首页
简介
影响因子
投稿征稿
期刊订阅
编委会
OA声明
文件下载
过刊浏览
English
用户登录
更多>>
作者登录
编辑登录
审稿登录
读者登录
精品推荐
更多>>
★ 气象50周年专刊 ★
“AI气象应用”专栏
“23·7”华北特大暴雨分析与研究
北京“7.21”特大暴雨专栏
“16·7”华北极端强降水分析与研究
“5·7”广州特大暴雨研究
“21·7”河南特大暴雨专栏
台风机理与预报技术研究专栏
预报失败案例专辑
“2014-2016年超强厄尔尼诺事件”专栏
热点文章
更多>>
用对流-辐射平衡理论理解对流云的外观表现
沙尘气溶胶卫星遥感现状与需要关注的若干问题
中国泛华北地区冷季高架对流特征气候统计分析
基于CloudSat卫星分析西太平洋台风云系的垂直结构及其微物理特征
精细化无缝隙网格预报栏目
快速检索
中文标题
英文标题
作者中文名
作者英文名
单位中文名
单位英文名
中文关键词
英文关键词
中文摘要
英文摘要
基金项目
全文
高级检索
当期目录
本期推荐
优先出版
点击排行
下载排行
2025年 第51卷 第11期
刊出日期:2025
简明目录
带摘要目录
全选
取消选择
综合选择
2025年第51卷11期目录
2025,51(11):-
[
摘要(
5
)
]
[
PDF
(
40
)
394.14 K
]
[
HTML
(
)]
DOI
2025年第51卷11期封面
2025,51(11):-
[
摘要(
8
)
]
[
PDF
(
41
)
3.22 M
]
[
HTML
(
)]
DOI
中国业务数值天气预报自主发展中的理论和方法创新
沈学顺,苏勇,李兴良,韩威,杨俊,马占山,刘永柱,张旭,唐杰,陈贤,翁富忠
2025,51(11):1293-1320
[
摘要(
10
)
]
[
PDF
(
80
)
12.00 M
]
[
HTML
(
)]
数值天气预报是天气预报业务和防灾减灾的核心科技,是衡量国家气象现代化水平的关键标志。在我国数值天气预报的自主创新历程中,以全球/区域同化预报系统(GRAPES)为核心的全面业务体系的建立,是具有里程碑意义的事件,标志着从技术引进到自主创新的重大跨越。本文重点综述了新世纪以来GRAPES发展过程中在核心技术方面取得的原创性成果,主要包括预估-修正的半隐式半拉格朗日时间积分方案、多矩约束有限体积方法、高精度正定保形平流方案、双参数云物理方案、尺度自适应湍流参数化方案、快速辐射传输模式、非静力全球模式的切线和伴随模式、有约束卫星资料偏差订正、FY-4红外高光谱同化算法等方面的自主创新发展。这些突破是基础研究与业务实践紧密结合的成果,全面提升了我国自主研发的数值天气模式的预报性能。
DOI
中央气象台智能数字天气预报业务的技术进展
金荣花,曹勇,赵瑞霞,代刊,郭云谦,徐珺,曾晓青,王玉,唐健,韦青
2025,51(11):1321-1334
[
摘要(
11
)
]
[
PDF
(
70
)
7.97 M
]
[
HTML
(
)]
智能数字天气预报是气象服务保障的关键手段,全球各国积极发展新一代无缝隙预报技术系统并推动人工智能在气象领域应用。我国构建了完备的智能数字预报业务系统(CMA-NDFS),中央气象台实现全国1 km、全球5 km分辨率的近地面及三维0~30 d无缝隙数字预报。通过区分时效和要素构建适配性技术、以及多源预报融合的总体思路,发展智能数字天气预报技术体系。研发了统一、规范及模块可扩展的智能数字天气预报通用技术框架,实现三十多类算法,支持“低代码”部署,在重大活动保障和极端天气预报中发挥重要作用。实现了深度学习等人工智能技术的深度应用,在短时、短期、中期降水及强对流、灾害性大风预报等方面,通过构建考虑物理机理约束的深度学习模型,显著提升预报性能,精细化降尺度技术也取得进展。同时,多源预报融合集成技术不断发展,主客观智能融合预报提升了灾害性天气预警能力。中央气象台智能数字天气预报准确率在欧洲中期天气预报中心和中国气象局主流数值模式基础上提高10%以上,在多领域应用广泛。未来仍面临挑战,将针对灾害性和转折性天气预报、人工智能和物理机理的有效融合、专业气象和风险预报扩展、以气象“智脑”为核心的一体化平台等方面的技术进行突破。
DOI
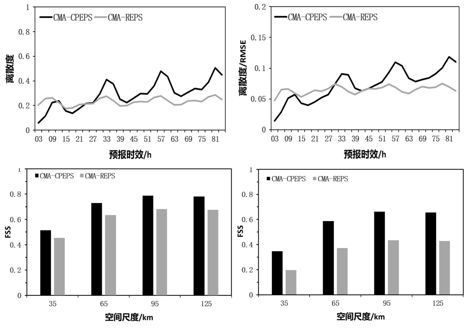
减少预报不确定性,提高预报能力——集合预报的发展和应用
朱跃建,代刊,唐健
2025,51(11):1335-1352
[
摘要(
10
)
]
[
PDF
(
85
)
10.08 M
]
[
HTML
(
)]
本文回顾了集合预报的发展历程、关键技术和应用价值。集合预报源于对大气非线性与混沌特性的认知,自20世纪60年代Lorenz提出“蝴蝶效应”后,通过在数值预报中引入多扰动试验来量化预报不确定性。初始扰动技术从繁殖增量法、奇异向量法到集合卡尔曼滤波等方法,模式扰动技术则包括随机动力学扰动、随机物理参数化扰动及多物理方案集合等。国际主要气象中心于90年代初相继建立了全球和区域集合预报系统。通过统计后处理技术,集合预报可生成多种概率预报产品,显著提升了极端天气预警的准确性和时效性。近年来,以Google SEEDS等为代表的AI集合预报模型取得突破,以更低成本实现更优预报性能。未来集合预报将向物理模式与AI结合的新范式发展,进一步提升预报能力。
DOI
西亚陆面热力异常的成因及气候效应研究进展
陈海山,杨静秋,宋艺迪
2025,51(11):1353-1366
[
摘要(
9
)
]
[
PDF
(
59
)
4.34 M
]
[
HTML
(
)]
全球变暖背景下,西亚地区作为陆地增暖的热点区域引起了广泛关注。观测表明,西亚陆面温度不仅存在显著的增暖趋势,还存在明显的年代际变化和较大的年际变率。关注西亚陆面热力异常现象及其成因和气候效应,对应对气候变化具有重要的现实意义。本文回顾了近年来围绕西亚陆面热力异常开展的研究工作,从西亚热力异常的观测事实出发,综述了引起西亚热力异常的大气环流变异和外强迫信号,以及西亚热力异常对局地气候、印度季风、关键大尺度环流系统和大气遥相关模态以及中国气候的影响。然而,西亚地区的地形状况和陆面热力时空变化十分复杂,关于其热力异常的主导成因、局地陆气相互作用的机理和热力异常对不同时间尺度大气环流的影响机制仍有待深入研究,进而从陆面热力异常的视角加深对全球和区域气候变化的认识,为气候预测提供更坚实的理论依据。
DOI
我国天气雷达网和风云三号降水卫星的发展与数据融合应用初探
张鹏,陈玉宝,商建,吴蕾,陈林,步志超,李璐,李俊
2025,51(11):1367-1382
[
摘要(
8
)
]
[
PDF
(
54
)
8.10 M
]
[
HTML
(
)]
我国已经建成了全球规模最大的地基多波段天气雷达网,同时成功发射了国内首颗、全球第三颗主动降水测量卫星,总体技术水平世界先进。天气雷达和降水卫星是天地一体化降水观测网的重要组成部分,是精准捕捉降水动态、全面解析降水特征的关键技术支撑。地基天气雷达具有高时空分辨率,但其覆盖范围受地理位置限制,难以实现全球范围连续观测。星载降水雷达可提供全球中低纬度地区的三维降水结构信息,尤其适用于海洋、高原等地面设备难以覆盖的区域。天地一体化融合应用实现了大范围降水态势的连续预警和局部降水特征的精细化探测的有机结合,为气象预报、灾害预警、水资源管理等领域提供了更为精准、全面的数据支持与决策依据。文章详细介绍了我国地基多波段天气雷达网和风云三号降水卫星的技术特点、运行质量和数据产品,并从星地降水雷达交叉检验、数据融合、基于静止卫星的地基雷达信号模拟、主被动微波与高频次红外遥感资料融合等方面,提出了我国天地降水雷达协同观测和雷达反射率因子等基础数据融合应用的初步思考和展望。
