2. 重庆市气候中心,重庆 401147;
3. 南京大学南京赫尔辛基大气与地球系统科学学院,南京 210023;
4. 重庆市奉节县气象局,奉节 404600;
5. 重庆市气象科学研究所,重庆 401147
2. Chongqing Climate Center, Chongqing 401147;
3. Nanjing-Helsinki Institute in Atmospheric and Earth System Sciences, Nanjing University, Nanjing 210023;
4. Fengjie Meteorological Station of Chongqing Municipality, Fengjie 404600;
5. Chongqing Institute of Meteorological Sciences, Chongqing 401147
生态系统为人类提供了生存发展的物质基础、环境条件及文化服务,包括清新空气、清洁水源和宜人气候等生态产品(欧阳志云等,2013)。
在生态产品价值核算方法学方面,国际国内已形成系统性框架。2021年联合国统计委员会首次发布《环境经济核算体系:生态系统核算》(SEEA EA)(UNSC, 2025),而生态产品实质就是SEEA框架下的生态系统服务(邱琼等,2024)。谢高地等(2008)构建了中国生态系统服务价值当量因子表。欧阳志云等(2013)则创新地提出生态系统生产总值(亦称生态产品总值,GEP)的概念。近年来,全国性规范与诸多地方标准相继出台(欧阳志云等,2020;国家发展改革委和国家统计局,2022),GEP按功能分为物质产品、调节服务、生态文化价值三大类(欧阳志云等,2013),调节服务在三者中占比最高,而调节服务中的气候调节价值普遍占GEP的1/3以上,表明气候调节价值是GEP核算的核心二级指标。
当前GEP气候调节服务核算中,实物量基于生态系统蒸散发消耗的能量,价值量参考人工调温调湿所需电费(欧阳志云等,2020;国家发展改革委和国家统计局,2022年),其准确性依赖温度、湿度、蒸发等气象数据。气候资源不仅有本底和直接转化价值(如风能、太阳能等)(Wang et al,2023),还通过影响农林牧渔、生态环境(如环境空气质量、净初级生产力、固碳、释氧、负氧离子等)和文化旅游等产生附加经济价值(中国气象服务协会, 2024)。例如,正快速增长的全球旅游业(2023年全球旅游总收入为5.54万亿美元)为全球气候旅游市场发展奠定规模优势,中国气象旅游有潜力成为全球气象旅游的引领者(中国气象服务协会,2024)。然而,当前的GEP核算中气候贡献价值主要存在两方面不足:一是风能、太阳能等清洁能源价值被多地研究忽略(林亦晴等,2023;游旭等,2019;张艳军等,2017),且气象数据、指标参数不统一导致可比性不足;二是气候对多个GEP细分指标的影响难以量化。这些问题表明气候贡献价值精准核算的紧迫性。
气候生态产品总值(GEPC)指以气候资源为基础形成的生态产品总值,包括基础的气候生态要素产品以及衍生出含有气候服务功能的产品(范晓青等,2024;中国气象局,2024;赵思遥和李博,2024)。实践探索中,针对GEP的核算较多,而对GEPC核算的研究基础仍较薄弱。姚霞等(2022)和翟晓瑶等(2024)在浙江省开展GEPC核算初步研究,量化安吉县2022年GEPC为259.08亿元,约占国内生产总值(GDP)的44.49%。中国气象服务协会团体标准(屈雅等,2023)在指标和方法上提供了初步参考;孙维等(2025)基于该团标测算出安徽省旌德县2020年GEP气象产品价值为59.76亿元,略高于当年GDP值54.92亿元。余焰文等(2024)核算出江西抚州市气候生态系统气象利用价值年均值为233亿元,约占GDP的15.3%。蒲秀姝等(2025)核算出2021—2023年四川雅安市生态系统气象利用价值年均值260.33亿元,占GDP的28.4%。此外,刘世伟等(2020)和叶彩华等(2025)分别对中国积雪气候调节服务和北京怀柔天然氧吧生态服务价值开展了价值核算。
然而,现有GEPC核算存在核算科目不统一、范围界定不清晰、数据来源与质量参差不齐、非市场价值难以量化等问题。GEPC作为GEP的重要组成部分,基础性研究明显不足,导致GEPC核算相关标准规范发展滞后(姜月清等,2024),制约了其对GEP的重要贡献作用。重庆是典型山地城市,立体气候特征明显,本文以奉节县为例,探索区域GEPC核算指标与方法,为气候生态产品价值转化及未来纳入GEP提供参考。
1 研究区域奉节县位于中国西南地区重庆市的东北部,地处长江三峡库区腹心,地跨30°29′19″~31°22′33″N、109°1′17″~109°45′58″E,幅员面积为4098 km2,其境内以山地为主,海拔为86~2123 m(图 1a)。奉节县属中亚热带暖湿东南季风气候,低海拔河谷地区为中亚热带,中、高海拔山区为暖温带(图 1b)。奉节县气候温和,城区年平均气温为18.7℃,年均降水量为1022 mm,年均降水日数为155 d,常年日照时数为1341 h。生态环境宜人,森林覆盖率为64%,空气优良天数年均350 d以上,2023年地区生产总值386.9亿元。
|
图 1 奉节县(a)高程及(b)气候带分布 Fig. 1 Distribution of (a) elevation and (b) climate zone in Fengjie County |
本研究使用气象、生态环境和社会经济三类数据。
(1) 气象数据来源于中国气象局“天擎”气象大数据平台,包括2019—2023年奉节县1个国家级气象观测站和县域内65个省级气象观测站的气温、降水、湿度、风、云量等逐日观测数据。蒸发量采用ERA5再分析数据。
(2) 生态环境数据主要包括大气污染物、负氧离子、植被净生产力等。植被净初级生产力数据采用美国国家航空航天局(NASA)提供的2019—2023年MOD17A3数据,时间分辨率为1 a, 空间分辨率为500 m。空气质量与大气污染物监测数据来源于奉节县生态环境局。负氧离子数据来源于奉节县气象局(1个观测站,海拔1364.2 m)。土地利用数据来源于哥白尼土地监测中心,空间分辨率为250 m。
(3) 社会经济数据主要包括灾害损失、农林牧渔业产量、风光水力发电量、旅游收入等。2019—2023年国民经济和社会发展数据、农林牧渔业产量、产值数据来源于奉节县统计局;旅游收入、人次数据来源于奉节县文化和旅游发展委员会;风光水电的发电量数据来源于奉节县电力部门。暴雨洪涝灾害损失数据来源于中国气象局气象灾害管理系统。
