警[J]. 气象, 38(8): 903-912. Hao Y, Yao Y Q, Zheng Y Y, et al, 2012. Multi-scale analysis and nowcasting of short-time heavy rainfall[J]. Meteor Mon, 38(8): 903-912 (in Chinese). DOI:10.7519/j.issn.1000-0526.2012.08.002
|
刘菲凡, 郑永光, 罗琪, 等, 2023. 京津冀及周边一般性降水与短时强降水特征对比[J]. 应用气象学报, 34(5): 619-629. Liu F F, Zheng Y G, Luo Q, et al, 2023. Comparison of characteristics of light precipitation and short-time heavy precipitation over Beijing, Tianjin, Hebei and neighbouring areas[J]. J Appl Meteor Sci, 34(5): 619-629 (in Chinese).
|
刘鸿波, 何明洋, 王斌, 等, 2014. 低空急流的研究进展与展望[J]. 气象学报, 72(2): 191-206. Liu H B, He M Y, Wang B, et al, 2014. Advances in low-level jet research and future prospects[J]. Acta Meteor Sin, 72(2): 191-206 (in Chinese).
|
罗亚丽, 孙继松, 李英, 等, 2020. 中国暴雨的科学与预报: 改革开放40年研究成果[J]. 气象学报, 78(3): 419-450. Luo Y L, Sun J S, Li Y, et al, 2020. Science and prediction of heavy rainfall over China: research progress since the reform and opening-up of the People's Republic of China[J]. Acta Meteor Sin, 78(3): 419-450 (in Chinese).
|
盛杰, 张小雯, 孙军, 等, 2012. 三种不同天气系统强降水过程中分钟雨量的对比分析[J]. 气象, 38(10): 1161-1169. Sheng J, Zhang X W, Sun J, et al, 2012. The comparative analysis of minute-class rainfall on three different heavy rain processes[J]. Meteor Mon, 38(10): 1161-1169 (in Chinese). DOI:10.7519/j.issn.1000-0526.2012.10.001
|
孙继松, 2005. 北京地区夏季边界层急流的基本特征及形成机理研究[J]. 大气科学, 29(3): 445-452. Sun J S, 2005. A study of the basic features and mechanism of boundary layer jet in Beijing Area[J]. Chin J Atmos Sci, 29(3): 445-452 (in Chinese).
|
孙继松, 戴建华, 何立富, 等, 2014. 强对流天气预报的基本原理与技术方法: 中国强对流天气预报手册[M]. 北京: 气象出版社: 1-158. Sun J S, Dai J H, He L F, et al, 2014. Fundamentals and Technical Methods of Strong Convective Weather Forecasting: A Handbook of Strong Convective Weather Forecasting in China[M].
Beijing: China Meteorological Press: 1-158 (in Chinese).
|
孙继松, 雷蕾, 于波, 等, 2015. 近10年北京地区极端暴雨事件的基本特征[J]. 气象学报, 73(4): 609-623. Sun J S, Lei L, Yu B, et al, 2015. The fundamental features of the extreme severe rain events in the recent 10 years in the Beijing Area[J]. Acta Meteor Sin, 73(4): 609-623 (in Chinese).
|
孙建华, 张小玲, 卫捷, 等, 2005. 20世纪90年代华北大暴雨过程特征的分析研究[J]. 气候与环境研究, 10(3): 492-506. Sun J H, Zhang X L, Wei J, et al, 2005. A study on severe heavy rainfall in North China during the 1990s[J]. Climatic Environ Res, 10(3): 492-506 (in Chinese).
|
田付友, 郑永光, 张涛, 等, 2017. 我国中东部不同级别短时强降水天气的环境物理量分布特征[J]. 暴雨灾害, 36(6): 518-526. Tian F Y, Zheng Y G, Zhang T, et al, 2017. Characteristics of environmental parameters for multi-intensity short-duration heavy rainfalls over East China[J]. Torr Rain Dis, 36(6): 518-526 (in Chinese).
|
王国荣, 王令, 2013. 北京地区夏季短时强降水时空分布特征[J]. 暴雨灾害, 32(3): 276-279. Wang G R, Wang L, 2013. Temporal and spatial distribution of short-time heavy rain of Beijing in summer[J]. Torr Rain Dis, 32(3): 276-279 (in Chinese).