DOI
极端天气事件和天气气候一体化预报技术的现状及展望
肖子牛,潘宝祥
2025,51(11):1383-1394
[
摘要(
10
)
]
[
PDF
(
63
)
4.90 M
]
[
HTML
(
)]
极端天气事件对社会经济发展有重要的影响,极端天气的发生往往是大气环流形态与大尺度气候背景态叠加作用的结果,体现了天气和气候的统一性。文章从天气、气候的内在联系出发,分析了极端天气事件预报面临的困难和挑战,讨论了天气气候一体化模式、多圈层耦合同化和集合技术、基于深度学习和人工智能(AI)的同化概率预报技术给极端天气预报带来的机遇,指出了天气、气候学科融合和天气气候一体化预报业务建立的重要意义。
DOI
中国防台减灾国际合作成效及挑战概述
雷小途
2025,51(11):1395-1404
[
摘要(
10
)
]
[
PDF
(
51
)
1.20 M
]
[
HTML
(
)]
热带气旋(西北太平洋地区称为台风)是全球重大灾害性天气之一,中国位于北太平洋西岸,深受台风影响,是全球热带气旋灾害较严重的国家之一。中国在注重提高自身台风监测、预测、预警及灾害联防能力的同时,十分重视与国际社会的合作。在长期与国际台风界的合作中,受益良多,同时也为国际防台减灾事业的发展做出了特殊的中国贡献,是国际防台减灾合作的坚定支持者、积极参与者和重要贡献者。在台风国际合作中取得丰硕成果,展现了一幅幅中国与国际防台减灾事业发展同频共振的生动画卷。
DOI
不同尺度天气系统在华北暴雨过程中相互作用的再认识
孙继松
2025,51(11):1405-1416
[
摘要(
14
)
]
[
PDF
(
74
)
1.20 M
]
[
HTML
(
)]
华北暴雨包括区域性或流域性大范围暴雨过程,也包括覆盖范围只有数百至数千平方千米的局地暴雨过程。就其本质来说,这些暴雨过程都是不同尺度、不同热动力学结构的天气系统相互作用的结果,但如何厘清每一次暴雨过程中存在的这种相互作用过程却并不容易。文章从不同尺度天气系统及其相互作用的视角,梳理了华北地区暴雨过程的各种机制:天气尺度系统作为大范围暴雨过程的控制性系统,由不同要素配置结构形成的动力学特征主导着大范围的水汽辐合强度、上升运动强度和持续时间;天气尺度系统相互作用衍生的中尺度系统、复杂下垫面诱生的中尺度系统(即由地形、城市、海陆交界面等强迫产生的中尺度系统)以及与强降水反馈过程有关的中尺度天气系统是华北暴雨降水强度和中心落区的决定性问题;而深对流风暴的生成、发展、结构演变和组织化过程是华北暴雨过程中极端降水事件的核心因素。不同尺度天气系统之间、复杂下垫面热动力学过程与不同尺度天气系统之间构成了华北暴雨过程中异常复杂的非线性相互作用过程,无论利用实际观测资料还是数值模拟方法,都难以将单一尺度系统或单一热动力学过程从这种复杂的相互作用过程中完全剥离开来,或者说,暴雨过程中这些复杂的非线性相互作用过程本身就是通过各种相互反馈过程构成的“生命系统”。最后,讨论了华北暴雨过程中还需要进一步厘清的一些科学问题。
DOI
重大活动气象保障中的预报难点回顾及展望
漆梁波
2025,51(11):1417-1432
[
摘要(
9
)
]
[
PDF
(
69
)
4.66 M
]
[
HTML
(
)]
文章回顾了近20年我国重大活动的气象保障工作,将其分为三种类型:定时定点常规天气预报、定时定点特殊天气预报、海外重大活动专项预报,探讨满足各类气象保障需求的预报服务难点之所在,并对未来重大活动气象保障及其预报支撑体系进行展望。主要结论包括:常规的定时定点天气要素预报场景中,预报难点主要集中在对流生消或有无弱降水的把握上,短期时段内,数值模式提供的天气形势预报仍是重要的决策依据,高分辨数值模式产品的辅助则是必不可少的,而短时或临近时段,齐备的观测资料和预报团队的综合分析能力则更为重要;定时定点特殊要素预报场景中,现阶段由于观测覆盖度不足、数值模式预报能力欠佳、针对性的客观预报方法缺少,无论是短期还是短时临近时段,预报团队结合观测和天气形势分析的预报经验是保障服务成功的关键,这一点在海外现场服务保障中尤为明显。未来,随着观测系统覆盖度增加、数值模式精准预报能力提升和包括AI在内的针对性的客观预报方法研发,特殊要素预报场景将逐渐转变为常规要素预报场景,预报团队的主导作用也会逐渐过渡到短时或临近阶段。为应对未来各类重大活动气象保障的需求,需加强三维全要素观测系统建设,提升数值模式精准化预报能力,推进针对性的客观预报技术研发,并加强预报团队能力建设。
DOI
“百米级、分钟级”短时临近预报技术的进展与展望——以睿思(RISE)发展路径为例
陈明轩,宋林烨,杨璐,程丛兰,曹伟华,吴剑坤,刘泓君,马超
2025,51(11):1433-1454
[
摘要(
10
)
]
[
PDF
(
59
)
8.21 M
]
[
HTML
(
)]
本文介绍了针对北京2022年冬奥会气象服务研发的“百米级、分钟级”多源数据快速融合预报系统——睿思(RISE),并重点描述了在“后冬奥”时代,通过发展、集成一系列关键技术以及应用机器学习和深度学习等方法,实现了在“百米级、分钟级”技术框架内的强降水和雷暴大风的精细化短时临近预报、对流初生临近预报等功能。新发展、集成的技术方法包括:格点降水融合分析偏差订正、降水机器学习短时临近预报、阵风(雷暴大风)动力-统计及深度学习短时临近预报、融合卫星监测和风暴追踪的对流初生临近预报、多源多尺度数值预报集成等。通过检验评估表明,睿思系统中集成的新技术方法对提升汛期降水和雷暴大风的预报精细度和准确率具有优势,特别是在0~6 h的短时临近时段内预报效果最为显著。最后,探讨了“百米级、分钟级”预报技术未来发展面临的挑战与可能路径。
DOI
低空经济气象前沿科技问题研究进展与展望
郭建平,张玮,周博闻,严超,张雪琳,孙玉萍,邓威龙,陈田萌,杨红龙,邱宗旭,黎志波,陶法,梁海河,张朝林
2025,51(11):1455-1476
[
摘要(
13
)
]
[
PDF
(
87
)
3.03 M
]
[
HTML
(
)]
低空经济作为新质生产力代表,其发展依赖于非管制空域内的飞行活动,该空域主要对应大气边界层下层,是湍流和风切变等航空危险(简称航危)天气的高发区域。气象条件与通信、导航、监视系统共同构成低空经济高质量发展的关键基础支撑。然而,该空域的高时空分辨率航危天气监测预警能力仍严重不足,对实现高效、安全的低空飞行构成严峻挑战。为此,本文系统梳理了低空经济气象科技领域的国内外研究进展,剖析了边界层湍流相干结构、低空风切变、湍流与微下击暴流监测预警以及大涡模拟等关键科技领域所面临的核心挑战。进而从近中性边界层湍流新理论、湿边界层过程、面向低空航空器安全飞行的气象智能感知装备研发、人工智能赋能的低空航危天气预警、智能计算流体力学模型研发以及低空气象条件与无人机路径规划协同优化等角度,对低空经济气象领域若干前沿科技问题进行了展望。旨在深化低空航危天气与低空飞行器相互作用机理的认知,为提升低空航危天气的高精度智能感知与快速预报预警能力提供理论依据与技术路径,从而为低空经济的安全与可持续发展提供关键气象科技支撑。
DOI
深度学习在数字智能天气预报中的应用
代刊,杨绚,周康辉,徐珺,宫宇,钱奇峰,盛杰,张小雯
2025,51(11):1477-1494
[
摘要(
11
)
]