2.2 研究方法本研究基于GEP框架,采用“气候要素-服务功能-经济价值”模式进行GEPC核算。依据GEP分类标准(欧阳志云等,2020;国家发展改革委和国家统计局,2022年),将气候生态产品划分为气候供给产品、气候调节服务、气候文化服务三大类(赵思遥和李博,2024)。充分考虑气候对GEP中核算科目的贡献,通过筛选GEP分类指标,确定气候生态产品的分类指标,即由三大类7个功能科目细分为12个核算科目及指标(表 1)。对于气候供给产品,风光水电资源、农林牧渔业产品的价值利用风光水实际发电量、农林牧渔业产量等社会统计数据核算,淡水资源的价值则通过降水等气象要素计算。对于气候调节服务,核算主要依赖于气象观测、卫星遥感等非经济社会统计数据,部分核算公式中引入了当年气候因子。对于气候文化服务,利用旅游收入、人数等统计数据结合气象数据核算。每个科目指标单独核算,分别累计获得气候供给产品、气候调节服务、气候文化服务三大功能类价值,总和合计为GEPC。
|
|
表 1 奉节县气候生态产品价值核算指标与方法 Table 1 Indexes and methods for accounting the value of climate ecological products in Fengjie County |
气候供给产品指气候生态系统提供的物质供给,包括直接来源于气候系统中风、光、水等自然要素的物质产品,以及在优质的气候生态环境供给下农林牧渔业等生产过程产生的物质产品(赵思遥和李博,2024)。本研究涵盖生态能源供给、用水供给与农林畜牧渔业产品。
(1) 生态能源供给
采用市场价值法核算风光水力发电价值,计算方法参考T/CMSA 0037—2023(屈雅等,2023)气象转化利用供给产品。风能、太阳能发电并网价格取燃煤发电市场交易基准价(0.3964元·kWh-1;重庆市发展和改革委员会,2021),水力发电并网价格取0.305元·kWh-1(重庆市发展和改革委员会,2016)。
(2) 用水供给
采用市场价值法核算淡水资源价值,计算方法参考T/CMSA 0037—2023(屈雅等,2023)气象直接利用供给产品中淡水资源。淡水资源价格取居民用水价格(3.5元·t-1;重庆市发展和改革委员会,2015)与居民污水处理费(1.0元·t-1;重庆市发展和改革委员会,2009)的差值,即2.5元·t-1。
(3) 农林牧渔业产品供给
采用市场价值法核算农林牧渔业产品的气候价值,计算方法参考T/CMSA 0037—2023(屈雅等,2023)气象附加利用供给产品。本研究中产品种类包括农业、林业、畜牧业和渔业等四种类型,气候条件对农林牧渔业产品的贡献率取30%。
2.2.2 气候调节服务GEP中规定气候调节服务是指生态系统通过植被蒸腾作用、水面蒸发过程吸收太阳能,降低气温、增加空气湿度,改善人居环境舒适程度的生态功能(欧阳志云等,2020)。赵思遥和李博(2024)指出气候调节服务是降水、环流等气候要素对特定区域生态环境的整体调节,为维持或改善人类生存环境提供的价值。考虑气候对GEP中调节服务指标的贡献度,本研究的气候调节服务包括了降温节能、固碳、释氧与绿电减碳和空气调节。
(1) 降温节能
① 植被蒸腾与水面蒸发
按规定计算方法(欧阳志云等,2020),运用替代成本法采用空调等效降温所需要的用电量计算植物蒸腾与水面蒸发的价值。电价取居民生活用电价格(0.52元·kWh-1;重庆市发展和改革委员会,2023),空调开放天数取日最高气温大于26℃的天数,空调能效比取3,挥发潜热取2450 J·g-1。
② 适宜气温减少能源消耗
采用市场价值法,用夏季适宜气温减少的用电消耗估算其价值,计算公式为:
| $ V_{\mathrm{e}}=E_{\mathrm{e}} \times P_{\mathrm{e}}=\left(D_{\mathrm{s}} \times N_{\mathrm{h}} \times E_{\mathrm{d}}\right) \times P_{\mathrm{e}} $ | (1) |
式中:Ve为适宜气温减少能源消耗价值(单位:元),Ee为夏季适宜气温减少的用电量(单位:kWh),Ds为夏季舒适日数(单位:d),按《人居环境气候舒适度评价》(冯明等,2011)方法计算,Nh为户籍数,Ed为每户每天平均空调用电量(单位:kWh),按每户1台空调每天使用8 h估算,Pe为居民用电价格(单位:元·kWh-1),取0.52元·kWh-1(重庆市发展和改革委员会,2023)。
(2) 固碳、释氧与绿电减碳
① 固碳、释氧
参考欧阳志云等(2020)计算方法,采用净生态系统生产力法计算得到生态系统固碳、释氧价值,再乘以气候贡献率得到固碳、释氧的气候价值。碳交易价格取重庆2019—2023年碳交易平均价格(27元· t-1),来源于2023年中国碳市场年报;氧气价格采用Wind EDB数据库重庆市2022—2023年的平均液氧交易价格(351元·t-1);参考谢慧君等(2023)研究结果,考虑气候因素对岩溶区和非岩溶区植被净初级生产力的不同影响,气候贡献率取岩溶区和非岩溶区的平均值(68.9%);净生态系统生产力采用CASA模型(张继等,2024)估算。
②绿电减碳
采用市场价值法核算使用绿电(只考虑风能、太阳能)减少的碳排放价值,计算公式为:
| $ V_{\mathrm{c}}=R_{\mathrm{CO}_2} \times P_{\mathrm{c}}=Y_{\mathrm{c}} \times \mathrm{EF} \times P_{\mathrm{c}} $ | (2) |
式中:Vc为减碳价值(单位:元),RCO2为绿电减碳量(单位:t),Pc为碳交易价格(单位:元·t-1),取27元·t-1,Yc为风能太阳能发电量(单位:kWh),EF为组合边际排放因子,参考2022年减排项目中国区域电网基准线排放因子(国家气候战略中心,2024),取0.407275。
(3) 空气调节
① 空气净化
参考欧阳志云等(2013)的做法,按照T/CMSA 0037—2023(屈雅等,2023)降水和风对空气的净化计算方法,采用替代成本法核算降水与风对污染物的清除价值,大气颗粒物主要考虑PM2.5与PM10。混合层高度计算参考GB /T 3840—1991(国家技术监督局和国家环境保护局,1992),取2019—2023年奉节县国家级气象站的逐日混合层高度平均值(760 m);污染物PM2.5造成经济损失取4897元·kg-1,PM10治理成本取1875.9元·t-1(孙维等,2025)。
② 负氧离子
采用替代成本法,按照《森林生态系统服务功能评估规范》(王兵等,2020)计算生态系统的空气负氧离子价值,再乘以气候贡献率得到其气候价值。空气负离子浓度与风速、空气温度、相对湿度、太阳辐射、天气现象等气象要素有较大相关性,浓度变化遵循雨天>阴天>多云>晴天的规律(邓玲等,2017);参考方砚秋等(2022)分别以雨天和晴天建立的气象因子预测空气负氧离子浓度回归模型的决定系数R2,取两者均值32%作为气候贡献率;根据CLCD土地利用数据,得到奉节县林地面积为2969.09 km2,林地高度平均值为10.25 m(Liu et al, 2022)。