|
王宏, 王秀明, 姜云雁, 等, 2021. 承德山区夏季短时强降水的时空分布及环境参数特征[J]. 气象, 47(12): 1469-1483. Wang H, Wang X M, Jiang Y Y, et al, 2021. Spatio-temporal distribution and environmental parameters of short-time severe precipitation in the Chengde mountains in summer[J]. Meteor Mon, 47(12): 1469-1483 (in Chinese). DOI:10.7519/j.issn.1000-0526.2021.12.004
|
王美慧, 郑永光, 李典南, 等, 2025. 华北日间型与夜间型强降水过程特征对比研究[J]. 气象学报, 83(5): 1-16. Wang M H, Zheng Y G, Li D N, et al, 2025. Characteristics of daytime and nighttime types of torrential precipitation processes in North China[J]. Acta Meteor Sin, 83(5): 1-16 (in Chinese).
|
王莹, 王艳春, 易笑园, 等, 2024. 天津一次夜间极端短时强降水的中尺度特征及成因探究[J]. 气象, 50(12): 1451-1466. Wang Y, Wang Y C, Yi X Y, et al, 2024. Mesoscale characteristics and causes of a nighttime extreme short-time severe precipitation in Tianjin[J]. Meteor Mon, 50(12): 1451-1466 (in Chinese). DOI:10.7519/j.issn.1000-0526.2024.061401
|
吴照宪, 罗亚丽, 刘希, 等, 2022. 2011—2018年安徽暖季短时强降水及其环流背景统计特征[J]. 气象, 48(8): 963-978. Wu Z X, Luo Y L, Liu X, et al, 2022. Statistical characteristics of the hourly heavy rainfall events over Anhui Province during the 2011-2018 warm seasons and the associated synoptic circulation patterns[J]. Meteor Mon, 48(8): 963-978 (in Chinese). DOI:10.7519/j.issn.1000-0526.2022.041001
|
许敏, 丛波, 张瑜, 等, 2017. 廊坊市短时强降水特征及其临近预报指标研究[J]. 暴雨灾害, 36(3): 243-250. Xu M, Cong B, Zhang Y, et al, 2017. The characteristics and adjacent forecast index for short-time strong rainfall in Langfang[J]. Torr Rain Dis, 36(3): 243-250 (in Chinese).
|
杨波, 孙继松, 毛旭, 等, 2016. 北京地区短时强降水过程的多尺度环流特征[J]. 气象学报, 74(6): 919-934. Yang B, Sun J S, Mao X, et al, 2016. Multi-scale characteristics of atmospheric circulation related to short-time strong rainfall events in Beijing[J]. Acta Meteor Sin, 74(6): 919-934 (in Chinese).
|
俞小鼎, 2013. 短时强降水临近预报的思路与方法[J]. 暴雨灾害, 32(3): 202-209. Yu X D, 2013. Nowcasting thinking and method of flash heavy rain[J]. Torr Rain Dis, 32(3): 202-209 (in Chinese).
|
郑媛媛, 姚晨, 郝莹, 等, 2011. 不同类型大尺度环流背景下强对流天气的短时临近预报预警研究[J]. 气象, 37(7): 795-801. Zheng Y Y, Yao C, Hao Y, et al, 2011. The short-time forecasting and early-warning research on severe convective weather under different types of large-scale circulation background[J]. Meteor Mon, 37(7): 795-801 (in Chinese). DOI:10.7519/j.issn.1000-0526.2011.7.003
|
Doswell Ⅲ C A, 1987. The distinction between large-scale and mesoscale contribution to severe convection: a case study example[J]. Wea Forecasting, 2(1): 3-16. DOI:10.1175/1520-0434(1987)002<0003:TDBLSA>2.0.CO;2
|
Doswell Ⅲ C A, Brooks H E, Maddox R A, 1996. Flash flood forecasting: an ingredients-based methodology[J]. Wea Forecasting, 11(4): 560-581. DOI:10.1175/1520-0434(1996)011<0560:FFFAIB>2.0.CO;2
|
Du Y, Rotunno R, 2014. A simple analytical model of the nocturnal low-level jet over the Great Plains of the United States[J]. J Atmos Sci, 71(10): 3674-3683. DOI:10.1175/JAS-D-14-0060.1
|
Holton J R, 1967. The diurnal boundary layer wind oscillation above sloping terrain[J]. Tellus, 19(2): 199-205.
|
Li H Q, Cui X P, Zhang D L, 2017. A statistical analysis of hourly heavy rainfall events over the Beijing metropolitan region during the warm seasons of 2007-2014[J]. Int J Climatol, 37(11): 4027-4042. DOI:10.1002/joc.4983
|
2026, Vol. 52 