[
PDF
(
143
)
12.31 M
]
[
HTML
(
)]
近年来,数字智能天气预报业务快速发展,其传统技术方法在非线性误差订正、时空降尺度、多源数据融合等方面存在局限。深度学习技术凭借非线性拟合和模式识别能力逐步被引入数字智能预报流程。本文阐述了深度学习技术在数值模式偏差订正、高分辨率降尺度、多源异构数据融合、灾害性天气预报(以台风为例)和数据驱动天气预报五个方面的代表性技术成果。研究表明:深度学习模型可显著提高预报精度,包括学习预报与观测之间复杂的非线性关系以校正系统偏差,利用生成对抗网络细化降水结构以提升强降水预报技巧,融合雷达、卫星和模式数据以延长强对流临近预报时效,以及构建数据驱动模型实现以秒级速度产生与数值模式相当精度的预报。例如,“风雷”模型示范了生成式方法在强对流短时临近预报中的优势(对≥50 dBz回波命中率提高约30%),“风清”模型实现了 15 d全球预报业务准入和应用。深度学习的引入正推动智能预报产品在时空分辨率、不确定度定量化等方面取得进展。与此同时,文章也指出当前深度学习应用在样本体量、可解释性、极端事件预报、跨尺度一致性和计算成本等方面仍面临挑战,在未来研究中需要予以关注和改进。展望未来,应加强大样本/再预报资料建设,融合物理先验约束以提高模型可解释性与稳定性,针对极端天气引入尾部加权训练等技术以增强预报可靠度,设计跨尺度协同的模型框架以确保不同时间和空间尺度预报的一致性,并优化模型训练和推理的效率以满足业务时效要求。深度学习与数值模式的有机结合、优势互补,将成为推动数字智能预报进一步发展的重要方向。
DOI
强对流天气形成机制和预报研究综述
郑永光,杨波,蓝渝,盛杰,张小雯,田付友,曹艳察,周康辉
2025,51(11):1495-1522
[
摘要(
16
)
]
[
PDF
(
89
)
5.96 M
]
[
HTML
(
)]
强对流天气的致灾性和精准监测预报得到广泛关注。文章总结了各类典型对流风暴和强对流天气的主要特征、发生条件、形成机制和双偏振多普勒天气雷达观测特征等,梳理了基本概念,概述了强对流天气的预报思路、监测预报技术,并对未来的工作进行展望。近年来的主要进展包括:重力波是夜间对流风暴的重要触发机制;强垂直风切变、弱对流有效位能环境的强对流天气形成过程中,γ中尺度涡旋发挥关键作用;超级单体强上升气流对降水粒子的分选作用使得双偏振天气雷达观测特征非常突出,ZDR柱、ZDR弧、KDP足等揭示了超级单体更多微物理特征和动力结构;华南大部分的弓形回波由准线状对流系统(QLCS)与其前方的对流单体合并形成;中涡旋的形成机制比中气旋更为复杂多样;中气旋和中涡旋等对上升运动的加强作用是极端强降水形成机制的重要组成部分,这些涡旋与弓形回波的后侧入流急流共同作用也是极端雷暴大风的重要形成机制之一;很多产生短时强降水的对流风暴介于大陆型和热带海洋型二者之间,发现华南瞬时极端雨强越强,对流风暴有更多的液态和冰水含量;直径≥5.0 cm的冰雹主要由超级单体生成,冰雹的形成过程为穿越上升气流的气旋式弯曲轨迹,几乎没有螺旋式轨迹或循环增长路径;龙卷形成的关键是近地表垂直涡度形成、集中和加强;高分辨率数值预报和深度学习技术显著提升了强对流天气监测预报预警的精准度;百米级精细机理和超高分辨率数值预报以及全面融合物理规律的深度学习模型研究是未来发展的主要方面。
DOI
我国交通气象灾害预警、风险评估与应急处理智能服务发展概述
陈鲜艳,张颖娴,高歌,梅梅,张方,宋亚芳,孙小婷,丁一汇
2025,51(11):1523-1534
[
摘要(
8
)
]
[
PDF
(
109
)
1.72 M
]
[
HTML
(
)]
一体化交通气象灾害预警、风险评估与应急处理智能服务系统工程的发展,是指通过整合先进的信息技术和气象、交通、应急管理等领域的数据资源,建立起一套智能化的服务体系,以应对交通中可能发生的各种气象灾害及其他紧急情况。本文围绕我国交通气象灾害预警、风险评估与应急处理智能服务的研究与实践进展展开系统梳理,分析了当前公路、铁路及水上航运等领域在交通气象灾害预警模型、风险评估方法和应急处理智能服务的科学研究和业务应用的发展进程,同时指出目前存在的核心问题,提出相关的对策和建议,旨在为提升我国一体化交通气象系统工程的发展提供支持。
DOI
毫米波测云仪反射率因子资料质量控制及评估
王蕙莹,周自江,张志强,高亮书
2025,51(11):1535-1546
[
摘要(
14
)
]
[
PDF
(
44
)
9.42 M
]
[
HTML
(
)]
本文以中国首批业务准入运行的15个毫米波测云仪(以下简称测云仪)站点数据为试验样本,提出了适用于不同区域双通道接收的测云仪站点的反射率因子数据质量控制算法。该算法利用测云仪云雨回波与悬浮物杂波之间的分布特征差异,对2023年15个站的云雨回波及悬浮物杂波样本数据进行分类标识,根据两类回波的频数曲线交点,逐站快速确定反射率因子和线性退极化比的阈值参数,再配合滤波、连续性等检查,可以有效剔除非气象回波。通过对比质量控制前、后测云仪与探空资料计算的云高在不同站点、不同观测时段的相关系数、平均误差及均方根误差,讨论了质量控制方法的有效性。结果表明,经本算法质量控制后的数据,可有效剔除非气象回波数据,尤其可准确剔除低层的悬浮物杂波,与探空识别云底高数据的相关系数由0.47上升至0.91,与云顶高数据的相关系数由0.80上升至0.87。质量控制后的测云仪资料计算的云高更加合理,两类资料表现出更好的一致性特征。
DOI
人工影响天气作业效益评价研究综述
王飞,王思瀚,乌日罕,耿仪,葛旭东,孙擎,刘莉,林大伟,孙丰宾,赵志强,陈宝君
2025,51(11):1547-1558
[
摘要(
8
)
]
[
PDF
(
72
)
851.21 K
]
[
HTML
(
)]
人工影响天气的核心在于理解和应用大气物理及云降水原理,借助人工干预手段,引导局地天气过程向人类期望的方向发展。科学评价人工影响天气作业效益并构建客观的评价体系,对优化人工干预决策具有重要意义。文章系统综述了近年来人工影响天气在水文、农业、生态、环境、经济等五大维度的效益评价研究进展,从多个尺度上论述当前研究的瓶颈问题和挑战,提出人工影响天气从“物理效果导向”转向“综合价值优化”的研究范式转型方向,旨在为后续效益评价的科研创新与业务应用提供理论依据与实践指导。
DOI
强龙卷超级单体与非龙卷超级单体的双偏振雷达回波特征对比
费海燕,王秀明,俞小鼎,管理
2025,51(11):1559-1570
[
摘要(
10
)
]
[
PDF
(
57
)
2.03 M
]
[
HTML
(
)]
超级单体风暴产生的强龙卷致灾严重,预警难度大,有必要增加对超级单体精细回波结构的认识。基于具有双偏振功能的S波段多普勒天气雷达观测资料,选取9个强龙卷超级单体和9个非龙卷超级单体,对比分析强龙卷和强风发生前的回波特征,结果表明二者存在显著差异:强龙卷超级单体的差分反射率因子(ZDR)弧向钩状回波处延伸,中低层雹区面积小于非龙卷超级单体;强龙卷超级单体低层差分传播相移率(KDP)足质心和ZDR弧质心之间的分离距离平均值比非龙卷超级单体更大;强龙卷超级单体低层中气旋显著偏强,且龙卷发生前24 min和6 min中层中气旋维持在较低的高度(平均值分别为4.2 km 和3.1 km)。上述差异还需要更多个例来进一步确认,以便为深入研究超级单体回波结构特征与龙卷形成机理之间的关系提供更多依据。
DOI
2025年8月大气环流和天气分析——副高异常偏强导致江南华南降水偏少