2.2.3 气候文化服务气候文化服务指满足人们文化兴趣和休闲娱乐、知识获得等方面需求的气候产品(中国气象服务协会,2024),一般指良好的气候生态环境提供的景观旅游价值,为提高人类生活质量带来的价值(赵思遥和李博,2024)。采用旅行费用法,重点考虑适宜气候条件对旅游促进作用产生的气候文旅附加价值,计算公式为:
| $ V_{\mathrm{t}}=N_{\mathrm{t}} \times C_{\mathrm{t}} \times I \times R $ | (3) |
式中: Vt为气候旅游价值;Nt为游客总人数(单位:人次);Ct为游客平均旅游消费水平(单位:元·人次-1);I为文旅品牌影响力指数,根据中国县域品牌影响力报告(刘彦平和吕风勇,2022),奉节县取0.366;R来源于中国气象局生态气象业务服务《气候康养资源评价技术规范(试行)》中气候舒适度指标在气候康养资源评价总分的占比,奉节县2019—2023年R值变化范围在0.14~0.18。
3 结果与分析 3.1 气候供给产品价值 3.1.1 生态能源供给图 2a和2b分别为2019—2023年奉节县风光水力发电量与风光水电价值变化。可以看到,光伏发电量较小,奉节县发电主要依靠风能和水力。2019—2023年光伏发电量、风能发电量总体上逐年增加,而水力发电量受降水影响波动较大。2023年风、光、水力的发电量分别为37.8×103、0.59×103、24.5×103 kWh,价值分别为0.27、0.01、0.58亿元,风光水力发电总价值为0.86亿元。
|
图 2 2019—2023年奉节县气候供给产品物质量与价值量变化(a)风光水力发电量,(b)风光水力发电价值,(c)农林牧渔业产值与消耗,(d)农林牧渔业价值,(e)淡水资源量,(f)淡水资源价值 Fig. 2 Changes in physical quantity and value of climate supply products in Fengjie County during 2019-2023 (a) wind, solar and hydroelectric power generation, (b) values of wind, solar and hydroelectric power generation, (c) output and consumption of agriculture, forestry, animal husbandry and fishery, (d) values of agriculture, forestry, animal husbandry and fishery, (e) freshwater resource quantity, (f) values of freshwater resources |
图 2c和2d分别为2019—2023年奉节县农林牧渔业产值、消耗与气候价值的变化。农业、牧业产值较高,相应的消耗也较大;林业、渔业的产值和消耗较小。2019—2023年奉节县农林牧渔业产值与其气候价值同步增加,产值从76.8亿元增至107.1亿元,气候价值从17.8亿元增至24.3亿元。
3.1.3 用水供给图 2e和2f分别为2019—2023年奉节县淡水资源量与淡水资源价值的变化。总的来看,降水越多的年份,淡水资源量及其价值也越大。2019年、2022年降水偏少,淡水资源总量分别为6.3亿t、3.7亿t,淡水资源价值仅15.2亿元、9.2亿元;2023年降水偏多,淡水资源总量达35.8亿t,价值88.8亿元,为该5年最高。
3.2 气候调节服务价值 3.2.1 降温节能(1) 植被蒸腾与水面蒸发
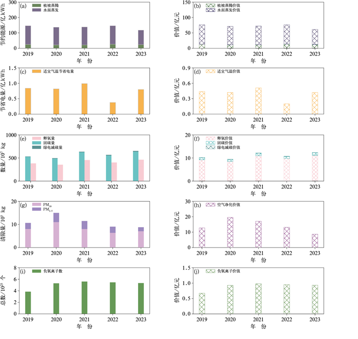
如图 3a和3b所示,奉节县水面蒸发的降温节能效果大于植被蒸腾。2019—2023年植被蒸腾降温节约的能源消耗量为21.8~26.3亿kWh,价值在11.4~13.7亿元;水面蒸发节约能源为94.4~121.3亿kWh,价值在49.1~63.1亿元;两者总价值为61.4~76.2亿元。2023年降温节能价值较少,主要由于蒸发量偏小。
|
图 3 2019—2023年奉节县气候调节服务物质量与价值量变化(a)植被蒸腾与水面蒸发节约能源,(b)植被蒸腾与水面蒸发价值,(c)适宜气温节省电量,(d)适宜气温价值,(e)固碳、释氧、绿电减碳量,(f)固碳、释氧、绿电减碳价值,(g)污染物清除量,(h)空气净化价值,(i)负氧离子数,(j)负氧离子价值 Fig. 3 Changes in physical quantity and value of climate regulation services in Fengjie County during 2019-2023 (a) energy savings from vegetation transpiration and water surface evaporation, (b) values of vegetation transpiration and water surface evaporation, (c) electricity savings due to suitable temperatures, (d) values of suitable temperatures, (e) carbon sequestration, oxygen release and carbon reduction from green electricity, (f) values of carbon sequestration, oxygen release and carbon reduction from green electricity, (g) pollutant removals, (h) values of air purification, (i) amounts of negative oxygen ions, (j) values of negative oxygen ions |
(2) 适宜气温减少用电消耗
如图 3c和3d所示,2021年夏季平均气温为26.8℃,舒适日数为47 d,节省用电量为0.99亿kWh,价值达0.51亿元,为5年最高;2022年夏季气温为30.5℃,舒适日数为18 d,节省用电量为0.38亿kWh,价值仅0.20亿元,为5年最低。
3.2.2 固碳、释氧与绿电减碳2019—2023年奉节县固碳、绿电减碳、释氧量与价值呈波动增加趋势,绿电减碳量在6.7~15.6万t,固碳量为486.3~636.2万t,释氧量为353.7~ 462.7万t,总价值在9.5~12.4亿元(图 3e,3f)。2023年固碳量、绿电减碳量和释氧量为5年最高,价值分别为1.2、0.04和11.2亿元。
3.2.3 空气调节(1) 空气净化
风速决定大气水平扩散能力,奉节县年平均风速为1.4 m·s-1,风对污染物的清除能力有限。降水影响污染物的湿清除,强度和持续时间越大,对PM2.5和PM10的清除作用越明显(郑飒飒等,2024)。2019—2023年奉节县PM2.5、PM10污染物的清除量和价值波动明显(图 3g,3h);2020年清除量为1499 t,价值达19.5亿元,为5年最高;2023年清除量为880 t,价值仅8.6亿元,为5年最低。
(2) 负氧离子
如图 3i和3j所示,负氧离子浓度越高,负氧离子个数越多,其相应的价值也越高。2019—2023年负氧离子总数在3.8×1025~5.6×1025个,价值在0.67~0.98亿元。最低值出现在2019年,最高值出现在2021年。2023年负氧离子总数为5.3×1025个,价值为0.93亿元。
3.3 气候文化服务价值以中国气象局《气候康养资源评价技术规范(试行)》中气候舒适度为较舒适及以上等级的天数为气候舒适日数。由图 4可以看出,2019—2023年奉节县年气候舒适日数在147~182 d,气候舒适度指标分值占比为0.14~0.18,旅游接待人数、收入和价值逐年增加。2023年旅游人数为3111万人,旅游收入为180亿元,气候文化价值为11.8亿元,为5年最高值。
|
图 4 2019—2023年奉节县(a)旅游接待人数,(b)旅游收入,(c)气候舒适日数与(d)气候文化价值变化 Fig. 4 Changes in (a) tourism receipts, (b) tourism revenue, (c) climate comfort days and (d) climate cultural value in Fengjie County during 2019-2023 |
在GEP的政策应用研究中,GEP与GDP的关系有学者通过绿金指数(GGI)表征(马国霞等,2017;Liang et al, 2021),反映“绿水青山”与“金山银山”的转化关系。奉节县GEP高于GDP,属于生态资源禀赋较高的区域(张艳军等,2017)。鉴于GEPC作为GEP的重要组成部分,参考绿金指数,通过GEPC/GDP简要表征当年GEPC对GDP的贡献,并结合地均GEPC、人均GEPC指标,探讨奉节县气候生态资源的经济转化。
表 2为2019—2023年奉节县气候生态产品实物量和价值量的年平均值。奉节县GEPC年均为171.7亿元,占GDP的48%。人均GEPC为1.6万元·人-1,单位面积GEPC为0.04亿元·km-2。从GEPC的构成来看,气候供给产品为66.2亿元(占38.6%),气候调节服务为97.9亿元(占57.0%),气候文化服务为7.6亿元(占4.4%)。在各子类中,降温节能的价值最高,为71.8亿元,占GEPC的41.8%;用水供给价值为43.9亿元,占25.6%;固碳、释氧与绿电减碳的价值为11.0亿元,占6.4%。生态能源供给价值约0.6亿元,占比最小仅0.3%。
|
|
表 2 2019—2023年奉节县气候生态产品实物量和价值量的年平均值 Table 2 The averaged physical volume and value of climate ecological products in Fengjie County during 2019-2023 |
图 5a和5b为2019—2023年奉节县GEPC和GEPC/GDP比值的变化。GEPC在139.2~209.5亿元,年际间差异明显,最多年份(2023年)是最少年份(2019年)的1.5倍。分功能大类来看,气候文化服务价值呈逐年增加趋势,从5.5亿元增加到11.8亿元。气候调节服务价值变幅较小,介于83.8~102.9亿元。气候供给产品价值变幅较大,最多年份(2023年)为最少年份(2019年)的3.4倍。从GEPC/GDP比值变化看(图 5b),2020年为最高(0.56),2022年为最低(0.36),2019—2023年平均比值为0.48。
|
图 5 2019—2023年奉节县(a)GEPC和(b)GEPC/GDP比值的变化 Fig. 5 Changes in (a) the gross climate ecological product and (b) the GEPC/GDP ratio in Fengjie County during 2019-2023 |
本研究将重庆奉节的核算结果与浙江省安吉县(翟晓瑶等,2024)进行对比(表 3)。奉节县的面积和户籍人口是安吉县的2倍多,但由于地理位置和经济发展等因素,奉节县2022年GDP仅为安吉县的68%,GEPC总量约为安吉县的55%。奉节县GEPC与GDP比值为0.36,略低于安吉县的0.44。奉节县人均GEPC和单位面积GEPC分别为1.35万元·人-1与0.03亿元· km-2,明显低于安吉县的5.40万元·人-1与0.14亿元· km-2。这些指标差异在一定程度上反映了西部山区县(奉节)与东部生态县(安吉)的气候生态资源价值转化与经济发展水平的动态耦合程度的差异,受到地理因素、气候生态资源本底及开发利用、经济发展与绿色转型等多种因素的影响。
|
|
表 3 2022年重庆市奉节县与浙江省安吉县的GEPC等关联指标对比 Table 3 Comparison of GEPC and other key indexes between Fengjie County and Anji County in 2022 |
表 4对比了本研究与T/CMSA 0037—2023在核算科目上的异同。与GEP一致,本研究与T/CMSA 0037—2023均将气候生态产品分为气候供给产品、气候调节服务和气候文化服务三大类。具体核算科目上,本研究设置12项,比T/CMSA 0037—2023的9项多3项:气候供给产品减少1项,气候调节服务增加5项,气候文化服务减少1项。
|
|
表 4 本研究与T/CMSA 0037—2023对比 Table 4 Comparison between this study and T/CMSA 0037-2023 |