万纬祺,张玲
2025,51(11):1571-1580
[
摘要(
13
)
]
[
PDF
(
61
)
8.64 M
]
[
HTML
(
)]
2025年8月,北半球极涡呈偏心型分布,强度偏强;欧亚中高纬度环流呈“两槽一脊”型,乌拉尔山以东高压脊异常偏强;西太平洋副热带高压显著偏强、西伸并稳定控制我国中南部,导致全国平均气温(22.0℃)较常年偏高0.9℃,为1961年以来同期第四高;月内出现1次持续性高温过程,高温日数较常年偏多1.7 d,为历史同期第五多。全国平均降水量为114.5 mm,较常年同期偏多7.0%。月内共发生9次强降水过程,华南、华北及四川盆地至东北等地多次出现强降水。西北太平洋和南海共生成5个台风,其中1个(“杨柳”)登陆我国,生成和登陆数均少于常年。台风“杨柳”强度13日早晨登陆台湾岛南部前达到42 m·s-1,具有典型的登陆前明显增强特征。西太平洋副热带高压异常偏强导致江南中东部、华南东部降水量偏少5~8成,气象干旱露头发展;华北大部、西北中东部及珠三角等地降水量偏多2成至1倍。此外,月内还出现区域性干旱、强对流及风雹等灾害天气。
DOI
2025年第51卷11期目录
2025,51(11):-
[
摘要(
5
)
]
[
PDF
(
40
)
394.14 K
]
[
HTML
(
)]
DOI
2025年第51卷11期封面
2025,51(11):-
[
摘要(
8
)
]
[
PDF
(
41
)
3.22 M
]
[
HTML
(
)]
DOI
中国业务数值天气预报自主发展中的理论和方法创新
沈学顺,苏勇,李兴良,韩威,杨俊,马占山,刘永柱,张旭,唐杰,陈贤,翁富忠
2025,51(11):1293-1320
[
摘要(
10
)
]
[
PDF
(
80
)
12.00 M
]
[
HTML
(
)]
数值天气预报是天气预报业务和防灾减灾的核心科技,是衡量国家气象现代化水平的关键标志。在我国数值天气预报的自主创新历程中,以全球/区域同化预报系统(GRAPES)为核心的全面业务体系的建立,是具有里程碑意义的事件,标志着从技术引进到自主创新的重大跨越。本文重点综述了新世纪以来GRAPES发展过程中在核心技术方面取得的原创性成果,主要包括预估-修正的半隐式半拉格朗日时间积分方案、多矩约束有限体积方法、高精度正定保形平流方案、双参数云物理方案、尺度自适应湍流参数化方案、快速辐射传输模式、非静力全球模式的切线和伴随模式、有约束卫星资料偏差订正、FY-4红外高光谱同化算法等方面的自主创新发展。这些突破是基础研究与业务实践紧密结合的成果,全面提升了我国自主研发的数值天气模式的预报性能。
DOI
中央气象台智能数字天气预报业务的技术进展
金荣花,曹勇,赵瑞霞,代刊,郭云谦,徐珺,曾晓青,王玉,唐健,韦青
2025,51(11):1321-1334
[
摘要(
11
)
]
[
PDF
(
70
)
7.97 M
]
[
HTML
(
)]
智能数字天气预报是气象服务保障的关键手段,全球各国积极发展新一代无缝隙预报技术系统并推动人工智能在气象领域应用。我国构建了完备的智能数字预报业务系统(CMA-NDFS),中央气象台实现全国1 km、全球5 km分辨率的近地面及三维0~30 d无缝隙数字预报。通过区分时效和要素构建适配性技术、以及多源预报融合的总体思路,发展智能数字天气预报技术体系。研发了统一、规范及模块可扩展的智能数字天气预报通用技术框架,实现三十多类算法,支持“低代码”部署,在重大活动保障和极端天气预报中发挥重要作用。实现了深度学习等人工智能技术的深度应用,在短时、短期、中期降水及强对流、灾害性大风预报等方面,通过构建考虑物理机理约束的深度学习模型,显著提升预报性能,精细化降尺度技术也取得进展。同时,多源预报融合集成技术不断发展,主客观智能融合预报提升了灾害性天气预警能力。中央气象台智能数字天气预报准确率在欧洲中期天气预报中心和中国气象局主流数值模式基础上提高10%以上,在多领域应用广泛。未来仍面临挑战,将针对灾害性和转折性天气预报、人工智能和物理机理的有效融合、专业气象和风险预报扩展、以气象“智脑”为核心的一体化平台等方面的技术进行突破。
DOI
减少预报不确定性,提高预报能力——集合预报的发展和应用
朱跃建,代刊,唐健
2025,51(11):1335-1352
[
摘要(
10
)
]
[
PDF
(
85
)
10.08 M
]
[
HTML
(
)]
本文回顾了集合预报的发展历程、关键技术和应用价值。集合预报源于对大气非线性与混沌特性的认知,自20世纪60年代Lorenz提出“蝴蝶效应”后,通过在数值预报中引入多扰动试验来量化预报不确定性。初始扰动技术从繁殖增量法、奇异向量法到集合卡尔曼滤波等方法,模式扰动技术则包括随机动力学扰动、随机物理参数化扰动及多物理方案集合等。国际主要气象中心于90年代初相继建立了全球和区域集合预报系统。通过统计后处理技术,集合预报可生成多种概率预报产品,显著提升了极端天气预警的准确性和时效性。近年来,以Google SEEDS等为代表的AI集合预报模型取得突破,以更低成本实现更优预报性能。未来集合预报将向物理模式与AI结合的新范式发展,进一步提升预报能力。
DOI
西亚陆面热力异常的成因及气候效应研究进展
陈海山,杨静秋,宋艺迪
2025,51(11):1353-1366
[
摘要(
9
)
]
[
PDF
(
59
)
4.34 M
]
[
HTML
(
)]
全球变暖背景下,西亚地区作为陆地增暖的热点区域引起了广泛关注。观测表明,西亚陆面温度不仅存在显著的增暖趋势,还存在明显的年代际变化和较大的年际变率。关注西亚陆面热力异常现象及其成因和气候效应,对应对气候变化具有重要的现实意义。本文回顾了近年来围绕西亚陆面热力异常开展的研究工作,从西亚热力异常的观测事实出发,综述了引起西亚热力异常的大气环流变异和外强迫信号,以及西亚热力异常对局地气候、印度季风、关键大尺度环流系统和大气遥相关模态以及中国气候的影响。然而,西亚地区的地形状况和陆面热力时空变化十分复杂,关于其热力异常的主导成因、局地陆气相互作用的机理和热力异常对不同时间尺度大气环流的影响机制仍有待深入研究,进而从陆面热力异常的视角加深对全球和区域气候变化的认识,为气候预测提供更坚实的理论依据。
DOI
我国天气雷达网和风云三号降水卫星的发展与数据融合应用初探
张鹏,陈玉宝,商建,吴蕾,陈林,步志超,李璐,李俊
2025,51(11):1367-1382
[
摘要(
8
)
]
[
PDF
(
54
)
8.10 M
]
[
HTML
(
)]
我国已经建成了全球规模最大的地基多波段天气雷达网,同时成功发射了国内首颗、全球第三颗主动降水测量卫星,总体技术水平世界先进。天气雷达和降水卫星是天地一体化降水观测网的重要组成部分,是精准捕捉降水动态、全面解析降水特征的关键技术支撑。地基天气雷达具有高时空分辨率,但其覆盖范围受地理位置限制,难以实现全球范围连续观测。星载降水雷达可提供全球中低纬度地区的三维降水结构信息,尤其适用于海洋、高原等地面设备难以覆盖的区域。天地一体化融合应用实现了大范围降水态势的连续预警和局部降水特征的精细化探测的有机结合,为气象预报、灾害预警、水资源管理等领域提供了更为精准、全面的数据支持与决策依据。文章详细介绍了我国地基多波段天气雷达网和风云三号降水卫星的技术特点、运行质量和数据产品,并从星地降水雷达交叉检验、数据融合、基于静止卫星的地基雷达信号模拟、主被动微波与高频次红外遥感资料融合等方面,提出了我国天地降水雷达协同观测和雷达反射率因子等基础数据融合应用的初步思考和展望。