在气候供给产品方面,本研究依据气候调节与气候供给的区别,将T/CMSA 0037—2023中的气温电量调整至气候调节服务范畴(核算为适宜气温减少用电消耗)。结合奉节县渔业资源较丰富的特点,本研究在农林牧业产品中增加了渔业价值核算。在可利用淡水资源价值核算中,扣减了居民污水处理费,以贴近实际用水成本。在气候调节服务方面,本研究聚焦气候生态系统的自然调节功能,未纳入人工影响和雷电防护核算指标。为体现植被和水体在局地气候调节中的作用,本研究增加了植被蒸腾与水面蒸发科目(与GEP中的局部气候调节一致)。新增了固碳、释氧及绿电减碳(即风、光等绿色电力替代化石能源产生的二氧化碳减排量)核算科目,强调气候在这些生态调节中的关键作用。同时,考虑气候对森林康养的积极作用,增加了负氧离子价值核算。固碳、释氧、负氧离子本身属于GEP中调节核算科目,纳入GEPC主要考虑气候贡献。对于空气净化,本研究相比T/CMSA 0037—2023中的混合层高度固定值有一定优化改进。在气候文化服务方面,由于细分景区的旅游数据难以获取,本研究借鉴屈雅等(2023)和翟晓瑶等(2024)的做法,构建了综合核算指标,考虑县域旅游总人数与收入、县域品牌影响力以及气候舒适度等因素。
4 讨论气候资源价值转化需科学核算体系支撑。核心在于细化GEP框架中气候贡献维度,以揭示区域气候资源向经济价值的转化潜力。本研究在GEP框架下探索发展县域级“气候要素-服务功能-经济价值”的GEPC核算体系,以重庆奉节县为案例探索的GEPC核算体系实证了气候资源的多维度赋能效应。气候供给上,2019—2023年奉节县农林牧渔业产值与气候供给价值同步增长,脐橙、白茶等农产品牌发展及第一产业增加值提升,体现气候资源对农业的持续赋能。气候调节服务里,降温节能调节价值占比41.8%,与其他区域GEP中的占比相近(张林波等,2023)。气候在固碳、释氧、空气调节等方面的作用被纳入气候调节价值,符合GEP中调节价值的定义(欧阳志云等,2013;2020)。文化服务价值在GEP核算的不确定性相对较大,本研究借鉴屈雅等(2023)和翟晓瑶等(2024)的做法,综合考虑旅游人数与收入、县域品牌影响力、气候舒适度指标在气候康养资源中的占比等构建气候文化服务核算指标,虽存在一些不确定性,但已能较好反映气候对文旅康养产业的赋能作用;未来融入改进的气候舒适度模型(谭凯炎等,2022)可提升量化非市场价值的科学性。
准确区分气候生态产品的实物量与潜在量是核算技术的关键难题。GEP规范表明,实物量是生态产品的物理量,价值量是生态产品的货币价值(国家发展改革委和国家统计局,2022年)。根据现有GEPC标准(屈雅等,2023)和相关研究(翟晓瑶等,2024),气候生态产品的实物量是指该年份气候资源转化为气候生态产品的实际物质量,价值量是其货币价值。这需要与气候资源潜力(如风、光等资源的理论可开发量)及其潜在价值区分开来。例如,重庆市奉节县光能资源潜在价值约23.7亿元,而2023年光电价值仅0.58亿元。浙江省安吉县光能资源潜在价值72.7亿元,而2022年光电价值仅0.05亿元(翟晓瑶等,2024)。然而,在实际核算中,部分科目的实物量与潜在量仍存在混淆且难以完全剥离的情况。对于风光水能等供给类产品,其年实物量可通过统计年报数据直接获取并核算价值。对于调节服务类科目(如植被蒸腾、水面蒸发、固碳、释氧、空气净化等),虽然部分核算公式引入了当年气候因子(例如,植被蒸腾计算中纳入了日最高气温>26℃的空调开放天数),但其数据源主要依赖气象观测、卫星遥感等非经济社会统计数据。这导致基于此类数据核算出的调节服务价值量,难以精准剥离并仅反映该年份气候资源实际转化形成的实物量(即当年实际产生的调节效益),而可能包含部分资源潜力的属性,导致核算得出的总价值可能高于当年气候生态产品的实际价值。未来需要引入更多经济社会统计数据源,发展精准量化气象生态因子对产业及GDP实际贡献的技术模型,优化核算公式与算法,提升核算结果的科学性与准确性。
当前GEPC研究与应用仍面临标准不统一、量化科学性不足及转化机制缺失等挑战。尽管浙江、安徽、海南等地已开展GEPC核算探索(姚霞等,2022;屈雅等,2023;孙维等,2025),但我国GEPC尚缺乏统一标准,跨区域可比性有待加强。极端天气气候事件增多增强(乔琦等,2025;赵琳等,2025)对核算科目的负面影响,在未来标准完善中值得考虑。与此同时,GEPC应用转化机制尚未建立,当前研究仍停留在理论测算层面。奉节县已将GEPC纳入地方考核指标并入选重庆市2024年绿色低碳典型案例,为推动核算结果向政策化、市场化应用提供了宝贵经验。未来需在标准化体系、量化模型和转化路径等方面持续完善,以充分发挥气候生态产品对GEP核算及区域绿色发展的支撑作用。
5 结论以气候资源为基础的气候生态产品是生态产品重要的组成部分。本研究是GEP框架下气候生态产品价值核算的一个典型县域案例:以重庆市奉节县为例,从气候对生态产品贡献的角度出发,利用气象、生态环境和社会经济等数据,构建气候供给产品、气候调节服务、气候文化服务三大功能的GEPC核算12个具体指标,核算并分析了2019—2023年的气候生态产品价值,主要结果如下:
(1) 2019—2023年奉节县GEPC年均为171.7亿元,占GDP的48%;呈现气候调节为主导的结构特征,气候调节服务价值占比最大(97.9亿元,占57.0%),其次是气候供给产品价值(66.2亿元,占38.6%),气候文化服务价值占比最小(7.6亿元,占4.4%)。
(2) 2019—2023年奉节县GEPC年际波动为139.2~209.5亿元,最多年份是最少年份的1.5倍。气候文化价值逐年增加,由5.5亿元增加到11.8亿元;气候调节价值变幅较小,介于83.8~102.9亿元。气候供给产品价值变幅较大,最多年为最少年的3.4倍。
(3) 奉节县GEPC与GDP的比值2019—2023年为0.36~0.56(均值0.48),参考绿金指数,该比值在一定程度上反映区域气候资源价值转化与经济发展水平的动态耦合程度。奉节县人均GEPC约1.6万元·人-1,单位面积GEPC约0.04亿元· km-2,与东部浙江省安吉县存在较大差距。
重庆市发展和改革委员会, (2009-12-15). 重庆市物价局关于调整我市城市污水处理费和主城区自来水价格的通知[EB/OL]. https://fzggw.cq.gov.cn/zwgk/zfxxgkml/jgxx/jgzc/202003/t20200304_5581792.html. Chongqing Municipal Development and Reform Commission, (2009-12-15). Notice of Chongqing Municipal Price Bureau on adjusting urban sewage treatment fees and tap water prices in the main urban area [EB/OL]. https://fzggw.cq.gov.cn/zwgk/zfxxgkml/jgxx/jgzc/202003/t20200304_5581792.html(in Chinese).
|
重庆市发展和改革委员会, (2015-12-04). 重庆市物价局关于建立主城区居民用水阶梯价格制度的通知[EB/OL]. https://fzggw.cq.gov.cn/zwgk/zfxxgkml/jgxx/jgzc/202003/t20200304_5577793.html. Chongqing. Municipal Development and Reform Commission, (2015-12-04). Notice of Chongqing Municipal Price Bureau on establishing a tiered pricing system for residential water use in the main urban area[EB/OL]. https://fzggw.cq.gov.cn/zwgk/zfxxgkml/jgxx/jgzc/202003/t20200304_5577793.html(in Chinese).
|
重庆市发展和改革委员会, (2016-08-16). 重庆市物价局关于奉节县新贺水电站上网电价的复函[EB/OL]. https://fzggw.cq.gov.cn/zwgk/zfxxgkml/jgxx/jgzc/202003/t20200304_5577052.html. Chongqing Municipal Development and Reform Commission, (2016-08-16). Reply letter of Chongqing Municipal Price Bureau on the on-grid electricity price of xinhe hydropower station in Fengjie County[EB/OL]. https://fzggw.cq.gov.cn/zwgk/zfxxgkml/jgxx/jgzc/202003/t20200304_5577052.html(in Chinese).
|
重庆市发展和改革委员会, (2021-11-08). 重庆市发展和改革委员会关于深化我市燃煤发电上网电价市场化改革有关事项的通知[EB/OL]. https://fzggw.cq.gov.cn/zwgk/zfxxgkml/zcwj/qtwj/202111/t20211108_9937528.html. Chongqing Municipal Development and Reform Commission, (2021-11-08). Notice on deepening the market-oriented reform of online electricity prices for coal-fired power generation in Chongqing[EB/OL]. https://fzggw.cq.gov.cn/zwgk/zfxxgkml/zcwj/qtwj/202111/t20211-108_9937528.html(in Chinese).
|
重庆市发展和改革委员会, (2023-05-23). 重庆市发展和改革委员会关于第三监管周期重庆电网输配电价及有关事项的通知[EB/OL]. https://fzggw.cq.gov.cn/zwgk/zfxxgkml/zcwj/qtwj/202305/t20230523_11990060.html. Chongqing Municipal Development and Reform Commission, (2023-05-23). Notice of Chongqing Municipal Development and Reform Commission on transmission and distribution electricity prices of Chongqing power grid in the third regulatory cycle and related matters [EB/OL]. https://fzggw.cq.gov.cn/zwgk/zfxxgkml/zcwj/qtwj/202305/t20230523_11990060.html(in Chinese).
|
邓玲, 廖春花, 李学敏, 等, 2017. 山岳型景区空气负离子浓度分布特征及其与气象要素相关性研究综述[J]. 气象科技, 45(5): 882-888. Deng L, Liao C H, Li X M, et al, 2017. Review on researches on negative air ion concentration distribution and correlation with meteorological elements in mountain tourist areas[J]. Meteor Sci Technol, 45(5): 882-888 (in Chinese).
|
范晓青, 张勇, 庞君如, 2024. 基于气候生态产品价值实现的气象服务模式与发展思考[J]. 气象科技进展, 14(1): 66-69. Fan X Q, Zhang Y, Pang J R, 2024. Meteorological service model based on the value realization of climate ecological products and reflections on its development[J]. Adv Meteor Sci Technol, 14(1): 66-69 (in Chinese).
|
方砚秋, 张方敏, 陈龙, 等, 2022. 江西省空气负离子浓度特征与气象因子相关分析[J]. 气象科学, 42(2): 254-260. Fang Y Q, Zhang F M, Chen L, et al, 2022. Correlation analysis of negative air ion concentration and meteorological factors in Jiangxi[J]. J Meteor Sci, 42(2): 254-260 (in Chinese).
|
冯明, 毛飞, 王学良, 等, 2011. 人居环境气候舒适度评价: GB/T 27963—2011[S]. 北京: 中国标准出版社. Feng M, Mao F, Wang X L, et al, 2011. Climatic suitability evaluating on human settlement: GB/T 27963-2011[S]. Beijing: Standards Press of China(in Chinese).
|
国家发展改革委, 国家统计局, (2022-03-26). 国家发展改革委国家统计局关于印发《生态产品总值核算规范(试行)》的通知[EB/OL]. https://www.guoturen.com/wenku-9518. National Development and Reform Commission, National Bureau of Statistics, (2022-03-26). Accounting standards for gross ecosystem product (trial implementation)[EB/OL]. https://www.guoturen.com/wenku-9518(in Chinese).
|
国家技术监督局, 国家环境保护局, 1992. 制定地方大气污染物排放标准的技术方法: GB/T 3840—1991[S]. 北京: 中国标准出版社. National Technical Supervision Bureau, National Environmental Protection Agency, 1992. Technical methods for making local emission standards of air pollutants: GB/T 3840-1991[S]. Beijing: China Standards Press(in Chinese).
|
国家气候战略中心, (2024-07-08). 2022年减排项目中国区域电网基准线排放因子[EB/OL]. https://ccer.cets.org.cn/notice/noticeDetail?bulletinInfoId=1259912674523877376. National Center for Climate Change Strategy and International Cooperation, (2024-07-08). Baseline emission factors for regional power grids in China's 2022 mitigation projects[EB/OL]. https://ccer.cets.org.cn/notice/noticeDetail?bulletinInfoId=12599-12674523877376(in Chinese).