DOI
极端天气事件和天气气候一体化预报技术的现状及展望
肖子牛,潘宝祥
2025,51(11):1383-1394
[
摘要(
10
)
]
[
PDF
(
63
)
4.90 M
]
[
HTML
(
)]
极端天气事件对社会经济发展有重要的影响,极端天气的发生往往是大气环流形态与大尺度气候背景态叠加作用的结果,体现了天气和气候的统一性。文章从天气、气候的内在联系出发,分析了极端天气事件预报面临的困难和挑战,讨论了天气气候一体化模式、多圈层耦合同化和集合技术、基于深度学习和人工智能(AI)的同化概率预报技术给极端天气预报带来的机遇,指出了天气、气候学科融合和天气气候一体化预报业务建立的重要意义。
DOI
中国防台减灾国际合作成效及挑战概述
雷小途
2025,51(11):1395-1404
[
摘要(
10
)
]
[
PDF
(
51
)
1.20 M
]
[
HTML
(
)]
热带气旋(西北太平洋地区称为台风)是全球重大灾害性天气之一,中国位于北太平洋西岸,深受台风影响,是全球热带气旋灾害较严重的国家之一。中国在注重提高自身台风监测、预测、预警及灾害联防能力的同时,十分重视与国际社会的合作。在长期与国际台风界的合作中,受益良多,同时也为国际防台减灾事业的发展做出了特殊的中国贡献,是国际防台减灾合作的坚定支持者、积极参与者和重要贡献者。在台风国际合作中取得丰硕成果,展现了一幅幅中国与国际防台减灾事业发展同频共振的生动画卷。
DOI
不同尺度天气系统在华北暴雨过程中相互作用的再认识
孙继松
2025,51(11):1405-1416
[
摘要(
14
)
]
[
PDF
(
74
)
1.20 M
]
[
HTML
(
)]
华北暴雨包括区域性或流域性大范围暴雨过程,也包括覆盖范围只有数百至数千平方千米的局地暴雨过程。就其本质来说,这些暴雨过程都是不同尺度、不同热动力学结构的天气系统相互作用的结果,但如何厘清每一次暴雨过程中存在的这种相互作用过程却并不容易。文章从不同尺度天气系统及其相互作用的视角,梳理了华北地区暴雨过程的各种机制:天气尺度系统作为大范围暴雨过程的控制性系统,由不同要素配置结构形成的动力学特征主导着大范围的水汽辐合强度、上升运动强度和持续时间;天气尺度系统相互作用衍生的中尺度系统、复杂下垫面诱生的中尺度系统(即由地形、城市、海陆交界面等强迫产生的中尺度系统)以及与强降水反馈过程有关的中尺度天气系统是华北暴雨降水强度和中心落区的决定性问题;而深对流风暴的生成、发展、结构演变和组织化过程是华北暴雨过程中极端降水事件的核心因素。不同尺度天气系统之间、复杂下垫面热动力学过程与不同尺度天气系统之间构成了华北暴雨过程中异常复杂的非线性相互作用过程,无论利用实际观测资料还是数值模拟方法,都难以将单一尺度系统或单一热动力学过程从这种复杂的相互作用过程中完全剥离开来,或者说,暴雨过程中这些复杂的非线性相互作用过程本身就是通过各种相互反馈过程构成的“生命系统”。最后,讨论了华北暴雨过程中还需要进一步厘清的一些科学问题。
DOI
重大活动气象保障中的预报难点回顾及展望
漆梁波
2025,51(11):1417-1432
[
摘要(
9
)
]
[
PDF
(
69
)
4.66 M
]
[
HTML
(
)]
文章回顾了近20年我国重大活动的气象保障工作,将其分为三种类型:定时定点常规天气预报、定时定点特殊天气预报、海外重大活动专项预报,探讨满足各类气象保障需求的预报服务难点之所在,并对未来重大活动气象保障及其预报支撑体系进行展望。主要结论包括:常规的定时定点天气要素预报场景中,预报难点主要集中在对流生消或有无弱降水的把握上,短期时段内,数值模式提供的天气形势预报仍是重要的决策依据,高分辨数值模式产品的辅助则是必不可少的,而短时或临近时段,齐备的观测资料和预报团队的综合分析能力则更为重要;定时定点特殊要素预报场景中,现阶段由于观测覆盖度不足、数值模式预报能力欠佳、针对性的客观预报方法缺少,无论是短期还是短时临近时段,预报团队结合观测和天气形势分析的预报经验是保障服务成功的关键,这一点在海外现场服务保障中尤为明显。未来,随着观测系统覆盖度增加、数值模式精准预报能力提升和包括AI在内的针对性的客观预报方法研发,特殊要素预报场景将逐渐转变为常规要素预报场景,预报团队的主导作用也会逐渐过渡到短时或临近阶段。为应对未来各类重大活动气象保障的需求,需加强三维全要素观测系统建设,提升数值模式精准化预报能力,推进针对性的客观预报技术研发,并加强预报团队能力建设。
DOI
“百米级、分钟级”短时临近预报技术的进展与展望——以睿思(RISE)发展路径为例
陈明轩,宋林烨,杨璐,程丛兰,曹伟华,吴剑坤,刘泓君,马超
2025,51(11):1433-1454
[
摘要(
10
)
]
[
PDF
(
59
)
8.21 M
]
[
HTML
(
)]
本文介绍了针对北京2022年冬奥会气象服务研发的“百米级、分钟级”多源数据快速融合预报系统——睿思(RISE),并重点描述了在“后冬奥”时代,通过发展、集成一系列关键技术以及应用机器学习和深度学习等方法,实现了在“百米级、分钟级”技术框架内的强降水和雷暴大风的精细化短时临近预报、对流初生临近预报等功能。新发展、集成的技术方法包括:格点降水融合分析偏差订正、降水机器学习短时临近预报、阵风(雷暴大风)动力-统计及深度学习短时临近预报、融合卫星监测和风暴追踪的对流初生临近预报、多源多尺度数值预报集成等。通过检验评估表明,睿思系统中集成的新技术方法对提升汛期降水和雷暴大风的预报精细度和准确率具有优势,特别是在0~6 h的短时临近时段内预报效果最为显著。最后,探讨了“百米级、分钟级”预报技术未来发展面临的挑战与可能路径。
DOI
低空经济气象前沿科技问题研究进展与展望
郭建平,张玮,周博闻,严超,张雪琳,孙玉萍,邓威龙,陈田萌,杨红龙,邱宗旭,黎志波,陶法,梁海河,张朝林
2025,51(11):1455-1476
[
摘要(
13
)
]
[
PDF
(
87
)
3.03 M
]
[
HTML
(
)]
低空经济作为新质生产力代表,其发展依赖于非管制空域内的飞行活动,该空域主要对应大气边界层下层,是湍流和风切变等航空危险(简称航危)天气的高发区域。气象条件与通信、导航、监视系统共同构成低空经济高质量发展的关键基础支撑。然而,该空域的高时空分辨率航危天气监测预警能力仍严重不足,对实现高效、安全的低空飞行构成严峻挑战。为此,本文系统梳理了低空经济气象科技领域的国内外研究进展,剖析了边界层湍流相干结构、低空风切变、湍流与微下击暴流监测预警以及大涡模拟等关键科技领域所面临的核心挑战。进而从近中性边界层湍流新理论、湿边界层过程、面向低空航空器安全飞行的气象智能感知装备研发、人工智能赋能的低空航危天气预警、智能计算流体力学模型研发以及低空气象条件与无人机路径规划协同优化等角度,对低空经济气象领域若干前沿科技问题进行了展望。旨在深化低空航危天气与低空飞行器相互作用机理的认知,为提升低空航危天气的高精度智能感知与快速预报预警能力提供理论依据与技术路径,从而为低空经济的安全与可持续发展提供关键气象科技支撑。
DOI
深度学习在数字智能天气预报中的应用
代刊,杨绚,周康辉,徐珺,宫宇,钱奇峰,盛杰,张小雯
2025,51(11):1477-1494
[
摘要(
11
)
]
[
PDF
(
143
)
12.31 M
]
[
HTML
(
)]