|
姜月清, 崔晓军, 张艳红, 等, 2024. 气候生态产品价值实现标准化建设初探[J]. 标准科学, (1): 88-95. Jiang Y Q, Cui X J, Zhang Y H, et al, 2024. Study on the standardization of the value of climate ecological products[J]. Stand Sci, (1): 88-95 (in Chinese).
|
林亦晴, 徐卫华, 李璞, 等, 2023. 生态产品价值实现率评价方法——以丽水市为例[J]. 生态学报, 43(1): 189-197. Lin Y Q, Xu W H, Li P, et al, 2023. Assessing the realization of the values of ecosystem products: a case study of Lishui, China[J]. Acta Ecol Sin, 43(1): 189-197 (in Chinese).
|
刘世伟, 王晓明, 效存德, 等, 2020. 中国积雪气候调节服务价值评估[J]. 气候变化研究进展, 16(5): 535-544. Liu S W, Wang X M, Xiao C D, et al, 2020. Evaluating climate regulation service of snow cover in China[J]. Climate Change Res, 16(5): 535-544 (in Chinese).
|
刘彦平, 吕风勇, 2022. 中国县域品牌影响力报告(2021): 推动共同富裕[M]. 北京: 中国社会科学出版社. Liu Y P, Lv F Y, 2022. China County Brand Influence Report 2021:Promoting Common Prosperity[M].
Beijing: China Social Sciences Press (in Chinese).
|
马国霞, 於方, 王金南, 等, 2017. 中国2015年陆地生态系统生产总值核算研究[J]. 中国环境科学, 37(4): 1474-1482. Ma G X, Yu F, Wang J N, et al, 2017. Measuring gross ecosystem product (GEP) of 2015 for terrestrial ecosystems in China[J]. China Environ Sci, 37(4): 1474-1482 (in Chinese).
|
欧阳志云, 王金南, 肖燚, 等, 2020. 陆地生态系统生产总值(GEP)核算技术指南[Z]. Ouyang Z Y, Wang J N, Xiao Y, et al, 2020. Technical Guidelines for Gross Ecosystem Product (GEP) Accounting of Terrestrial Ecosystems[Z](in Chinese).
|
欧阳志云, 朱春全, 杨广斌, 等, 2013. 生态系统生产总值核算: 概念、核算方法与案例研究[J]. 生态学报, 33(21): 6747-6761. Ouyang Z Y, Zhu C Q, Yang G B, et al, 2013. Gross ecosystem product: concept, accounting framework and case study[J]. Acta Ecol Sin, 33(21): 6747-6761 (in Chinese).
|
蒲秀姝, 孙英耀, 郭洁, 等, 2025. 雅安市生态系统气象利用价值核算与空间利用研究[J]. 农业灾害研究, 15(4): 83-85, 89. Pu X S, Sun Y Y, Guo J, et al, 2025. Study on meteorological utilization value accounting and spatial utilization of ecosystems in Ya'an City[J]. J Agr Catastrophology, 15(4): 83-85, 89 (in Chinese).
|
乔琦, 李莹, 杨国威, 等, 2025. 2024年全球重大天气气候事件[J]. 气象, 51(5): 628-635. Qiao Q, Li Y, Yang G W, et al, 2025. Global major weather and climate events in 2024[J]. Meteor Mon, 51(5): 628-635 (in Chinese). DOI:10.7519/j.issn.1000-0526.2025.031601
|
邱琼, 王宏伟, 景谦平, 2024. GEP核算能代表生态产品价值核算吗?——基于SEEA EA对我国生态系统核算若干问题的探讨[J]. 中国国土资源经济, 37(4): 4-10. Qiu Q, Wang H W, Jing Q P, 2024. Could GEP accounting represent the monetary accounting for ecosystem product? -Discussion on ecosystem accounting in China based on SEEA EA[J]. Nat Res Econ China, 37(4): 4-10 (in Chinese).
|
屈雅, 杨彬, 孙维, 等, 2023. 生态系统生产总值气象价值核算技术指南: T/CMSA 0037—2023 [S]. 北京: 中国气象服务协会. Qu Y, Yang B, Sun W, et al, 2023. Technical guidelines for accounting the meteorological value of gross ecosystem product: T/CMSA 0037-2023 [S]. Beijing: China Meteorological Service Association(in Chinese).
|
孙维, 陶国清, 姚叶青, 等, 2025. 生态气象产品价值货币转化及实现途径初探[J]. 气象科技进展, 15(1): 48-54. Sun W, Tao G Q, Yao Y Q, et al, 2025. A preliminary study on the currency transformation and implementation approach of eco-meteorological product value[J]. Adv Meteor Sci Technol, 15(1): 48-54 (in Chinese).
|
谭凯炎, 闵庆文, 王培娟, 2022. 一种基于中国气候特征和人体舒适感受的气候舒适指数模型[J]. 气象, 48(7): 913-924. Tan K Y, Min Q W, Wang P J, 2022. A human climate comfort index model based on the climatic characteristics and human thermal sensations in China[J]. Meteor Mon, 48(7): 913-924 (in Chinese). DOI:10.7519/j.issn.1000-0526.2022.032202
|
王兵, 蒋有绪, 牛香, 等, 2020. 森林生态系统服务功能评估规范: GB/T 38582—2020[S]. 北京: 中国标准出版社. Wang B, Jiang Y X, Niu X, et al, 2020. Specification for assessment of forest ecosystem services: GB/T 38582-2020[S]. Beijing: Standards Press of China(in Chinese).
|
谢高地, 甄霖, 鲁春霞, 等, 2008. 一个基于专家知识的生态系统服务价值化方法[J]. 自然资源学报, 23(5): 911-919. Xie G D, Zhen L, Lu C X, et al, 2008. Expert knowledge based valuation method of ecosystem services in China[J]. J Nat Res, 23(5): 911-919 (in Chinese).
|
谢慧君, 谢亚巍, 曹聪, 等, 2023. 重庆市植被净初级生产力时空变化特征及驱动力分析[J]. 长江流域资源与环境, 32(12): 2581-2597. Xie H J, Xie Y W, Cao C, et al, 2023. Spatial-temporal variation characteristics and driving forces of vegetation net primary productivity in Chongqing[J]. Res Environ Yangtze Basin, 32(12): 2581-2597 (in Chinese).
|
姚霞, 王阔, 郁珍艳, 等, 2022. 气候生态产品价值核算体系研究进展及应用[J]. 浙江气象, 43(3): 1-8. Yao X, Wang K, Yu Z Y, et al, 2022. Research progress and application of climate-ecological product value accounting system[J]. J Zhejiang Meteor, 43(3): 1-8 (in Chinese).
|
叶彩华, 沙祎, 白韧, 等, 2025. "中国天然氧吧"气候生态产品价值分析——以北京怀柔为例[J]. 气象科技, 53(1): 112-123. Ye C H, Sha Y, Bai R, et al, 2025. Value analysis of climate ecological products of "China natural oxygen bar": taking Huairou, Beijing as an example[J]. Meteor Sci Technol, 53(1): 112-123 (in Chinese).
|
游旭, 何东进, 肖燚, 等, 2019. 县域生态保护成效评估方法——以峨山县为例[J]. 生态学报, 39(9): 3051-3061. You X, He D J, Xiao Y, et al, 2019. Assessment of ecological protection effectiveness in a county area: using Eshan County as an example[J]. Acta Ecol Sin, 39(9): 3051-3061 (in Chinese).
|
余焰文, 邓力琛, 花宗, 等, 2024. 抚州市生态系统气象利用价值核算方法[J]. 气象与减灾研究, 47(1): 50-56. Yu Y W, Deng L C, Hua Z, et al, 2024. Research on calculation method of ecosystem meteorological utilization value in Fuzhou[J]. Meteor Disaster Re Res, 47(1): 50-56 (in Chinese).
|
翟晓瑶, 王阔, 李正泉, 等, 2024. 浙江安吉气候生态产品总值探索和评估[J]. 气候变化研究进展, 20(4): 475-484. Zhai X Y, Wang K, Li Z Q, et al, 2024. Value accounting and evaluation of gross climate ecosystem product in Anji County, Zhejiang Province[J]. Climate Change Res, 20(4): 475-484 (in Chinese).
|
张继, 范莉, 陈艳英, 等, 2024. 基于FY4A静止卫星的植被NPP估算及时空分布——以多云雨山区重庆市为例[J]. 遥感信息, 39(4): 115-124. Zhang J, Fan L, Chen Y Y, et al, 2024. Estimation and spatiotemporal distribution of vegetation NPP based on FY4A geostationary satellite: a case study of Chongqing in cloudy and rainy mountainous region[J]. Remote Sens Inform, 39(4): 115-124 (in Chinese).
|
张林波, 陈鑫, 梁田, 等, 2023. 我国生态产品价值核算的研究进展、问题与展望[J]. 环境科学研究, 36(4): 743-756. Zhang L B, Chen X, Liang T, et al, 2023. Research progress, problems and prospects of ecosystem products value accounting in China[J]. Res Environ Sci, 36(4): 743-756 (in Chinese).
|
张艳军, 官冬杰, 翟俊, 等, 2017. 重庆市生态系统服务功能价值时空变化研究[J]. 环境科学学报, 37(3): 1169-1177. Zhang Y J, Guan D J, Zhai J, et al, 2017. Spatial and temporal variations of ecosystem services value in Chongqing City[J]. Acta Sci Circumst, 37(3): 1169-1177 (in Chinese).
|
赵琳, 姜允迪, 钟海玲, 等, 2025. 2024年中国气候特征及主要天气气候事件[J]. 气象, 51(3): 349-357. Zhao L, Jiang Y D, Zhong H L, et al, 2025. Climate characteristics and major meteorological events over China in 2024[J]. Meteor Mon, 51(3): 349-357 (in Chinese). DOI:10.7519/j.issn.1000-0526.2025.022401
|
赵思遥, 李博, 2024. 气候生态产品价值核算方法初探[J]. 气象科技进展, 14(6): 24-32. Zhao S Y, Li B, 2024. A preliminary study on the value accounting method of climate ecological products[J]. Adv Meteor Sci Technol, 14(6): 24-32 (in Chinese).
|
浙江省统计局, 国家统计局浙江调查总队, 2023. 浙江统计年鉴2023[M]. 北京: 中国统计出版社. Zhejiang Provincial Bureau of Statistics, NBS Survey Office in Zhejiang, 2023. Zhejiang Statistical Yearbook 2023[M].
Beijing: China Statistics Press (in Chinese).
|
郑飒飒, 王维佳, 刘东升, 等, 2024. 四川盆地降水对PM2.5和PM10的清除作用分析[J]. 暴雨灾害, 43(5): 607-616. Zheng S S, Wang W J, Liu D S, et al, 2024. Scavenging effect analysis of precipitation on PM2.5 and PM10 in Sichuan Basin[J]. Torr Rain Dis, 43(5): 607-616 (in Chinese).
|
中国气象局, (2024-01-18). 中国气象局关于进一步推动气候生态产品价值实现的指导意见[EB/OL]. https://www.cma.gov.cn/ztbd/2023zt/20230524/2023052401/202401/t20240118_60141-02.html. China Meteorological Administration, (2024-01-18). Guiding opinions on further promoting the value realization of climate-ecological products[EB/OL]. https://www.cma.gov.cn/ztbd/2023zt/20230524/2023052401/202401/t20240118_6014-102.html(in Chinese).
|
中国气象服务协会, 2024. 中国气象经济发展报告(2024)[M]. 北京: 社会科学文献出版社. China Meteorological Service Association, 2024. Report on the Development of China's Meteorological Economy (2024)[M].
Beijing: Social Sciences Academic Press (China) (in Chinese).
|
Liang L N, Siu W S, Wang M X, et al, 2021. Measuring gross ecosystem product of nine cities within the Pearl River Delta of China[J]. Environ Chall, 4: 100105. DOI:10.1016/j.envc.2021.100105
|
Liu X Q, Su Y J, Hu T Y, et al, 2022. Neural network guided interpolation for mapping canopy height of China's forests by integrating GEDI and ICESat-2 data[J]. Remote Sens Environ, 269: 112844. DOI:10.1016/j.rse.2021.112844
|
UNSC (United Nations Statistical Commission), (2025-03-21). System of environmental-economic accounting: ecosystem accounting[EB/OL]. https://seea.un.org/ecosystem-accounting.
|
Wang Y J, Wang R, Tanaka K, et al, 2023. Accelerating the energy transition towards photovoltaic and wind in China[J]. Nature, 619(7971): 761-767. DOI:10.1038/s41586-023-06180-8
|
2026, Vol. 52 