近年来,数字智能天气预报业务快速发展,其传统技术方法在非线性误差订正、时空降尺度、多源数据融合等方面存在局限。深度学习技术凭借非线性拟合和模式识别能力逐步被引入数字智能预报流程。本文阐述了深度学习技术在数值模式偏差订正、高分辨率降尺度、多源异构数据融合、灾害性天气预报(以台风为例)和数据驱动天气预报五个方面的代表性技术成果。研究表明:深度学习模型可显著提高预报精度,包括学习预报与观测之间复杂的非线性关系以校正系统偏差,利用生成对抗网络细化降水结构以提升强降水预报技巧,融合雷达、卫星和模式数据以延长强对流临近预报时效,以及构建数据驱动模型实现以秒级速度产生与数值模式相当精度的预报。例如,“风雷”模型示范了生成式方法在强对流短时临近预报中的优势(对≥50 dBz回波命中率提高约30%),“风清”模型实现了 15 d全球预报业务准入和应用。深度学习的引入正推动智能预报产品在时空分辨率、不确定度定量化等方面取得进展。与此同时,文章也指出当前深度学习应用在样本体量、可解释性、极端事件预报、跨尺度一致性和计算成本等方面仍面临挑战,在未来研究中需要予以关注和改进。展望未来,应加强大样本/再预报资料建设,融合物理先验约束以提高模型可解释性与稳定性,针对极端天气引入尾部加权训练等技术以增强预报可靠度,设计跨尺度协同的模型框架以确保不同时间和空间尺度预报的一致性,并优化模型训练和推理的效率以满足业务时效要求。深度学习与数值模式的有机结合、优势互补,将成为推动数字智能预报进一步发展的重要方向。
DOI
强对流天气形成机制和预报研究综述
郑永光,杨波,蓝渝,盛杰,张小雯,田付友,曹艳察,周康辉
2025,51(11):1495-1522
[
摘要(
16
)
]
[
PDF
(
89
)
5.96 M
]
[
HTML
(
)]
强对流天气的致灾性和精准监测预报得到广泛关注。文章总结了各类典型对流风暴和强对流天气的主要特征、发生条件、形成机制和双偏振多普勒天气雷达观测特征等,梳理了基本概念,概述了强对流天气的预报思路、监测预报技术,并对未来的工作进行展望。近年来的主要进展包括:重力波是夜间对流风暴的重要触发机制;强垂直风切变、弱对流有效位能环境的强对流天气形成过程中,γ中尺度涡旋发挥关键作用;超级单体强上升气流对降水粒子的分选作用使得双偏振天气雷达观测特征非常突出,ZDR柱、ZDR弧、KDP足等揭示了超级单体更多微物理特征和动力结构;华南大部分的弓形回波由准线状对流系统(QLCS)与其前方的对流单体合并形成;中涡旋的形成机制比中气旋更为复杂多样;中气旋和中涡旋等对上升运动的加强作用是极端强降水形成机制的重要组成部分,这些涡旋与弓形回波的后侧入流急流共同作用也是极端雷暴大风的重要形成机制之一;很多产生短时强降水的对流风暴介于大陆型和热带海洋型二者之间,发现华南瞬时极端雨强越强,对流风暴有更多的液态和冰水含量;直径≥5.0 cm的冰雹主要由超级单体生成,冰雹的形成过程为穿越上升气流的气旋式弯曲轨迹,几乎没有螺旋式轨迹或循环增长路径;龙卷形成的关键是近地表垂直涡度形成、集中和加强;高分辨率数值预报和深度学习技术显著提升了强对流天气监测预报预警的精准度;百米级精细机理和超高分辨率数值预报以及全面融合物理规律的深度学习模型研究是未来发展的主要方面。
DOI
我国交通气象灾害预警、风险评估与应急处理智能服务发展概述
陈鲜艳,张颖娴,高歌,梅梅,张方,宋亚芳,孙小婷,丁一汇
2025,51(11):1523-1534
[
摘要(
8
)
]
[
PDF
(
109
)
1.72 M
]
[
HTML
(
)]
一体化交通气象灾害预警、风险评估与应急处理智能服务系统工程的发展,是指通过整合先进的信息技术和气象、交通、应急管理等领域的数据资源,建立起一套智能化的服务体系,以应对交通中可能发生的各种气象灾害及其他紧急情况。本文围绕我国交通气象灾害预警、风险评估与应急处理智能服务的研究与实践进展展开系统梳理,分析了当前公路、铁路及水上航运等领域在交通气象灾害预警模型、风险评估方法和应急处理智能服务的科学研究和业务应用的发展进程,同时指出目前存在的核心问题,提出相关的对策和建议,旨在为提升我国一体化交通气象系统工程的发展提供支持。
DOI
毫米波测云仪反射率因子资料质量控制及评估
王蕙莹,周自江,张志强,高亮书
2025,51(11):1535-1546
[
摘要(
14
)
]
[
PDF
(
44
)
9.42 M
]
[
HTML
(
)]
本文以中国首批业务准入运行的15个毫米波测云仪(以下简称测云仪)站点数据为试验样本,提出了适用于不同区域双通道接收的测云仪站点的反射率因子数据质量控制算法。该算法利用测云仪云雨回波与悬浮物杂波之间的分布特征差异,对2023年15个站的云雨回波及悬浮物杂波样本数据进行分类标识,根据两类回波的频数曲线交点,逐站快速确定反射率因子和线性退极化比的阈值参数,再配合滤波、连续性等检查,可以有效剔除非气象回波。通过对比质量控制前、后测云仪与探空资料计算的云高在不同站点、不同观测时段的相关系数、平均误差及均方根误差,讨论了质量控制方法的有效性。结果表明,经本算法质量控制后的数据,可有效剔除非气象回波数据,尤其可准确剔除低层的悬浮物杂波,与探空识别云底高数据的相关系数由0.47上升至0.91,与云顶高数据的相关系数由0.80上升至0.87。质量控制后的测云仪资料计算的云高更加合理,两类资料表现出更好的一致性特征。
DOI
人工影响天气作业效益评价研究综述
王飞,王思瀚,乌日罕,耿仪,葛旭东,孙擎,刘莉,林大伟,孙丰宾,赵志强,陈宝君
2025,51(11):1547-1558
[
摘要(
8
)
]
[
PDF
(
72
)
851.21 K
]
[
HTML
(
)]
人工影响天气的核心在于理解和应用大气物理及云降水原理,借助人工干预手段,引导局地天气过程向人类期望的方向发展。科学评价人工影响天气作业效益并构建客观的评价体系,对优化人工干预决策具有重要意义。文章系统综述了近年来人工影响天气在水文、农业、生态、环境、经济等五大维度的效益评价研究进展,从多个尺度上论述当前研究的瓶颈问题和挑战,提出人工影响天气从“物理效果导向”转向“综合价值优化”的研究范式转型方向,旨在为后续效益评价的科研创新与业务应用提供理论依据与实践指导。
DOI
强龙卷超级单体与非龙卷超级单体的双偏振雷达回波特征对比
费海燕,王秀明,俞小鼎,管理
2025,51(11):1559-1570
[
摘要(
10
)
]
[
PDF
(
57
)
2.03 M
]
[
HTML
(
)]
超级单体风暴产生的强龙卷致灾严重,预警难度大,有必要增加对超级单体精细回波结构的认识。基于具有双偏振功能的S波段多普勒天气雷达观测资料,选取9个强龙卷超级单体和9个非龙卷超级单体,对比分析强龙卷和强风发生前的回波特征,结果表明二者存在显著差异:强龙卷超级单体的差分反射率因子(ZDR)弧向钩状回波处延伸,中低层雹区面积小于非龙卷超级单体;强龙卷超级单体低层差分传播相移率(KDP)足质心和ZDR弧质心之间的分离距离平均值比非龙卷超级单体更大;强龙卷超级单体低层中气旋显著偏强,且龙卷发生前24 min和6 min中层中气旋维持在较低的高度(平均值分别为4.2 km 和3.1 km)。上述差异还需要更多个例来进一步确认,以便为深入研究超级单体回波结构特征与龙卷形成机理之间的关系提供更多依据。
DOI
2025年8月大气环流和天气分析——副高异常偏强导致江南华南降水偏少
万纬祺,张玲
2025,51(11):1571-1580
[
摘要(
13
)
]
[
PDF
(
61
)
8.64 M
]
[
HTML
(
)]
2025年8月,北半球极涡呈偏心型分布,强度偏强;欧亚中高纬度环流呈“两槽一脊”型,乌拉尔山以东高压脊异常偏强;西太平洋副热带高压显著偏强、西伸并稳定控制我国中南部,导致全国平均气温(22.0℃)较常年偏高0.9℃,为1961年以来同期第四高;月内出现1次持续性高温过程,高温日数较常年偏多1.7 d,为历史同期第五多。全国平均降水量为114.5 mm,较常年同期偏多7.0%。月内共发生9次强降水过程,华南、华北及四川盆地至东北等地多次出现强降水。西北太平洋和南海共生成5个台风,其中1个(“杨柳”)登陆我国,生成和登陆数均少于常年。台风“杨柳”强度13日早晨登陆台湾岛南部前达到42 m·s-1,具有典型的登陆前明显增强特征。西太平洋副热带高压异常偏强导致江南中东部、华南东部降水量偏少5~8成,气象干旱露头发展;华北大部、西北中东部及珠三角等地降水量偏多2成至1倍。此外,月内还出现区域性干旱、强对流及风雹等灾害天气。
DOI
顾震潮先生在中国天气学研究中的创新思想与对建立中国现代天气预报业务的贡献
丁一汇
顾震潮先生学术思想与高尚品格——学习感悟
赵思雄,孙建华
CMIP5气候模式对亚洲升温幅度的模拟与预估
云翔,程嘉艺,李庆祥
近20年美国龙卷探测研究进展——对我国龙卷风研究的启示
李峰,李柏,唐晓文,张林,李瑞义
人工影响天气用碘化银催化剂对区域环境影响的研究进展
段婧,楼小凤,汪会,郭学良,李集明
优先发表栏目展示本刊经同行评议确定正式录用的文章,这些文章目前处在编校过程,尚未确定卷期及页码,但可以根据DOI进行引用。
2019—2023年暖季陕西臭氧天气特征与来源解析
高星星
风暴雷达特征参量驱动的TFM+CNN龙卷风识别算法
冷亮
珠穆朗玛地区对流云降水综合观测及特征分析
王磊
基于激光测风雷达的广汉机场一次锋面大风分析
张琬涓
深度学习在数字智能天气预报中的应用
代刊
2023年中国台风灾害特征
李霁杭
“百米级、分钟级”短临预报技术的进展与展望——以睿思(RI...
陈明轩
渤海海效应降雪地闪活动统计特征
王楠喻
中国业务数值天气预报自主发展中的理论和方法创新
沈学顺
人工影响天气作业效益评价研究综述
王飞
北京大兴国际机场区域短时强降水特征及预报因子研究
李京南
山东南部一次超级单体强降水的成因及雨滴谱特征分析
朱义青
西亚陆面热力异常的成因及气候效应研究进展
陈海山
冰雹预警的差分反射率特征:以山东三次降雹过程为例
王文青
强对流天气形成机制和预报研究综述
郑永光
1949—2020年黄渤海区域台风特征分析
张可
基于RF-SVR模型的夏季池塘溶氧量气象预测
汤阳
不同尺度天气系统在华北暴雨过程中相互作用的再认识
孙继松
超强台风“摩羯”强度异常变化特征及原因分析
杨国杰
京津冀持续6天的沙尘天气特征与维持机制分析
李美琪
2024年西北太平洋台风活动特征和预报难点分析
王海平
减少预报不确定性,提高预报能力 ——集合预报的发展和应用
朱跃建
基于相控阵雷达的辽宁抚顺短时暴雨过程中多涡旋观测特征研究<...
平凡
低空经济气象前沿科技问题研究进展与展望
郭建平
GEP框架下气候生态产品价值核算探索—以重庆市奉节县为例
王勇
2023年西北太平洋和南海台风预报精度评定
杨梦琪
强龙卷超级单体与非龙卷超级单体的双偏振雷达回波特征对比
费海燕
浙江夏季分钟尺度极端降水的相控阵雷达特征研究
钱卓蕾
基于长短期记忆网络的天津市高速公路路面温度预报方法研究
张希帆
极端天气事件和天气气候一体化预报技术的现状及展望
肖子牛
雷达多观测模式在不同类型天气过程中的适用性评估
王鹏飞
大巴山南麓平行岭谷对中尺度对流系统及暴雨的作用
罗娟
中国防台减灾国际合作成效及挑战概述
雷小途
2024年7月5日山东菏泽龙卷灾害现场调查与中尺度特征
曹艳察
华南外场观测试验中北斗探空对台风“苏拉”(2309)的同化...
罗嘉美
中国春节假期旅游气候空间格局及变化特征
赵珊珊
多源高频次探测资料在北京强对流个例临近预报中的应用
何 娜
X波段双偏振相控阵天气雷达与S波段天气雷达组网拼图方法研究
耿飞
我国天气雷达网和风云三号降水卫星的基础数据融合应用初探
张鹏
国家级智能数字天气预报业务的技术进展
金荣花
OpenMP在天气雷达基数据压缩/解压和解码中的应用
沃伟峰
重大活动气象保障中的预报难点回顾及展望
漆梁波
基于动态近似垂直变率的ECMWF模式 2 m气温订正方法研究
吴胜刚
沈阳地区大气CO2浓度的区域输送影响与排放源解析
战莘晔
京津冀地区风廓线雷达组网的强对流触发前信号判别
杨荣芳
不同核化过程对雷暴云放电过程影响的数值模拟研究
师正
基于序列融合编码器的冬季降水相态深度学习预测模型研究
李明
毫米波测云仪反射率因子资料质量控制及评估[*]
王蕙莹
“海葵”残涡的雨滴谱特征及其对S/X波段QPE算法的影响
吴若婷
南水北调中线工程区域性干旱过程识别与评估
谢五三
厄尔尼诺开始早晚对中国夏季降水的影响
罗连升
2023年6月29日湘西特大暴雨中尺度特征与预报偏差分析
陈红专
中国过冷积状云的时空分布特征
杨涛
副高控制下的一次上海午后局地强对流成因分析与临近预报着眼点
陈诗祺
北京721特大暴雨极端性分析及思考(一)观测分析及思考
谌芸,孙军,徐珺,杨舒楠,宗志平,陈涛,方翀,盛杰
2012,38(10):1255-1266
[
摘要(
5470
)
]
[
PDF (
33009
)
8.18 M
]
中国中东部强对流天气的天气形势分类和基本要素配置特征
许爱华,孙继松,许东蓓,万雪丽,郭艳
2014,40(4):400-411
[
摘要(
5366
)
]
[
PDF (
27641
)
4.52 M
]
雷暴潜势预报中几个基本问题的讨论
王秀明,俞小鼎,周小刚
2014,40(4):389-399
[
摘要(
5238
)
]
[
PDF (
24640
)
2.65 M
]
2012年7月21日北京特大暴雨成因分析
俞小鼎
2012,38(11):1313-1329
[
摘要(
4988
)
]
[
PDF (
22624
)
6.03 M
]
CMORPH和TRMM 3B42降水估计产品的评估检验
成璐,沈润平,师春香,白翎,杨袁慧
2014,40(11):1372-1379
[
摘要(
4936
)
]
[
PDF (
22121
)
8.29 M
]
QuikSCAT和ASCAT卫星反演风场在中国南海北部的适用性研究
高留喜,朱蓉,常蕊
2014,40(10):1240-1247
[
摘要(
4909
)
]
[
PDF (
20007
)
1.02 M
]
“16·7”华北极端强降水特征及天气学成因分析
符娇兰,马学款,陈涛,张芳,张夕迪,孙军,权婉晴,杨舒楠,沈晓琳
2017,43(5):528-539
[
摘要(
4798
)
]
[
PDF (
38511
)
93.63 M
]
舟曲“8.8”特大山洪泥石流灾害气象成因分析
曲晓波,张涛,刘鑫华,周庆亮,张小雯
2010,36(10):102-105
[
摘要(
4694
)
]
[
PDF (
19431
)
2.02 M
]
强对流天气分析与预报中的若干基本问题
孙继松,陶祖钰
2012,38(2):164-173
[
摘要(
4548
)
]
[
PDF (
27510
)
835.78 K
]
KNN数据挖掘算法在北京地区霾等级预报中的应用
熊亚军,廖晓农,李梓铭,张小玲,孙兆彬,赵秀娟,赵普生,马小会,蒲维维
2015,41(1):98-104
[
摘要(
4515
)
]
[
PDF (
21201
)
927.10 K
]
江苏一次大范围的爆发性强浓雾过程研究
严文莲,朱承瑛,朱毓颖,刘端阳,濮梅娟
2018,44(7):892-901
[
摘要(
4478
)
]
[
PDF (
17929
)
4.72 M
]
GPS-Net授时系统在气象业务中的应用
马中元,朱春巧,王华军,俞炳,潘江平,林春,肖玉玲,桂保玉
2010,36(4):132-136
[
摘要(
4468
)
]
[
PDF (
21523
)
1.06 M
]
2012年早春广西高架雷暴冰雹天气过程分析
农孟松,赖珍权,梁俊聪,董良淼,刘国忠
2013,39(7):874-882
[
摘要(
4456
)
]
[
PDF (
16270
)
2.97 M
]
华南雷暴大风天气的环境条件分布特征
杨新林,孙建华,鲁蓉,张弦
2017,43(7):769-780
[
摘要(
4397
)
]
[
PDF (
42622
)
3.95 M
]
位涡理论及其应用
寿绍文
2010,36(3):9-18
[
摘要(
4388
)
]
[
PDF (
41694
)
1.59 M
]
毫米波云雷达与激光云高仪观测数据对比分析
李思腾,马舒庆,高玉春,杨玲,蒲晓虎,陶法
2015,41(2):212-218
[
摘要(
4259
)
]
[
PDF (
26729
)
4.89 M
]
分钟降水量对能见度及PM2.5浓度影响研究
樊高峰,马浩,任律,肖晶晶
2017,43(12):1527-1533
[
摘要(
4216
)
]
[
PDF (
15423
)
652.02 K
]
基于WRF/CALMET的近地面精细化风场的动力模拟试验研究
张弛,王东海,巩远发
2015,41(1):34-44
[
摘要(
4215
)
]
[
PDF (
21201
)
3.45 M
]
2017年1月大气环流和天气分析
张楠,马学款
2017,43(4):508-512
[
摘要(
4193
)
]
[
PDF (
17647
)
7.47 M
]
中尺度天气的高空地面综合图分析
张小玲,张涛,刘鑫华,周庆亮,谌芸,周晓霞,郑永光,赵素蓉
2010,36(7):143-150
[
摘要(
4058
)
]
[
PDF (
30116
)
3.00 M
]
2011年7月四川盆地两次突发性暴雨过程的对比分析
肖递祥,杨康权,祁生秀
2012,38(12):1482-1491
[
摘要(
3447
)
]
[
PDF (
49054
)
10.45 M
]
华南雷暴大风天气的环境条件分布特征
杨新林,孙建华,鲁蓉,张弦
2017,43(7):769-780
[
摘要(
4397
)
]
[
PDF (
42622
)
3.95 M
]
位涡理论及其应用
寿绍文
2010,36(3):9-18
[
摘要(
4388
)
]
[
PDF (
41694
)
1.59 M
]
“16·7”华北极端强降水特征及天气学成因分析
符娇兰,马学款,陈涛,张芳,张夕迪,孙军,权婉晴,杨舒楠,沈晓琳
2017,43(5):528-539
[
摘要(
4798
)
]
[
PDF (
38511
)
93.63 M
]
第七讲 大气中的波动
黄荣辉
1983,9(8):35-39
[
摘要(
2093
)
]
[
PDF (
36087
)
482.29 K
]
用CINRAD-SA雷达产品识别冰雹、大风和强降水
李云川,王福侠,裴宇杰,刘晓霞
2006,32(10):64-69
[
摘要(
3753
)
]
[
PDF (
34518
)
14.01 M
]
用FY-2C/D卫星等综合观测资料反演云物理特性产品及检验
周毓荃,陈英英,李娟,黄毅梅,何小东,周非非,吴门新,胡波,毛节泰
2008,34(12):27-35
[
摘要(
2825
)
]
[
PDF (
33622
)
13.61 M
]
北京721特大暴雨极端性分析及思考(一)观测分析及思考
谌芸,孙军,徐珺,杨舒楠,宗志平,陈涛,方翀,盛杰
2012,38(10):1255-1266
[
摘要(
5470
)
]
[
PDF (
33009
)
8.18 M
]
南京一次持续性浓雾天气过程的边界层特征及水汽来源分析
张礼春,朱彬,耿慧,马国忠
2013,39(10):1284-1292
[
摘要(
3013
)
]
[
PDF (
30838
)
12.25 M
]
中尺度天气的高空地面综合图分析
张小玲,张涛,刘鑫华,周庆亮,谌芸,周晓霞,郑永光,赵素蓉
2010,36(7):143-150
[
摘要(
4058
)
]
[
PDF (
30116
)
3.00 M
]
一次强雷暴阵风锋和下击暴流的多普勒雷达特征
吴芳芳,王慧,韦莹莹,王群
2009,35(1):55-64
[
摘要(
3628
)
]
[
PDF (
28523
)
21.10 M
]
中国中东部强对流天气的天气形势分类和基本要素配置特征
许爱华,孙继松,许东蓓,万雪丽,郭艳
2014,40(4):400-411
[
摘要(
5366
)
]
[
PDF (
27641
)
4.52 M
]
强对流天气分析与预报中的若干基本问题
孙继松,陶祖钰
2012,38(2):164-173
[
摘要(
4548
)
]
[
PDF (
27510
)
835.78 K
]
2012年7月21日北京特大暴雨过程的水汽输送特征
王婧羽,崔春光,王晓芳,崔文君
2014,40(2):133-145
[
摘要(
3976
)
]
[
PDF (
27367
)
13.95 M
]
毫米波云雷达与激光云高仪观测数据对比分析
李思腾,马舒庆,高玉春,杨玲,蒲晓虎,陶法
2015,41(2):212-218
[
摘要(
4259
)
]
[
PDF (
26729
)
4.89 M
]
西北太平洋台风活动与大气季节内振荡
李崇银,潘静,田华,杨辉
2012,38(1):1-16
[
摘要(
3339
)
]
[
PDF (
25866
)
18.62 M
]
华南暴雨的气候特征及变化
伍红雨,杜尧东,秦鹏
2011,37(10):1262-1269
[
摘要(
3189
)
]
[
PDF (
25118
)
5.53 M
]
近30年中国暴雨时空特征分析
林建,杨贵名
2014,40(7):816-826
[
摘要(
3738
)
]
[
PDF (
24645
)
13.74 M
]
雷暴潜势预报中几个基本问题的讨论
王秀明,俞小鼎,周小刚
2014,40(4):389-399
[
摘要(
5238
)
]
[
PDF (
24640
)
2.65 M
]
近50年云南省降雪的气候变化特征
段长春,段旭,段苏芩,陶云,任菊章
2011,37(5):599-606
[
摘要(
3125
)
]
[
PDF (
23952
)
1.03 M
]
信息公告
更多>>
《气象》30篇论文入选年度中国科协科技期刊双语传播工程
栏目征稿:AI气象应用
年度优秀审稿专家
《气象》入选“庆祝中华人民共和国成立70周年精品期刊展”
《气象》入选“第4届中国精品科技期刊”
《气象》逾百论文入选中国知网高影响力论文
《气象》入选2018期刊数字影响力100强(学术类)
最新版标准地图及使用注意事项
国家出台标准界定学术不端行为
投稿时请认准官方网站
微信公众号
下载中心
更多>>
下载区域
友情链接
更多>>
中国气象局
中央气象台
中国气象局图书馆